The morphological description of wear particles in lubricating oil is crucial for wear state monitoring and fault diagnosis in aero-engines. Accurately and comprehensively acquiring three-dimensional (3D) morphological data of these particles has become a key focus in wear debris analysis. Herein, we develop a novel multi-view polarization-sensitive optical coherence tomography (PS-OCT) method to achieve accurate 3D morphology detection and reconstruction of aero-engine lubricant wear particles, effectively resolving occlusion-induced information loss while enabling material-specific characterization. The particle morphology is captured by multi-view imaging, followed by filtering, sharpening, and contour recognition. The method integrates advanced registration algorithms with Poisson reconstruction to generate high-precision 3D models. This approach not only provides accurate 3D morphological reconstruction but also mitigates information loss caused by particle occlusion, ensuring model completeness. Furthermore, by collecting polarization characteristics of typical metals and their oxides in aero-engine lubricants, this work comprehensively characterizes and comparatively analyzes particle polarization properties using Stokes vectors, polarization uniformity, and cumulative phase retardation, and obtains a three-dimensional model containing polarization information. Ultimately, the proposed method enables multidimensional information acquisition for the reliable identification of abrasive particle types.
A plasmonics waveguide structure that consist of a non-through metal–insulator–metal (MIM) waveguide coupled with a D-shaped cavity was designed. And the transmission properties, magnetic field distribution, and refractive index sensing functionality were simulated using the finite element method (FEM). A multi-Fano resonance phenomenon was clearly observable in the transmission spectra. The Fano resonances observed in the proposed structure arise from the interaction between the discrete states of the D-shaped resonant cavity and the continuum state of the non-through MIM waveguide. The influence of structural parameters on Fano resonance modulation was investigated through systematic parameter adjustments. Additionally, the refractive index sensing properties, based on the Fano resonance, were investigated by varying the refractive index of the MIM waveguide's insulator layer. A maximum sensitivity and FOM of
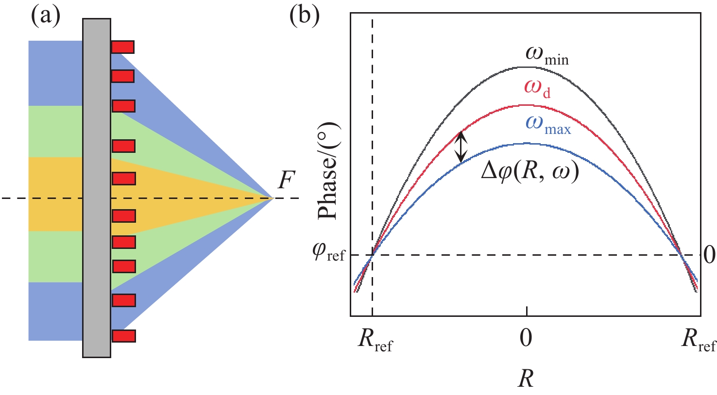
Metalens technology has been applied extensively in miniaturized and integrated infrared imaging systems. However, due to the high phase dispersion of unit structures, metalens often exhibits chromatic aberration, making broadband achromatic infrared imaging challenging to achieve. In this paper, six different unit structures based on chalcogenide glass are constructed, and their phase-dispersion parameters are analyzed to establish a database. On this basis, using chromatic aberration compensation and parameterized adjoint topology optimization, a broadband achromatic metalens with a numerical aperture of 0.5 is designed by arranging these six unit structures in the far-infrared band. Simulation results show that the metalens achieves near diffraction-limited focusing within the operating wavelength range of 9−11 µm, demonstrating the good performance of achromatic aberration with flat focusing efficiency of 54%−58% across all wavelengths.
Stripe projection technology is widely used in 3D measurement and surface morphology reconstruction, where phase quality is a critical determinant of measurement accuracy. However, the nonlinear relationship between input and output light intensity is a major source of phase error. To address this issue, this paper introduces a novel system nonlinear active correction method. This method captures the variation pattern between input and output light intensity by projecting a small number of uniform gray-scale images onto a standard plane. This pattern is then integrated with active system nonlinear correction to construct a system nonlinear model based on the input-output light intensity variation. Genetic algorithms are used to optimize the coding values, which are then used to actively correct the projected fringes via fringe coding. The corrected fringes effectively reduce the influence of nonlinear effects, thereby significantly improving the quality of phase acquisition. To validate the proposed method, computer simulations were performed using three-step phase shifting. The results showed an 88% reduction in the standard error and an 85.5% reduction in the maximum error. In actual standard plane experiments, the corrected standard phase error decreased from
In wide-temperature-range applications, traditional optical systems often struggle to maintain stable imaging quality, primarily because conventional athermal design methods fail to fully account for the differences in the linear expansion coefficients and refractive index temperature coefficient of glass materials at high and low temperatures. To address this issue, this paper proposes an athermal design method for wide temperature ranges. By reconstructing the thermal aberration modeling process, the method accurately characterizes the nonlinear response of thermal aberrations to temperature variation, thereby selecting glass material combinations that minimize the overall thermal optical power within the wide temperature range. In combination with the thermal expansion properties of the housing material, it effectively suppresses system focal shift. To validate the effectiveness of the proposed method, an optical system with a focal length of 100 mm, an F-number of 2.2, and a field of view of 7° was designed. Simulation results show that within the temperature range of −30°C to 270°C, the system consistently maintains high imaging performance. The modulation transfer function (MTF) remains above 0.5 at 56 lp/mm across all fields and temperatures, the spot diameter is less than 9 μm, and more than 90% of the energy is enclosed within an 18 μm circle. The above results fully verify the effectiveness of the proposed method and provide strong support for athermal design of optical systems under wide temperature ranges. Meanwhile, the method demonstrates good engineering adaptability and shows broad application prospects in the design of imaging systems for complex environments.
Terahertz (THz) spectroscopy technology has demonstrated great application value in the field of organic and biological macromolecule detection. However, the traditional sample pressing method cannot be applied in the actual detection of trace analytes, and additional structures are required to enhance the interaction between the analytes and THz waves. To solve this problem, this paper proposes a terahertz absorption spectrum enhancement structure based on stacked one-dimensional photonic crystal (One-dimensional photonic crystals, 1D-PCs) defect cavities. The structure employs metal parallel-plate waveguides to separate a series of one-dimensional photonic crystals (1D-PCs) with defect cavities of varying widths, and coats the sample film on a substrate that penetrates all defect cavities. The incident broadband terahertz wave can simultaneously excite multiple resonant peaks at different frequencies corresponding to the photonic crystal defect modes in different layers. The enhanced terahertz absorption spectrum of the analyte can be obtained by linking the envelope formed by these resonant absorption peaks. The simulation results show that a 0.1 μm α-lactose sample can accomplish an absorption enhancement factor of approximately 303 times in the frequency range of 0.49 to 0.57 THz. This method offers fast measurement speed and maintains a relatively low sample amount, providing an effective strategy for the enhancement detection of trace analytes by terahertz absorption spectrum.
Image Photoplethysmography (IPPG) signals are easily disturbed by noise during acquisition. To address the issue, this study proposes a denoising diffusion probability model for IPPG (DDPM-IPPG). This model eliminates baseline drift and noise through diffusion and reverse diffusion stages. This improves the signal-to-noise ratio and heart rate accuracy. First, Gaussian noise is gradually added to the photoplethysmography (PPG) signal during the diffusion phase to create a noise sequence. A noise predictor based on a nonlinear fusion module and a bridging module is trained. Subsequently, in the reverse diffusion phase, the well-trained noise predictor is employed. It performs step-by-step denoising on the initially extracted IPPG signal. Through this denoising, a signal with high signal-to-noise ratio is recovered. The model proposed in this paper is validated and compared on the PURE, UBFC-IPPG, UBFC-Phys, and MMPD datasets. The experimental results show the following. Compared with the existing highest-precision extraction method, DDPM-IPPG improves the signal-to-noise ratio by 1.06 dB on the PURE dataset. The mean absolute error of heart rate decreases by 0.24 bpm. The root mean square error of heart rate decreases by 0.41 bpm. On the UBFC-IPPG dataset, the signal-to-noise ratio improved by 1.50 dB. The proposed DDPM-IPPG model reaches the current advanced level. It excels in eliminating baseline drift and noise of IPPG signals. It can approximate real signals more accurately. In turn, it provides a more reliable data foundation. This foundation supports physiological health assessment and telemedicine monitoring.
