留言板

尊敬的读者、作者、审稿人, 关于本刊的投稿、审稿、编辑和出版的任何问题, 您可以本页添加留言。我们将尽快给您答复。谢谢您的支持!

姓名
邮箱
手机号码
标题
留言内容
验证码

Bi2O3/Bi2S3异质结材料的制备及其光电探测性能研究

方向明 张荣科 孙宇 武韦羽 朱建华 游秀芬 高世勇

方向明, 张荣科, 孙宇, 武韦羽, 朱建华, 游秀芬, 高世勇. Bi2O3/Bi2S3异质结材料的制备及其光电探测性能研究[J]. 中国光学(中英文), 2025, 18(5): 1036-1043. doi: 10.37188/CO.2024-0218
引用本文: 方向明, 张荣科, 孙宇, 武韦羽, 朱建华, 游秀芬, 高世勇. Bi2O3/Bi2S3异质结材料的制备及其光电探测性能研究[J]. 中国光学(中英文), 2025, 18(5): 1036-1043. doi: 10.37188/CO.2024-0218
FANG Xiang-ming, ZHANG Rong-ke, SUN Yu, WU Wei-yu, ZHU Jian-hua, YOU Xiu-fen, GAO Shi-yong. Bi2O3/Bi2S3 heterojunction composite preparation and photodetection performance[J]. Chinese Optics, 2025, 18(5): 1036-1043. doi: 10.37188/CO.2024-0218
Citation: FANG Xiang-ming, ZHANG Rong-ke, SUN Yu, WU Wei-yu, ZHU Jian-hua, YOU Xiu-fen, GAO Shi-yong. Bi2O3/Bi2S3 heterojunction composite preparation and photodetection performance[J]. Chinese Optics, 2025, 18(5): 1036-1043. doi: 10.37188/CO.2024-0218

Bi2O3/Bi2S3异质结材料的制备及其光电探测性能研究

cstr: 32171.14.CO.2024-0218
基金项目: 中央高校基本科研业务费专项资金资助项目(No. HIT. DZJJ. 2023002);太原学院校级一般科研项目(No. 23TYYB09);山西省高等学校科技创新项目(No. 2022L590)
详细信息
    作者简介:

    方向明(1982—),男,山西太原人,硕士,副教授, 2008年于吉林大学获得硕士学位,主要从事光电材料制备与性能方面的研究。E-mail:fangxiangm@126.com

    高世勇(1980—),男,山西大同人,博士,副教授,博士生导师,2010年于吉林大学获得博士学位,主要从事半导体材料与器件方面的研究。E-mail:gaoshiyong@hit.edu.cn

  • 中图分类号: TN36

Bi2O3/Bi2S3 heterojunction composite preparation and photodetection performance

Funds: Supported by Fundamental Research Funds for the Central Universities (No. HIT. DZJJ. 2023002), Research Program of Taiyuan University (No. 23TYYB09), Science and Technology Innovation Project of Shanxi Province Colleges and Universities (No. 2022L590)
More Information
  • 摘要:

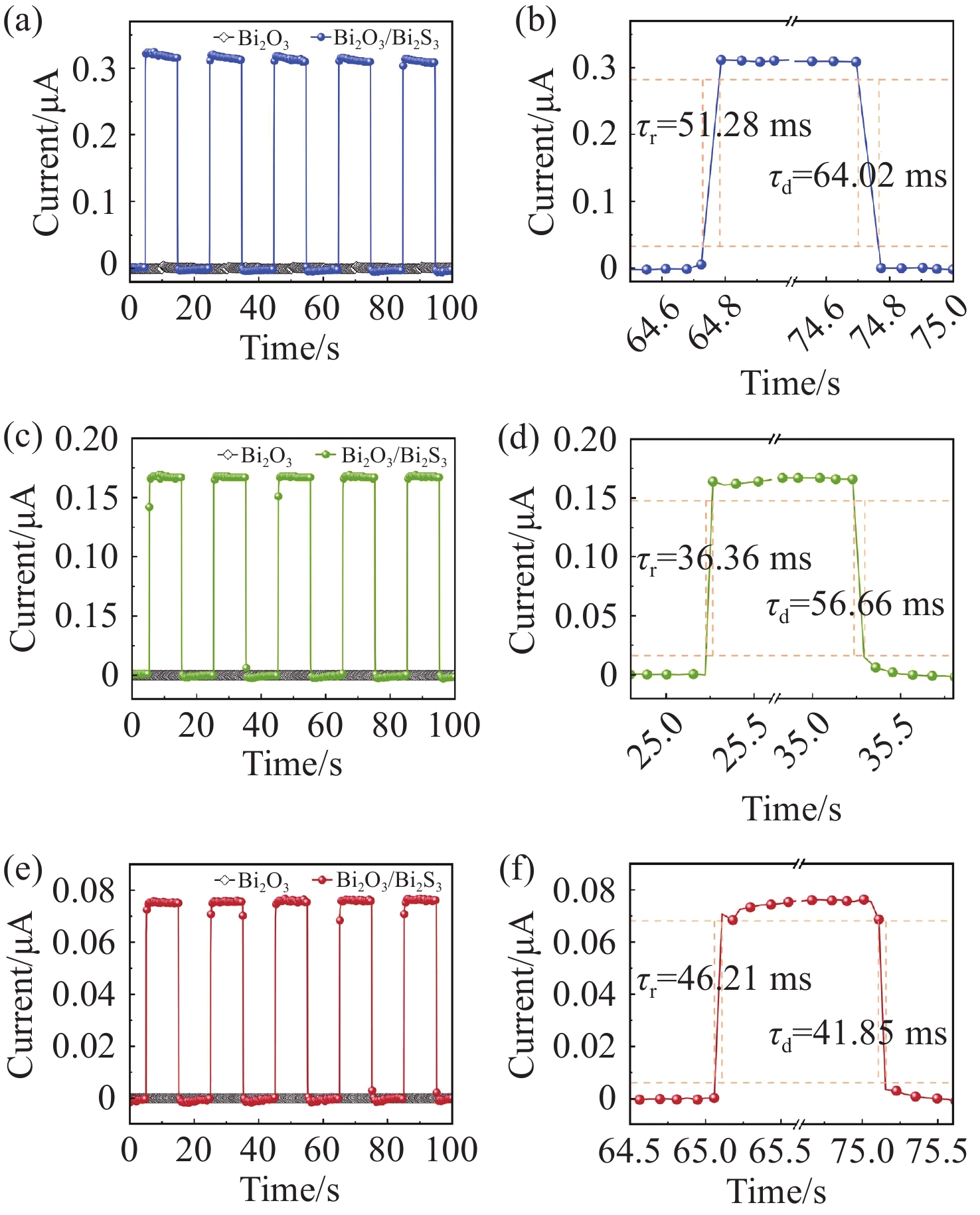
    采用热聚法结合室温溶液法制备了Bi2O3/Bi2S3异质结复合材料,并对其微观形貌、晶体结构和元素组成等进行了表征。结果表明Bi2O3/Bi2S3异质结复合材料整体呈现为块状形貌且有孔洞存在,表面相对粗糙。基于所制备的Bi2O3/Bi2S3异质结复合材料,构筑了光电探测器。在无外加偏压条件下,Bi2O3/Bi2S3探测器暴露在紫外光下的最大光电流(0.32 μA)和响应速度(65.65/80.56 ms)相比Bi2O3探测器均得到了明显增强。此外,该器件可将Bi2O3的探测波段从紫外拓宽至可见光,并且在可见光波段也具有快速稳定的自驱动探测能力。这主要是由于Bi2O3和窄带隙Bi2S3半导体成功耦合,形成了II型能带结构的异质结复合材料。值得注意的是,连续开/关蓝光100次的光电探测性能测试结果表明,Bi2O3/Bi2S3探测器具有良好的循环稳定性。

     

  • 图 1  Bi2O3纳米块(a, b)和Bi2O3/Bi2S3异质结材料(c, d)的FESEM图

    Figure 1.  FESEM images of Bi2O3 nanoblocks (a, b) and Bi2O3/Bi2S3 composite (c, d)

    图 2  Bi2O3纳米块(a)和Bi2O3/Bi2S3复合材料(b)的EDS能谱图

    Figure 2.  EDS spectra of Bi2O3 nanoblocks (a) and Bi2O3/Bi2S3 composite (b)

    图 3  Bi2O3纳米块和Bi2O3/Bi2S3复合材料的XRD图谱

    Figure 3.  XRD patterns of Bi2O3 nanoblocks and Bi2O3/Bi2S3 composite

    图 4  (a)Bi2O3/Bi2S3复合材料的XPS全谱;(b)Bi 4f;(c)O 1s和(d)S 2s的XPS精细谱

    Figure 4.  (a) XPS full spectrum of Bi2O3/Bi2S3 composite. High-resolution XPS spectra of (b) Bi 4f, (c) O 1s and (d) S 2s

    图 5  在紫外光照射下,(a)Bi2O3纳米块和Bi2O3/Bi2S3复合材料光电探测器的光电流响应特性。(b)Bi2O3/Bi2S3复合材料和(c)Bi2O3纳米块光电探测器的光电流单周期放大图