Multi-band infrared detectors can simultaneously capture radiation information across multiple wavelengths, offering significant advantages over single-band infrared detectors in target recognition, classification, temperature measurement, and information extraction. Consequently, they have become a central focus of infrared detector technology research. As a key optical component of multi-band infrared detectors, the performance of the three-band large-aperture wide-angle infrared mirror directly determines detection accuracy. In the design phase, this study selected three materials: Ge, ZnS, and YbF3, based on high-reflectivity coating design principles, and optimized a structurally robust infrared reflector coating system through spectral superposition combined with TFCalc software. During the preparation stage, ion-source-assisted deposition was employed, and the issue of film delamination was resolved by optimizing the deposition process. During spectral testing, problems related to spectral drift in the samples were addressed through film thickness error experiments and optimization of the YbF3 process. Test results indicate that, at an incident angle of 45°, the infrared mirror achieves an average reflectance of 96.93% in the 3−5 µm spectral band, 96.54% in the 8−12 µm spectral band, and 94.64% in the 1.064 µm spectral band, the spectral non-uniformity within the 270 mm×270 mm aperture for the 3−5 µm and 8−12 µm spectral bands is 4.83%. In accordance with the national standard GJB 2485A-2019 (Environmental Test Standard), the prepared samples successfully passed adhesion and high and low temperature tests, meeting the application requirements for multi-band infrared detectors.
Off-axis reflective optical systems are widely employed in Earth observation and mapping owing to their advantages of wide field of view (FOV), high image quality, and stable interior orientation elements. However, conventional designs based on the point-by-point (PW) method often suffer from degraded off-axis imaging performance and thermally induced pointing drift. In this study, the third-order aberration coefficients of a three-mirror optical system are analytically derived under the condition that the aperture stop is located at the secondary mirror and that the primary and tertiary mirrors are equally spaced along the optical axis. To further enhance imaging performance, fourth-order aspheric terms are introduced on both the primary and tertiary mirrors, thereby increasing the degrees of freedom for optimization. A comprehensive image-quality evaluation function incorporating quasi-telecentric constraints is constructed, and a hybrid genetic algorithm-sequential quadratic programming (GA-SQP) approach is employed to obtain an optimized initial configuration. The resulting system achieves a focal length of 260 mm, an F-number of 10, and a 7° × 30° FOV, with a modulation transfer function (MTF) above 0.25 at 77 lp/mm, a maximum distortion of 2%, and a maximum chief-ray angle of 2.3°. Microcrystalline glass and titanium alloy are adopted as the mirror substrate and structural materials, respectively. Finite-element thermal analysis is performed under a 6.8 °C temperature gradient, and the optical axis rotation, evaluated using the TRIAD algorithm, is −0.728″ about the X-axis,
Conventional microwave antennas are constrained by the diffraction limit, making it challenging to breakthrough the constraint of wavelength-scale, which hinders their application in high-resolution microwave sensing and detection. To overcome this limitation, this study designs an all-dielectric integrated meta-antenna with super diffraction-limited performance. First, the antenna surface is functionalized using an asymmetric scattering meta-grating array based on the generalized Snell's law, enabling efficient subwavelength beam focusing through precise electromagnetic wavefront manipulation. Then, the geometrical structural of the metagrating is optimized to achieve high-efficiency wavefront control. Finally, the electric field intensity distribution and size of the generated focal spot are analyzed. The simulation results demonstrate that the highest manipulation and diffraction efficiencies reach 98.50% and 72.56%. The achieved focal spot exhibits a subwavelength dimension below 0.73
With the rapid development of space laser communication technology, the demand for high-speed inter-satellite networking has been growing significantly. However, existing research on inter-satellite laser communication payload is still primarily experimental, featuring complex optical system designs that require lengthy and costly processes for manufacturing, alignment, and testing—posing challenges for low-cost and rapid mass production. To address this issue, a transmissive optical antenna with single-band achromatic design is proposed in this paper, along with a rapid alignment method for measuring the magnification of the optical antenna based on a collimator. By narrowing the chromatic aberration correction range, the length of the optical antenna was reduced by 15.83%, the number of lenses was decreased from six to four, and the manufacturing cost of a single optical antenna was reduced by 33.33%. Simulation results indicate that the alignment tolerance range for magnification is 4.37 to 5.08. After actual alignment, the measured magnification is 4.82, with a beam divergence of 67.53 μrad on the transmission path and a coupling efficiency of 51.42% on the receiving path. The self-calibration spot size is within 12×12 pixels. A comparative experiment is also conducted, and the alignment time of the proposed method is within 10% of that required by the interferometer method. The alignment and test results demonstrate that the proposed method not only enables a lightweight and compact design of the optical antenna, but also significantly reduces the alignment time. Simultaneous focal alignment of signal transmission, acquisition-pointing-tracking, and self-calibration optical paths is also achieved.
Addressing the critical challenge of thermal radiation noise suppression in infrared systems for long-range dim target detection, this paper presents a composite detection system with an optimized cooling-based thermal radiation suppression scheme. A common-aperture optical configuration capable of simultaneous long-wave infrared and laser dual-band detection is achieved through a Ritchey-Chrétien (R-C) optical structure and a dichroic-secondary mirror with a hollow design. To mitigate thermal radiation noise, the thermal emission characteristics within the temperature range of 230 K to 320 K were analyzed using Planck’s law and non-sequential ray tracing. An improved detection range model incorporating noise terms was developed. The cooling strategy was optimized via dynamic programming, leading to an optimal solution where the main mirror and folding mirror baffles are cooled to 220 K. Experimental results demonstrate that the detection range at 300 K ambient temperature increases from 300 km to 430 km, and remains above 400 km across the entire 230−320 K range. The proposed dual-band composite detection scheme and zoned cooling methodology provide a valuable reference for the design of cold optical systems and long-range weak target detection.
An alternative elliptical and circle air-hole-assisted Al0.24Ga0.76As photonic crystal fiber (PCF) was proposed for generating broadband high-coherence mid-infrared supercontinuum, and the dispersion, effective mode area and nonlinear coefficient were investigated by using finite element method (FEM), the evolution of optical pulses propagating along the fiber was simulated, and the supercontinuum and the coherence were analyzed and evaluated under different pumping conditions. The results show that a supercontinuum spectrum with a spectral width of 4.852 μm can be obtained in the proposed fiber with
To address the interference and dazzling threats posed by high-power lasers to the imaging of detectors, this paper proposes and validates a dynamic laser interference suppression method based on regional flipping of digital micromirror device (DMD). This method employs a secondary imaging optical path, placing the DMD at the primary image plane. Through real-time identification and flipping of micromirrors corresponding to the laser interference region, high-power interference energy is deflected out of the main optical path, thereby protecting the detector while retaining effective image information of most of the field of view. First, we verified the feasibility of this scheme through optical simulations, and subsequently built an experimental platform for systematic testing. Furthermore, this study quantifies the influence of the mask radius controlling DMD flipping on the suppression effect, verifying that the optimal suppression effect is achieved when the flipped region is larger than the interference spot. Experimental results demonstrate that DMD regional flipping nethod can effectively suppress laser interference across different laser powers and incident angles. Compared with the scenario without suppression, the interference power received by the detector is significantly reduced: when laser incidence is off-axis, the laser interference resistance threshold is increased by more than 28.5 dB; when laser interference occurs with incidence parallel to the optical axis, the laser interference resistance threshold can be enhanced by more than 30 dB. In comparison with traditional image processing methods, this method can retain the maximum amount of image information under strong light jamming scenarios. Technology provides an efficient and concise solution for photoelectric systems to maintain stable imaging in strong light interference environments.
To achieve the recognition and 3D reconstruction of space target components in complex, low-texture environments for space situational awareness tasks, this paper proposes an end-to-end intelligent perception framework for space targets based on deep learning. This framework enables intelligent recognition and high-precision 3D reconstruction of key space target components. The current space target sensing task is facing great challenges, the surface of on-orbit targets are mostly low-texture metal materials, traditional feature matching methods are ineffective, and the geometrical structure of the components is complex and there is occlusion, so it is necessary to take into account the global semantics and local accuracy. First, based on the lightweight YOLOv11s network, an attention mechanism is introduced to focus features, achieving precise localization and recognition of space targets and their key components while ensuring real-time performance. This facilitates the extraction of target regions for accurate 3D reconstruction. Subsequently, a novel 3D reconstruction algorithm named Sat-TransMVSNet, specifically designed for low-texture space targets, is proposed. This algorithm employs a multi-scale feature enhancement network for feature extraction and utilizes a novel cost volume regularization method to strengthen geometric constraints at space target edges. It incorporates a background-suppression and foreground-enhancement module, combined with a dynamic depth sampling strategy, to accurately reconstruct space targets. Finally, the overall framework is tested using a self-built multi-angle space target dataset comprising various types. Experimental results indicate that the component recognition algorithm achieves an mAP50 of 0.95, and the comprehensive 3D reconstruction error is
In order to investigate the imaging function of metasurface based on geometric phase theory, this article deduces the imaging formulation of arbitrary curve with the theory of geometric phase imaging on metalens, and its feasibility and correctness is verified by scalar diffraction theory. The imaging formulation is further applied in polarization detection of the incident beam. The results show that phase manipulation of metasurface based on geometric phase can achieve the functions of arbitrary curve imaging and polarization detection of the incident beam, which is of great significance in the field of holographic imaging, optical communication and quantum science.
Laser absorption spectroscopy (LAS) has been widely applied in atmospheric monitoring, industrial production, medical diagnostics, and other fields due to its high sensitivity, rapid response, and real-time online detection capabilities. However, spectral overlap interference remains a major challenge in LAS. In this study, a multispectral analysis approach based on cavity ring-down spectroscopy (CRDS) is proposed. A CRDS gas detection system was developed using a custom-designed cage-type Fabry-Pérot cavity, and seven acetylene (C2H2) absorption lines in the range of
This study investigates the reduction in polarization measurement accuracy caused by varying incident angles in a liquid crystal variable retarder (LCVR). The phase delay characteristics of the LCVR were examined, with particular emphasis on the influence of different two-dimensional incident angles on phase delay behavior. Building upon the calibration of phase delay under normal incidence, a phase delay calibration model was developed to account for variations in incident angle and driving voltage. A mathematical relationship was established between phase delay and the azimuth angle (
To address the challenges of complex metallic film coating processes and low integration in single-parameter detection for existing photonic crystal fiber surface plasmon resonance (PCF-SPR) sensors, a dual-parameter sensor based on gold nanowire-integrated bias-core PCF-SPR is proposed. Unlike conventional in-hole coatings or metallic film structures, the gold nanowires are directly attached to the fiber cladding via chemical vapor deposition (CVD), eliminating uneven coating issues and significantly simplifying fabrication. By optimizing the asymmetric bias-core fiber structure and leveraging the strong localized field enhancement of gold nanowires, the sensor achieves high-sensitivity synchronous detection of temperature (25−60 °C) and refractive index (1.31−1.40) in dual-polarization modes. The simulation results demonstrate that the x-polarization mode can achieve 1.31−1.40 refractive index detection with maximum wavelength sensitivity and amplitude sensitivity of
AlGaN-based deep-ultraviolet (DUV) laser diodes (LDs) face performance challenges due to electron leakage and poor hole injection, often worsened by polarization effects from conventional electron blocking layers (EBLs). To overcome these limitations, we propose an EBL-free DUV LD design incorporating a 1-nm undoped Al0.8Ga0.2N thin strip layer after the last quantum barrier. Using PICS3D simulations, we evaluate the optical and electrical characteristics. Results show a significant increase in effective electron barrier height (from 158.2 meV to 420.7 meV) and a reduction in hole barrier height (from 149.2 meV to 62.8 meV), which enhance carrier injection and reduce leakage. The optimized structure (LD3) achieves a 14% increase in output power, improved slope efficiency (1.85 W/A), and lower threshold current. This design also reduces the quantum confined Stark effect and forms dual hole accumulation regions, improving recombination efficiency. Our findings present a promising approach for high-performance, EBL-free DUV LDs suitable for high-power applications.
Standard bacterial suspensions play a crucial role in microbiological diagnosis. Traditional preparation methods, which rely heavily on manual operations, face challenges such as poor reproducibility, low efficiency, and biosafety concerns. In this study, we propose a high-precision automated colony extraction and separation system that combines large-field imaging and artificial intelligence (AI) to facilitate intelligent screening and localization of colonies. Firstly, a large-field imaging system was developed to capture high-resolution images of 90 mm Petri dishes, achieving a physical resolution of 13.2 μm and an imaging speed of 13 frames per second. Subsequently, AI technology was employed for the automatic recognition and localization of colonies, enabling the selection of target colonies with diameters ranging from 1.9 to 2.3 mm. Next, a three-axis motion control platform was designed, accompanied by a path planning algorithm for the efficient extraction of colonies. An electronic pipette was employed for accurate colony collection. Additionally, a bacterial suspension concentration measurement module was developed, incorporating a 650 nm laser diode as the light source, achieving a measurement accuracy of 0.01 McFarland concentration (MCF). Finally, the system’s performance was validated through the preparation of an E. coli suspension. After 17 hours of cultivation, E. coli was extracted four times, achieving the target concentration set by the system. This work is expected to enable rapid and accurate microbial sample preparation, significantly reducing detection cycles and alleviating the workload of healthcare personnel.
Filters, as a key component in the photoelectric detection system, can simplify the optical system and improve detection efficiency. Based on the usage requirements, a visible/near-infrared filter film with up to 5 wavebands needs to be designed and prepared, while simultaneously satisfying high reflection in 2 wavebands and high transmittance in 3 wavebands. Therefore, we have conducted a systematic study on the film design, thin film preparation process, and control accuracy of film layer thickness. In this work, the short-wave pass film system is superimposed with the long-wave pass film system, and the number of cycles and matching coefficient of the film system are tuned to meet the requirements of cut-off band. Additionally, Smith method was used to match bandpass film system to optimize the transmission band and complete the visible/near infrared multiband laser filter film design. In the preparation process, combined with the sensitivity of the film layer, inverse analysis is used to invert the film layer monitored by each optical monitoring chip. The optical control scheme with weak optical signal in the monitoring process is simulated and corrected, and the monitoring wavelength with stronger optical signal is matched, resulting in an improvement of the control accuracy for the film thickness and the transmittance in the specified wavelength range. Ultimately, the actual physical thickness is 9.66 μm, and the error with the theoretical design thickness is less than 0.4%, and the transmittance of the specified 3 wavebands exceeds 99%. The average transmittance of the cut-off bands at the 455−500 nm and 910−
The dual-wavelength image plane digital holography is employed to achieve the long-distance topography measurements, which is expected for the Examination and Analysis System Technology (EAST) in divertor surface monitoring. The same-path design for the illumination and imaging beams is suitable for the upper diagnosis channel of the tokamak device. By selecting two wavelengths with a gap of 1.02 nm, the measurement range of system is extended to 276.87 µm, allowing for 138.44 µm gradient measurements. Experimental results demonstrate that the measurement error of the system for a step with a nominal high of 80 μm is 7.00%, with a minimum detectable height variation of 10 μm. Furthermore, confirm the long-distance measurement capability of the system, and off-line measurements were conducted on a dismantled divertor from a tokamak device. Which proves the system can be applied to the topography measurements of the divertor.