    Figure 5.  (a) Photoresponse characteristics of Bi2O3 nanoblocks and Bi2O3/Bi2S3 composite photodetectors under UV light illumination. Enlarged view of single cycle of the photocurrent curves for (b) Bi2O3/Bi2S3 composite and (c) Bi2O3 nanoblocks

    图 6  在蓝光(a)、绿光(c)和红光(e)照射下, Bi2O3 纳米块和 Bi2O3/Bi2S3复合材料光电探测器的光电流响应特性。Bi2O3/Bi2S3复合材料光电探测器在蓝光(b)、绿光(d)和红光(f)照射下的光电流单周期放大图。

    Figure 6.  (a) Photoresponse characteristics of Bi2O3 nanoblocks and Bi2O3/Bi2S3 composite photodetectors under blue (a), green (c) and red (e) light illumination. Enlarged view of single cycle of the photocurrent curves for Bi2O3/Bi2S3 composite under blue (b), green (d) and red (f) light illumination.

    图 7  (a)Bi2O3/Bi2S3复合材料光电探测器的长循环稳定性测试结果。(b)1-5周期和(c)96-100周期的光响应特性

    Figure 7.  (a) Long-term cycling stability measurement results of Bi2O3/Bi2S3 composite photodetector. Photoresponse characteristics of (b) 1-5 cycles and (c) 96-100 cycles

    图 8  Bi2O3/Bi2S3复合材料光电探测器的探测机理

    Figure 8.  Detection mechanism diagram of Bi2O3/Bi2S3 composite photodetector

  • [1] 裴梓伊, 胡朋兵, 潘孙强, 等. TDLAS气体激光遥测高灵敏光电探测电路设计[J]. 中国光学(中英文), 2024, 17(1): 198-208. doi: 10.37188/CO.2023-0107

    PEI Z Y, HU P B, PAN S Q, et al. Design of a highly sensitive photoelectric detection circuit for TDLAS gas laser telemetry[J]. Chinese Optics, 2024, 17(1): 198-208. (in Chinese). doi: 10.37188/CO.2023-0107
    [2] 李力, 耿会娟, 张天昊, 等. 基于PbS量子点光电探测器的脉搏检测系统研究[J]. 中国光学(中英文), 2024, 17(5): 1236-1243. doi: 10.37188/CO.2024-0018

    LI L, GENG H J, ZHANG T H, et al. Research on pulse detection system based on PbS quantum dot photodetector[J]. Chinese Optics, 2024, 17(5): 1236-1243. (in Chinese). doi: 10.37188/CO.2024-0018
    [3] ZHENG Q, XU J P, LI J, et al. Regulation of Bi2O3 phase structure improves the self-powered UV-blue dual-band photoresponse of Bi2O3/TiO2 photodetectors and the imaging application[J]. Surfaces and Interfaces, 2024, 44: 103758. doi: 10.1016/j.surfin.2023.103758
    [4] 党新明, 焦腾, 陈沛然, 等. n-Ga2O3/p-GaAs异质结日盲紫外探测器制备[J]. 发光学报, 2024, 45(3): 476-483.

    DANG X M, JIAO T, CHEN P R, et al. Preparation of n-Ga2O3/p-GaAs Heterojunction Solar-blind UV Photodetectors[J]. Chinese Journal of Luminescence, 2024, 45(3): 476-483. (in Chinese).
    [5] 田慧军, 刘巧莉, 岳恒, 等. 高比探测率和高速石墨烯/n-GaAs复合结构的光电探测器[J]. 中国光学, 2021, 14(1): 206-212. doi: 10.37188/CO.2020-0153

    TIAN H J, LIU Q L, YUE H, et al. Hybrid graphene/n-GaAs photodiodes with high specific detectivity and high speed[J]. Chinese Optics, 2021, 14(1): 206-212. (in Chinese). doi: 10.37188/CO.2020-0153
    [6] 段雨晗, 蒋大勇, 赵曼. 高增益ZnO肖特基紫外光电探测器光响应特性[J]. 发光学报, 2023, 44(10): 1816-1823. doi: 10.37188/CJL.20230169