In order to minimize misalignment angle errors in laser-guided seekers, we have optimized the quality of energy signals through advanced optical design techniques. The initial design parameters were derived by integrating aberration theory with sophisticated optical design software. We then employed an iterative design process for the optical system, focusing on both the optimization of the optical structure and the balance of aberrations. To enhance angular measurement precision, we improved the symmetry of the light spot by carefully controlling the image-side telecentric condition. Furthermore, a comprehensive performance analysis of optical plastic materials demonstrated the viability of using these materials in the manufacture of the seeker’s optical structure. Our final optical system design boasts a focal length of 71.6mm and an F/# of 1, with the edge field chief ray telecentric maintained below 6mrad. In the operating temperature range, the stability of spot size is better than 0.4% and the maximum distortion of the full field of view is less than 0.5%. Notably, within a ±2° field of view, both the light spot linearity and energy response consistency meet the stringent requirements for precision guidance. The structural design methodology we employed, which focuses on minimizing primary aberrations, can be effectively applied to the optimization of catadioptric systems, thus serving as a valuable reference for the optical structure design of similar seekers.
As an advanced tissue optical imaging technology, time-domain diffuse optical imaging (TD-DOI) enables quantitative reconstruction of absorption and reduced scattering coefficients in biological tissues through time-correlated single photon counting (TCSPC) systems, thereby allowing precise assessment of critical physiological parameters such as tissue oxygen metabolism and blood perfusion. However, constrained by the inherent hardware complexity and high cost of TCSPC systems, current implementations face challenges in achieving scalable clinical applications requiring in-vivo multichannel dynamic monitoring. This study innovatively proposes a dual-channel differential hybrid trigger reference signal strategy. By integrating differential time-to-digital converter (TDC) devices with photon counting techniques, we have established a stable and reliable time point spread function (TPSF) measurement system that achieves sub-nanosecond precision (±50 ps) in calibrating the temporal delay between laser synchronization signals and emitted photon events. Experimental validation demonstrates that the developed system attains a temporal resolution of 55 ps. Under photon counting rates of 2.3×104 photons/s, the TPSF fluctuation coefficient remains consistently below 1.35% (1 s integration time). Optical properties inversion on tissue phantoms reveal mean reconstruction errors of 5.39% for absorption coefficient and 4.34% for reduced scattering coefficient. This technological advancement significantly enhances the feasibility of multichannel parallel detection in TD-DOI systems. Particularly suited for biomedical applications, such as dynamic monitoring of cerebral cortical oxygen saturation, it establishes a technical foundation for developing next-generation wearable optical brain function imaging devices.
With the breakthrough progress of mid-wave and long-wave infrared hyperspectral imaging technology, the military hyperspectral imaging system, with its unique feature recognition capability and covert reconnaissance advantages, has demonstrated significant strategic value in the field of modern battlefield situational awareness, e.g., real-time target identification, anti-camouflage reconnaissance, and dynamic monitoring of global military targets. In this study, a dual-band Offner-type spectral imaging system operating in the mid-wave infrared (3.7−4.8 μm) and long-wave infrared (7.7−9.5 μm) is designed for aerial detection applications based on a 320×240-pixel dual-color cooled infrared detector. The system adopts a hybrid refractive and refractive-reflective optical structure, and realizes a three-field-of-view switching zoom function of 32 mm, 200 mm and 800 mm. The optical system adopts the Offner spectroscopic structure, which effectively suppresses the primary aberration of the system; secondly, through the introduction of the secondary imaging relay system, it achieves 100% cold diaphragm matching and significantly reduces the cold reflection effect. Experimental tests show that the system exhibits excellent imaging performance in all bands and at different focal lengths: at a characteristic frequency of 17 lp/mm, the modulation transfer function approaches the diffraction limit, and temperature changes have little effect on imaging quality; optical image quality meets design specifications. The optical system is characterized by wide spectral response, large magnification ratio (25×) and fast field of view switching. The spectral resolution reaches 25 nm, and its imaging quality and spectral resolution meet the technical requirements of aviation photoelectric reconnaissance, which has important application value in military reconnaissance, security monitoring and environmental monitoring.
Stray light interference in vehicular LiDAR systems can reduce the signal-to-noise ratio and degrade detection efficiency. To mitigate this issue, this paper proposed a surface scattering modeling method based on the spectral power density function and total integrated scattering, which fits the bidirectional reflectance distribution function (BRDF) for various material surfaces. The model calculation results were highly consistent with the measured BRDF data, verifying the effectiveness of the method. Based on this model, the study systematically analyzed the sources and propagation paths of stray light in the long-focal-length receiving optics of vehicular LiDAR, with specific attention to scattering from the housing's inner walls, lens edges, and spacer ring surfaces. According to the simulation results, this paper put forward a number of stray light suppression measures, such as using structural components made of low-scattering materials, coating anti-reflection films on lens surfaces, and applying light-absorbing ink to the non-optical areas of lenses, etc. Furthermore, from optical design, signal processing and engineering optimization, the stray light suppression level of this LiDAR receiving optical system was evaluated in multiple dimensions. The results of the experiment showed that the level of stray radiation in the optimized system was significantly reduced: the point source transmittance (PST) outside the imaging field of view was reduced from 1e+0 to 1e-5, the PST in the field of view was reduced from 1e+2 to 1e-1, and the stray light contrast with the target signal was controlled below 10e-4. Additionally, the intensity of the detected echo signal is significantly improved, thereby effectively enhancing the detection performance of the LiDAR. This study provides a theoretical model and practical solutions for stray light suppression in vehicle-mounted LiDAR, offering valuable references for the design and optimization of high-sensitivity optical systems.
To address the demand for large field-of-view and high compactness in lightweight AR glasses equipped with cameras, this study proposes an optical design method incorporating a curved image plane. First, based on Gaussian optics theory, the curved image plane imaging system is theoretically analyzed. The Petzval surface curvature characteristics of various optical configurations are derived, and the performance advantages of the curved image plane are highlighted through comparative simulations of dual systems. Then, a wide-angle and compact optical system is designed using a segmented multi-objective optimization strategy. Finally, image quality evaluation and tolerance analysis are performed on the designed system. The compact optical system comprises five aspheric plastic lenses and a rear-mounted filter. It features a focal length of 3.1 mm, a field of view (FOV) up to 80°, and a total system length of only 4.07 mm. The design results show that at 223 lp/mm, the modulation transfer function (MTF) exceeds 0.32 across all fields. The maximum RMS spot radius is 2.41 μm, with a distortion of only 2.5%, and the relative illumination remains above 45% across the entire field. This work lays a foundation for the application of curved sensors and offers a technical reference for the design of wide-angle compact lenses.
To evaluate the laser-induced damage effects on visible-light imaging systems under realistic operational conditions, a detector module comprising a filter and a back-illuminated CMOS sensor was employed as the target. This study investigates the damage mechanisms induced by nanosecond pulsed lasers at wavelengths of 532 nm and
During the research and development process of the scientific research project, it was found that the beam deviation angle formula of a Rochon Prism in classical optical literature (for negative crystals) was incorrect. Therefore, an accurate expression for the beam deviation angle of a Rochon Prism was derived (distributed for negative and positive crystals), and the problem of design in the optical systems containing a Rochon Prism in the scientific research projects was solved. In response to the problem of small angles between the output two beams of light in general a Rochon Prism products, the expressions for the deviation angles of a Rochon Prism composed of negative and positive crystals were analyzed and derived. In addition, the deviation angles of a Rochon Prism composed of different crystal materials were analyzed and the expression was derived. By calculating and comparing with actual data, it is known that the beam deviation angle of a Rochon Prism made of different crystal materials is significantly higher than that of a Rochon Prism made of the same crystal material. For applications in the ultraviolet band, provide a specific design example of a large beam deviation angle for a Rochon Prism composed of heterogeneous crystal materials. This type of a Rochon Prism is composed of heterogeneous crystal materials, and according to the appropriate crystal arrangement order, a relatively large beam deviation angle can be obtained under the limitation of reasonable crystal thickness, which is obviously beneficial for the structural design of the polarization instruments and equipments.
This study addresses the urgent demand for
Catadioptric space cameras are widely used in space exploration, However, temperature variations can degrade their imaging performance. To address this issue, this paper presents an athermal design for a catadioptric space camera operating over a wide temperature range. Initially, the temperature effects on optical elements, mechanical structures, and other components were analyzed, and convenient methods for thermal aberration compensation are summarized. Subsequently, taking a camera with a spectral range of 400–
The Savitzky-Golay (SG) filter, which employs polynomial least-squares approximations to smooth data and estimate derivatives, is widely used for processing noisy data. However, noise suppression by the SG filter is recognized to be limited at data boundaries and high frequencies, which can significantly reduce the signal-to-noise ratio (SNR). To solve this problem, a novel method synergistically integrating Principal Component Analysis (PCA) with SG filtering is proposed in this paper. This approach avoids the issue of excessive smoothing associated with larger window sizes. The proposed PCA-SG filtering algorithm was applied to a CO gas sensing system based on Cavity Ring-Down Spectroscopy (CRDS). The performance of the PCA-SG filtering algorithm is demonstrated through comparison with Moving Average Filtering (MAF), Wavelet Transformation (WT), Kalman Filtering (KF), and the SG filter. The results demonstrate that the proposed algorithm exhibits superior noise reduction capabilities compared to the other algorithms evaluated. The SNR of the ring-down signal was improved from
Due to the inability of manufacturing a single monolithic mirror at the 10-meter scales, segmented mirrors have become indispensable tools in modern astronomical research. However, to match the imaging performance of the monolithic counterpart, the sub-mirrors must maintain precise co-phasing. Piston error critically degrades segmented mirror imaging quality, necessitating efficient and precise detection. To address the limitations that the conventional circular-aperture diffraction with two-wavelength algorithm is susceptible to decentration errors, and the traditional convolutional neural networks (CNNs) struggle to capture global features under large-range piston errors due to their restricted local receptive fields, this paper proposes a method that integrate enhanced Young’s interference principles with a Vision Transformer (ViT) to detect piston error. By suppressing decentration error interference through two symmetrically arranged apertures and extending the measurement range to ± 7.95 μm via a two-wavelength (589 nm/600 nm) algorithm, this approach exploits ViT’s self-attention mechanism to model global characteristics of interference fringes. Unlike CNNs constrained by local convolutional kernels, the ViT significantly improves sensitivity to interferogram periodicity. The simulation results demonstrate that the proposed method achieves a measurement accuracy of 5 nm (
In recent years, the demand for synchronous acquisition of three-dimensional (3D) shape and color texture has surged in fields such as cultural heritage preservation and healthcare. Addressing this need, this paper proposes a novel method for simultaneous 3D shape and color texture capture. First, a linear model correlating camera exposure time with grayscale values is established. Through exposure time calibration, the projected red, green and blue (RGB) light and white-light grayscale values captured by a monochrome camera are aligned. Then, three sets of color fringes are projected onto the object to identify optimal pixels for 3D reconstruction. And, three pure-color patterns are projected to synthesize the color texture. Experimental results show that this method effectively achieves synchronous 3D shape and color texture acquisition, offering high speed and precision. And using a monochrome camera avoids color crosstalk interference common in 3D reconstruction of colored objects.
A Yb:CaGd0.33Y0.625AlO4 (Yb:CGYA) laser crystal of high optical quality has been successfully synthesized via the Czochralski method. The introduction of Gd3+ ions preserves the original structure and efficiently generates inhomogeneous broadening of the Yb3+ ion emission spectra. The fluorescence emission peak wavelength of the Yb:CGYA crystal is
The improved cross-correlation algorithm for the strain demodulation of Vernier-effect-based optical fiber sensor (VE-OFS) is proposed in this article. The algorithm identifies the most similar spectrum to the measured one from the database of the collected spectra by employing the cross-correlation operation, subsequently deriving the predicted value via weighted calculation. As the algorithm uses the complete information in the measured raw spectrum, more accurate results and larger measurement range can be obtained. Additionally, the improved cross-correlation algorithm also has the potential to improve the measurement speed compared to current standards due to the possibility for the collection using low sampling rate. This work presents an important algorithm towards a simpler, faster way to improve the demodulation performance of VE-OFS.
As an efficient passive anti-icing method, the superhydrophobic surface can reduce icing process on metals in low temperatures. However, the usual organic low-surface-energy decorations are often prone to age especially in harsh environments, leading to a decrease or complete failure of the anti-icing performance. Here, we adopt a method of femtosecond laser microstructuring to achieve inorganic superhydrophobic aluminum alloys through simultaneously modifying the surface profile and compositions. The obtained bionic anthill tribe structure with the low thermal conductivity, exhibits the superior delayed freezing time (803.3 s) and the low ice adhesion (16 μN) in comparison to the fluorosilane modified and bare Al surfaces. Moreover, such an inherently superhydrophobic metal surface also shows the exceptional environmental durability in anti-icing performance, which confirms the effectiveness of our superhydrophobic surface without the need for organic coatings.
Metalenses are subject to off-axis aberrations and material dispersion, which fundamentally limit their ability to achieve both wide field-of-view (FOV) and broad operational bandwidth in imaging detection systems. In this paper, an achromatic monolayer metalens with an elongated FOV in a continuous waveband is constructed using an elaborately designed metasurface. Leveraging a quadratic phase profile for large-field-of-view (FOV) detection, the metasurface unit structure transmission phase is subsequently optimized via particle swarm optimization (PSO) to achieve continuous band dispersion tuning. This approach consequently enables expanded operational bandwidth under wide-FOV conditions. For a monolayer metalens with a numerical aperture of 0.351, an achromatic focusing field covering a ±20° FOV is obtained within the continuous waveband from 0.55 μm to 0.65 μm. The maximum focal length deviation along the optical axis is 3.2 μm (~0.08
As a potential alternative for energy in quantum regime, a quantum battery inevitably undergoes the process where the extracted work deteriorates due to the environmental decoherence. To inhibit the energy dissipation, we have put forward a scheme of a moving atom battery in a lossy cavity coupled to a structured environment. We investigate the dynamics of the maximally extracted work called the ergotropy by the open quantum system approach. It is found out that the decay of quantum work is significantly retarded in the non-Markovian environment. In contrast to the static case, the storage performance of the quantum battery is improved when the atom is in motion. The effect of energy preservation becomes more pronounced at higher velocities. Both the momery effect and motion control can play a positive role in extending the discharge lifetime. In addition, we have investigated the effects of environmental temperature, random noises, and quantum entanglement. These present results provides a feasible protocol for the open quantum battery.
Diffractive waveguides have emerged as a particularly promising solution for augmented reality (AR) near-eye display technologies. These waveguides are characterized by their light weight, wide field of view, and large eyebox. However, most commercially available AR waveguide simulation software has been developed by foreign companies, and there has been little advancement in domestic 3D visualization software for optical waveguide design and simulation. The present study is, to the best of our knowledge, the first to develop 3D visualization module for optical waveguide design and simulation based on ray-field tracing. Using this module, a two-dimensional exit-pupil-expansion diffractive waveguide has been designed, and a systematic design workflow is demonstrated. The workflow integrates
To improve the processing efficiency of large-aperture optical components, a multi-robot, multi-tool collaborative processing method was proposed. A collaborative layout that has been tailored to the optical components was designed, and three feasible trajectories were simulated for analysis. The discrete simulation results were then used to establish principles for selecting trajectory parameters. To address the limitation of discrete simulation in capturing the influence of trajectory continuity on the surface map, an integral removal function model adapted to the motion mode was introduced. Furthermore, a collaborative machining obstacle avoidance strategy was developed. The experimental results obtained using the optimal trajectory demonstrated that with an initial surface shape of PV=18.310λ (λ=632.8 nm) and RMS=1.788λ, the final surface achieved PV=4.873λ and RMS=1.113λ. In addition, within the effective range of 120 mm diameter, PV=4.661 λ, RMS=0.857λ, converged to PV=2.465λ and RMS=0.622λ after processing. The total execution time was 3.943 hours, with the maximum execution time for a single processing unit being 2.041 hours, representing a 1.93-fold improvement over single-tool processing. This method significantly enhances processing efficiency, ensures surface shape accuracy, and holds great potential for the manufacturing of large-aperture optical components.