    DUAN Y H, JIANG D Y, ZHAO M. Responsivity characteristics of ZnO schottky ultraviolet photodetectors with high gain[J]. Chinese Journal of Luminescence, 2023, 44(10): 1816-1823. (in Chinese). doi: 10.37188/CJL.20230169
    [7] LI R J, TANG L B, ZHAO Q, et al. Facile synthesis of ZnS quantum dots at room temperature for ultra-violet photodetector applications[J]. Chemical Physics Letters, 2020, 742: 137127. doi: 10.1016/j.cplett.2020.137127
    [8] VILA M, DÍAZ-GUERRA C, PIQUERAS J. α-Bi2O3 microcrystals and microrods: thermal synthesis, structural and luminescence properties[J]. Journal of Alloys and Compounds, 2013, 548: 188-193. doi: 10.1016/j.jallcom.2012.08.133
    [9] PARK Y W, JUNG H J, YOON S G. Bi2O3 nanowire growth from high-density Bi nanowires grown at a low temperature using aluminum-bismuth co-deposited films[J]. Sensors and Actuators B: Chemical, 2011, 156(2): 709-714. doi: 10.1016/j.snb.2011.02.023
    [10] WU J, WANG F K, LI H B, et al. Epitaxial growth of 2D ultrathin metastable γ-Bi2O3 flakes for high performance ultraviolet photodetection[J]. Small, 2022, 18(3): 2104244. doi: 10.1002/smll.202104244
    [11] ZHANG W W, GAO SH M, CHEN D H. Preparation of Ce3+ doped Bi2O3 hollow needle-shape with enhanced visible-light photocatalytic activity[J]. Journal of Rare Earths, 2019, 37(7): 726-731. doi: 10.1016/j.jre.2018.12.007
    [12] PRAKASH M, KAVITHA H P, ARULMURUGAN S, et al. Ag-doped Bi2O3 nanoparticles: synthesis, characterization, antibacterial, larvicidal, and photocatalytic properties[J]. Journal of Sol-Gel Science and Technology, 2024, 110(3): 807-818. doi: 10.1007/s10971-024-06400-1
    [13] REDDY N L, EMIN S, VALANT M, et al. Nanostructured Bi2O3@TiO2 photocatalyst for enhanced hydrogen production[J]. International Journal of Hydrogen Energy, 2017, 42(10): 6627-6636. doi: 10.1016/j.ijhydene.2016.12.154
    [14] YI H X, MA CH R, WANG W, et al. Quantum tailoring for polarization-discriminating Bi2S3 nanowire photodetectors and their multiplexing optical communication and imaging applications[J]. Materials Horizons, 2023, 10(9): 3369-3381. doi: 10.1039/D3MH00733B
    [15] CHEN G H, YU Y Q, ZHENG K, et al. Fabrication of ultrathin Bi2S3 nanosheets for high-performance, flexible, visible-NIR photodetectors[J]. Small, 2015, 11(24): 2848-2855. doi: 10.1002/smll.201403508
    [16] WANG F X, YE C, MO S, et al. Enhanced photoelectrochemical sensing based on novel synthesized Bi2S3@Bi2O3 nanosheet heterostructure for ultrasensitive determination of L-cysteine[J]. Analytical and Bioanalytical Chemistry, 2019, 411(14): 3059-3068. doi: 10.1007/s00216-019-01765-7
    [17] CHANG F, PENG SH J, YAN W J, et al. A novel and facile procedure to decorate Bi2O3 with Bi2S3 nanocrystals: composites synthesis, analyses, and photocatalytic performance assessment[J]. Colloids and Surfaces A: Physicochemical and Engineering Aspects, 2021, 610: 125640. doi: 10.1016/j.colsurfa.2020.125640
    [18] KIM J H, LIM T, PARK J Y, et al. Understanding and improving photoelectrochemical performance of Bi2O3/Bi2S3 composite[J]. New Journal of Chemistry, 2019, 43(30): 11893-11902. doi: 10.1039/C9NJ02913C
    [19] SONG J J, ZHU G SH, XU H R, et al. Preparation and properties of high-density Bi2O3 ceramics by cold sintering[J]. Ceramics International, 2020, 46(9): 13848-13853. doi: 10.1016/j.ceramint.2020.02.177
    [20] WANG J L, LI L J, YU H S, et al. Binary-ternary Bi2S3-AgBiS2 rod-to-rod transformation via anisotropic partial cation exchange reaction[J]. Inorganic Chemistry, 2019, 58(19): 12998-13006. doi: 10.1021/acs.inorgchem.9b01917
    [21] GUAN ZH P, LI Q Y, SHEN B, et al. Fabrication of Co3O4 and Au co-modified BiOBr flower-like microspheres with high photocatalytic efficiency for sulfadiazine degradation[J]. Separation and Purification Technology, 2020, 234: 116100. doi: 10.1016/j.seppur.2019.116100
    [22] FAROOQ S, FEENEY T, MENDES J O, et al. High gain solution-processed carbon-free BiSI chalcohalide thin film photodetectors[J]. Advanced Functional Materials, 2021, 31(52): 2104788. doi: 10.1002/adfm.202104788
  • 加载中
图(8)
计量
  • 文章访问数:  690
  • HTML全文浏览量:  389
  • PDF下载量:  90
  • 被引次数: 0
出版历程
  • 收稿日期:  2024-11-27
  • 修回日期:  2024-12-17
  • 网络出版日期:  2025-04-22

目录

    /

    返回文章
    返回