Atmospheric coherence length is a critical indicator of the impact of atmospheric turbulence on free-space optical communication links. This paper proposes a novel strategy for measuring atmospheric coherence length by utilizing extended targets as the information source. Specifically, the method integrates the wavefront structure function approach with the extended target offset algorithm to directly estimate the atmospheric coherence length. Traditional methods, such as the Differential Image Motion Monitor (DIMM), typically rely on guide star targets, which are difficult to set appropriately in horizontal communication links, thereby limiting their effectiveness in practical applications. In contrast, employing extended targets as direct detection targets provides a feasible solution for measuring atmospheric coherence length. The paper first reviews the principles and current research status of mainstream algorithms, emphasizing the reliance of existing algorithms on guide star targets and their limitations in horizontal links. Subsequently, we propose a new measurement scheme that combines the improved normalized cross-correlation algorithm with the wavefront structure function method to estimate atmospheric coherence length under extended targets scenarios. In comparison to traditional measurement methods, our approach enables coherence length measurement based on extended targets in horizontal links, thereby significantly reducing system complexity and equipment costs. To validate the effectiveness and measurement accuracy of the proposed method, both simulations and experiments were designed and conducted. The results demonstrate that the coherence length values measured by this method are highly consistent with those obtained using the DIMM method and the wavefront phase variance method, with a measurement accuracy error of approximately 4%. This indicates that the proposed method can effectively assess atmospheric coherence length, thereby providing a valuable reference for enhancing the reliability of free-space laser communication systems.
The polarization characteristics of optical systems enable to change the polarization state of incident light, thereby affecting the imaging quality and detection accuracy, and other aspects. For optical instruments such as telescopes and lithography lenses, polarization characteristics are important factors that determine the performance of these systems. Therefore, suppressing the adverse effects of polarization characteristics in optical systems holds significant importance for achieving high-performance modern optical systems. This paper summarizes the current research status of methods for suppressing the impacts of polarization characteristics in optical systems,categorizing the existing approaches into three types: polarization calibration, polarization compensation, and low polarization optimization design. The fundamental principles of these three methods are introduced, and the classification and discussion of each method with practical application examples are provided. Finally, the paper analyzes the connections among the three types of methods and their synergistic applications, as well as discusses and provides prospects for the future development of methods to suppress the impacts of polarization characteristics in optical systems.
To solve the problem of existing metasurface displacement measurement techniques unable to measure multiple physical quantities simultaneously, this paper proposes a metasurface cascade structure that can measure radial angular displacement and longitudinal linear displacement simultaneously. First, the working principle of displacement measurement is described according to the joint phase modulation of circular polarized light by a cascade metasurface. Secondly, the displacement information carried by the phase delay is analyzed using the Jones transport matrix, and the angular and linear displacements are mathematically characterized. Then, the design objective is used as a constraint to optimize unit structure parameters and create metasurface models. Finally, the finite-difference time-domain method is used to simulate the metasurface structures, validate the method's feasibility, and evaluate the device's measurement performance. The results show that the angular displacement sensitivity is
To effectively enhance detection sensitivity and practicality, this paper proposes a fiber-optic temperature sensor based on a cascaded Lyot-Sagnac sensing structure sensitized by the Vernier effect and a Fabry-Pérot interferometer (FPI). The Lyot-Sagnac structure is fabricated by splicing polarization-maintaining fibers (PMFs) of different lengths with a 90° rotation, while the FPI is constructed using a hollow-core photonic crystal fiber (HCPCF) as the Fabry-Pérot cavity. The results of theoretical analysis demonstrates that the Lyot-Sagnac structure fabricated via the 90° rotated splicing method exhibits a well-defined output spectral envelope. When cascaded with an FPI, it can significantly improve temperature detection sensitivity through the Vernier effect. The experimental results show that the temperature sensitivity of the cascaded sensor is 12.56 nm/°C and 92.77 nm/°C when utilizing PMFs of different lengths in the Lyot-Sagnac sensor structure as the sensing regions. Compared to the standalone Lyot-Sagnac interferometeric structure, the sensitivity of the proposed sensor is improved by approximately 57 times. In addition, under the same measurement bandwidth, the measurement range of PMF1 mode is 9.3 times that of PMF2 mode. Therefore, compared to the traditional vernier-effect-based fiber-optic temperature sensors, the dual-response-mode temperature sensor proposed in this paper not only exhibits superior detection sensitivity, but also enables effective adaptation to application scenarios requiring different detection ranges and sensitivity levels using the same spectral detection equipment, providing a new idea for developing tunable-performance fiber-optic temperature sensors.
The Bi2O3/Bi2S3 heterojunction composite was prepared by thermal polymerization combined with room temperature solution method, and its micromorphology, crystal structure and elemental composition were characterized. The results demonstrate that the Bi2O3/Bi2S3 heterojunction composite exhibits a bulk morphology, accompanied by the presence of pores and a relatively rough surface. Based on the Bi2O3/Bi2S3 heterojunction composite, the photodetector was fabricated and its photodetection performance was measured under zero bias voltage. When exposed to ultraviolet (UV) light, the maximum photocurrent (0.32 μA) and response speed (65.65/80.56 ms) of the Bi2O3/Bi2S3 photodetector are significantly enhanced compared to those of the Bi2O3 photodetector. In addition, the device exhibits a wide photodetection band from the UV to the visible (Vis) spectrum, as well as fast and stable self-driven photodetection capability. This is mainly attributed the successful coupling of Bi2O3 and Bi2S3 with a narrow band gap, resulting in the formation of a heterojunction composite that exhibits a type II band structure. It is noteworthy that the photodetection performance of the device was measured by continuously alternating between blue light on and off for 100 times. This indicates that the Bi2O3/Bi2S3 photodetector exhibits excellent cycle stability.
With the rapid development of bioluminescence technology, the demand for high-precision signal transmission has increased significantly. As the filter film is the core component of the system, the spectral characteristic of the filter film directly affects the accuracy of signal transmission. In this study, Nb2O5 and SiO2 were selected as high and low refractive index materials, respectively. A multi-channel negative filter was optimized using the Gaussian apodization function and Optilayer software. The filter film was deposited on a D263T substrate using an inductively coupled magnetron sputtering technique. The effect of thickness control errors on spectral shift and passband transmittance was addressed through inverse film sensitivity analysis. The effect of process parameters on film roughness was investigated, and it was found that adjusting the inductively coupled plasma (ICP) power could effectively improve film roughness. When the developed multi-channel negative filter was tested at a 45° angle of incidence, the reflectance half-bandwidths of the center wavelengths of 576 nm, 639 nm, and 690 nm were 5 nm, 6 nm and 7 nm, respectively, with an average reflectance of about 98%. The average transmittance in the transmission ranges of 545−562 nm, 597−624 nm, 655−675 nm, and 708−755 nm was 92%. The multi-channel negative filter successfully passed both the environmental resistance test and the spectral stability test, thus meeting the application requirements of the multi-channel negative filter in the bioluminescence system.
We develop a single-molecule immunoassay detection system for flow-phase samples to enable early diagnosis of tumor biomarkers. The system includes an optical fluorescence imaging platform and an image processing algorithm. First, we developed a flow-phase single-molecule immunoassay detection method suitable for real-time detection of low-concentration, high-throughput samples. Second, we designed a set of fluorescence imaging detection platform compatible with microfluidic chips. Through the rational configuration of optical filters and beam splitters, high-resolution fluorescence imaging was achieved by utilizing multi-module integration. Finally, based on the image detection and counting algorithm for out-of-focus particles, we optimized a feature-matching algorithm to effectively detect out-of-focus fluorescent particles. Experimental results demonstrate a detection limit of 0.001 pg/mL within a linear range of 0.001−1 pg/mL, with coefficient of variation below 10%. The system can process up to 10 samples per hour. These findings indicate that our system meets the requirements for stable, sensitive, and high-throughput single-molecule immunoassay detection, showing promising potential for early cancer screening.
The impact of atmospheric background radiation on imaging quality in wind field detection by the Doppler Asymmetric Spatial Heterodyne (DASH) interferometers is investigated, and a stray light suppression structure is designed. Utilizing orbital parameters and observation geometry, the influence of atmospheric background radiation on the signal-to-noise ratio (SNR) at varying altitudes is analyzed. Subsequently, a baffle is designed by considering system parameters and SNR variation patterns, with its suppression efficacy evaluated via point source transmittance (PST). The results demonstrate that atmospheric background radiation intensifies with decreasing altitude, leading to progressive SNR degradation. PST curves indicate that in-field PST is stable and unaffected by the baffle, preserving target light detection capability. Out-of-field PST decreases with increasing off-axis angle, dropping below 10−8 near the critical stray light suppression angle of 1.07°. The proposed suppression design fulfills system requirements for atmospheric background radiation mitigation.
Aiming at the issues of low overlapping rates of adjacent-frame point clouds and the tendency to forcibly register non-matching point pairs in Geiger-mode avalanche photodiode (GM-APD) LiDAR when used in dynamic scanning conditions, an enhanced iterative closest point (ICP) algorithm is proposed based on a bidirectional matching scheme and multi-resolution neighborhood expansion to improve registration accuracy and robustness. First, a K-D tree-based bidirectional search identifies overlapping regions between consecutive frames, enabling accurate initial alignment. Then, a high-resolution neighborhood expansion approach, weighted by local curvature similarity, is applied to refine the transformation matrix and suppress mismatched correspondences. Finally, a cascaded compensation mechanism ensures global consistency across frames. Experiment results demonstrate that our method achieves average distance errors of 0.21 m (2 km scene) and 0.10 m (400 m scene), effectively improving registration precision in dynamic scenarios and offering valuable support for 3D reconstruction.
In structured light 3D measurement systems, defocusing of the camera is inevitable. Because of camera defocus, the object’s complex surface texture introduces substantial phase errors, degrading measurement accuracy. To address this issue, this paper analyzes and formulates an error model for phase distortions arising from complex textures, and elucidates the relationship between the phase error and the direction of texture edge. Thus, a correction method for complex texture errors based on bidirectional fringe projection point cloud fitting is proposed. Theoretically, the bidirectional phase information obtained by projecting horizontal and vertical fringe patterns should yield perfect consistent point clouds. Thus, the method corrects the phase by minimizing the Euclidean distance between the corresponding points in the horizontal and vertical point clouds, ultimately obtaining the corrected point cloud. To remove global shifts from calibration parameter errors, a pre-correction process is applied through point cloud matching. In comparative experiments, our method achieves up to 33.6% reduction in the mean absolute error (MAE) and 39.1% reduction in the root mean square error (RMSE) versus conventional approaches. These results demonstrate its superior accuracy for reconstructing objects with complex texture.
In order to achieve real-time 3D measurement of dynamic objects and to overcome the measurement accuracy limitations caused by spectral aliasing of different carrier frequencies in traditional Fourier demodulation methods, as well as the color coupling problem in color composite stripe projection techniques, this paper proposes a three-frequency color stripe projection profilometry method based on fast iterative filtering. The method first captures a color image using a CCD camera, where the red, green, and blue channels carry gray stripe images with different carrier frequencies. Background interference is then reduced by component subtraction, followed by carrier frequency separation and color decoupling using fast iterative filtering. Subsequently, the Fourier transform is applied to the carrier-frequency stripe images in the red, green, and blue channels and the wrapped phase information is extracted. To achieve accurate phase unwrapping, a spatial domain unwrapping algorithm is employed. The low-frequency phase is first unwrapped, followed by the middle and high-frequency phases, which are unwrapped sequentially to complete the entire phase unwrapping process. The simulation and experimental results demonstrate that the proposed method exhibits a phase unwrapping accuracy that is 7 times higher than that of traditional Fourier methods. In comparison with other single-frame demodulation methods, the proposed method demonstrates superior accuracy and robust noise resistance, thus providing an effective technical solution for high-precision, dynamic real-time 3D measurement.
To enhance the stability and accuracy of estimation systems for ultra-close high-precision docking of spacecrafts, this article proposes a system for high-precision estimation of relative position and orientation between two satellites. Through vision cameras on the chaser satellite and co-designed LED targets on the target satellite, precise relative pose measurement is achieved within 0.4−50 meters. To ensure clear imaging within the effective range, both far-field and near-field LED targets were designed. A multi-scale centroid extraction algorithm was proposed based on target characteristics, while slope consistency constraints and spacing ratio screening were employed to guarantee target feature acquisition under complex illumination conditions. Pose estimation utilizes target geometric constraints as initial values, employing iterative nonlinear optimization to refine results and effectively reduce measurement errors. Test results demonstrate progressively improving measurement accuracy from far to near distances. At 0.4 meters, position estimation achieves sub-millimeter precision while orientation estimation maintains sub-degree accuracy, meeting ultra-close-range docking requirements. This solution provides high-precision, high-stability technical support for relative position and orientation estimation between on-orbit space targets, demonstrating significant engineering application value.
The hybrid optical-electronic optical convolutional neural network (OCNN) combines the parallel linear computation capabilities of photonic devices with the nonlinear processing advantages of electronic components, demonstrating significant potential in classification tasks. However, the fabrication inaccuracies of photonic devices and the circuit noise in FPGA-based backpropagation notably degrade the network performance. In this work, the hybrid optical-electronic OCNN is constructed, where the linear computations are performed by optical computing layers based on Mach-Zehnder interferometers (MZIs), while the pooling operations and the training process are implemented on the FPGA. This study focuses on the feasibility of on-chip training on FPGA, analyzing the impact of noise on training performance and proposing the network optimization strategies to enhance the noise immunity of OCNN. Specifically, the noise immunity is improved by adjusting the pooling method and pooling size, and the Dropout regularization is introduced after the pooling layer to further enhance the model's recognition accuracy. Experimental results indicate that the proposed on-chip training scheme effectively mitigates errors caused by the fabrication inaccuracy in the photonic devices. However, the circuit noise remains the primary factor limiting the OCNN performance. Notably, under the high circuit noise conditions, e.g. when the standard deviation of MZI phase error caused by circuit noise reaches 0.003, the combination of maximum pooling and Dropout regularization significantly improves the recognition accuracy of OCNN, which achieves a maximum of 78%. This research provides valuable insights for implementing on-chip training in OCNNs and explores new approaches for deploying hybrid optical-electronic architectures in high-noise environments.
This paper proposes a high-speed measurement method of Mueller matrix based on an overdriving technique exerted on a liquid crystal variable retarder. First, a liquid crystal-based simulation model of the Mueller matrix measurement system is established, which helps to confirm the feasibility of the system. Next, an overdriving scheme for the liquid crystal variable retarder is introduced to shorten the polarization-state switching time. Finally, the Mueller matrices of air, a polarizer, and a quarter-wave plate are measured experimentally. The results show that the generation frequency of six polarization states increases from 71 Hz to 417 Hz, and the measurement frequency of Mueller matrix increases from 10 Hz to 60 Hz, representing approximately a sixfold improvement. Furthermore, the mean squared error (MSE) of the measurements is below
Microdefects in cavity mirrors utilized in cavity ring-down spectroscopy (CRDS) instruments adversely affect measurement accuracy. Aiming at this problem, this paper establishes a scattering model for micro-defect on cavity mirrors based on the Bobbert and Vlieger Bidirectional Reflectance Distribution Function (BRDF) theory to analyze the characteristics of scattered light of microdefects under varying wavelengths, incident angles, defect sizes, defect types, defect densities, and substrate coatings. Studying on the cavity mirror microdefect scattering model shows that defects in the micrometer to submicron range (100 μm to 0.1 μm) affect the ring-down absorption accuracy. For the detection of micro-defects at this scale, analytical models for both cavity mirror micro-defect scattering and micro-defect dark-field detection is established. Establishing and analyzing the scattering light model for micro-defects in CRDS (Cavity Ring-Down Spectroscopy) cavity mirrors is critical to realizing the high-precision detection of microdefects on CRDS mirror and recovering CRDS measurement accuracy.
In order to solve the problem of RF discharge impedance matching of high-power fast axial flow CO2 lasers, an impedance matching network with low reflectivity and high dynamic matching range was designed to realize the efficient utilization of RF excited fast axial flow CO2 lasers under different discharge structures. Based on the impedance matching theory of RF circuits, a multi-electrode equivalent circuit model was constructed, a method of introducing tunable high-voltage ceramic capacitors into the matching network was proposed, and a dynamic L-type matching network suitable for high-power RF excited fast axial flow CO2 lasers was designed. The simulated dynamic L-type matching network can inject 60 kW RF power into 16 discharge tubes and achieve a reflectivity of less than 1% in the range of total load impedance of 12.81 Ω~49.94 Ω. A single-tube RF discharge experimental device was built, and the reflectivity of the dynamic L-type matching network was measured as less than 1% at 4 kW injection power, which was consistent with the simulation results. It is proved that the dynamic L-type matching network with adjustable high-voltage ceramic capacitors can achieve impedance matching in the high dynamic range, which meets the design requirements of high-power RF excited fast axial flow CO2 laser matching circuits.
Addressing limitations in existing data processing methods for large-aperture flat mirror figure measurement, specifically low generality and susceptibility to environmental instabilities, this paper proposes a novel data processing approach, which integrates ray tracing to generate a sensitivity matrix and applies it to process and analyze data obtained via the Ritchey-Common test. Consequently, high-precision figure detection of large-aperture flat mirrors is achieved. The investigation commences with the development of a Zemax-based Ritchey-Common optical model, from which a sensitivity matrix is rigorously derived through advanced ray tracing algorithms. This matrix enables precise separation of systematic errors inherent in the measurement process, demonstrating superior accuracy compared to conventional Zernike polynomial aberration correction methods while eliminating approximation-induced artifacts in data interpretation. Subsequent numerical verification of the sensitivity matrix algorithm confirms its theoretical validity and computational robustness. Experimental validation encompasses dual-scale implementation: primary verification employs a 200-mm aperture test mirror, where cross-comparative analysis with direct interferometric measurements achieves sub-wavelength consistency (RMS<λ/40). Full-scale application in the manufacturing process of a 2.2-meter class planar mirror demonstrates exceptional surface figure control, attaining final surface accuracy better than λ/50 RMS. The methodology exhibits significant improvements in measurement repeatability and environmental stability. This research establishes a generalized computational framework that effectively addresses the scalability challenges in ultra-precision optical testing, providing both theoretical advancement and practical engineering solutions for next-generation large-aperture optical systems fabrication.
To achieve wide-area detection of space targets, we design an optical system with a broad spectrum range (400~
As a non-contact ultra-precision machining method, abrasive water jet polishing (AWJP) has significant application in optical elements processing due to its stable tool influence function (TIF), no subsurface damage and strong adaptability to workpiece shapes. In this study, the effects of jet pressure, nozzle diameter and impinging angle on the distribution of pressure, velocity and wall shear stress in the polishing flow field were systematically analyzed by computational fluid dynamics (CFD) simulation. Based on the Box-Behnken experimental design, a response surface regression model was constructed to investigate the influence mechanism of process parameters on material removal rate (MRR) and surface roughness (Ra) of fused silica. And experimental results showed that increasing jet pressure and nozzle diameter significantly improved MRR, consistent with shear stress distribution revealed by CFD simulations. However, increasing jet pressure and impinging angle caused higher Ra values, which was unfavorable for surface quality improvement. Genetic algorithm (GA) was used for multi-objective optimization to establish Pareto solutions, achieving concurrent optimization of polishing efficiency and surface quality. A parameter combination of 2 MPa jet pressure, 0.3 mm nozzle diameter, and 30° impinging angle achieved MRR of 169.05 μm³/s and Ra of 0.50 nm. Experimental verification showed prediction errors of 4.4% (MRR) and 3.8% (Ra), confirming the model’s reliability. This parameter optimization system provides theoretical basis and technical support for ultra-precision polishing of complex curved optical components.
Soft polymer optical fiber (SPOF) has shown great potential in optical-based wearable and implantable biosensors due to its excellent mechanical properties and optical guiding characteristics. However, the multimodality characteristics of SPOF limit their integration with traditional fiber optic sensors. This article introduces for the first time a flexible fiber optic vibration sensor based on laser interference technology, which can be applied to vibration measurement under high stretch conditions. This sensor utilizes elastic optical fibers made of polydimethylsiloxane (PDMS) as sensing elements, combined with phase generating carrier technology, to achieve vibration measurement at 50−260 Hz within the stretch range of 0−42%.
In the field of image processing, the analysis of Synthetic Aperture Radar (SAR) images is crucial due to its broad range of applications. However, SAR images are often affected by coherent speckle noise, which significantly degrades image quality. Traditional denoising methods, typically based on filter techniques, often face challenges related to inefficiency and limited adaptability. To address these limitations, this study proposes a novel SAR image denoising algorithm based on an enhanced residual network architecture, with the objective of enhancing the utility of SAR imagery in complex electromagnetic environments. The proposed algorithm integrates residual network modules, which directly process the noisy input images to generate denoised outputs. This approach not only reduces computational complexity but also mitigates the difficulties associated with model training. By combining the Transformer module with the residual block, the algorithm enhances the network's ability to extract global features, offering superior feature extraction capabilities compared to CNN-based residual modules. Additionally, the algorithm employs the adaptive activation function Meta-ACON, which dynamically adjusts the activation patterns of neurons, thereby improving the network's feature extraction efficiency. The effectiveness of the proposed denoising method is empirically validated using real SAR images from the RSOD dataset. The proposed algorithm exhibits remarkable performance in terms of EPI, SSIM, and ENL, while achieving a substantial enhancement in PSNR when compared to traditional and deep learning-based algorithms. The PSNR performance is enhanced by over twofold. Moreover, the evaluation of the MSTAR SAR dataset substantiates the algorithm's robustness and applicability in SAR denoising tasks, with a PSNR of
The Fringe Projection Profilometry (FPP) system with a single exposure time or a single projection intensity is limited by the dynamic range of the camera, which can lead to overexposure and underexposure of the image, resulting in point cloud loss or reduced accuracy. To address this issue, unlike the pixel modulation method of projectors, we utilize the characteristics of color projectors where the intensity of the three-channel LED can be controlled independently. We propose a method for separating the projector's three-channel light intensity, combined with a color camera, to achieve single exposure and multi-intensity image acquisition. Further, the crosstalk coefficient is applied to predict the three-channel reflectance of the measured object. By integrating clustering and channel mapping, we establish a pixel-level mapping model between the projector's three-channel current and the camera's three-channel image intensity, which realizes the optimal projection current prediction and the high dynamic range (HDR) image acquisition. The proposed method allows for high-precision three-dimensional (3D) data acquisition of HDR scenes with a single exposure. The effectiveness of this method has been validated through experiments with standard planes and standard steps, showing a significant reduction in mean absolute error (44.6%) compared to existing single-exposure HDR methods. Additionally, the number of images required for acquisition is significantly reduced (by 70.8%) compared to multi-exposure fusion methods. This proposed method has great potential in various FPP-related fields.
Compared to traditional single-frequency bound states in the continuum (BIC), dual-band BIC offers higher degrees of freedom and functionality. Moveover, implementing independent control of dual-band BICs can further enhance their advantages and maximize their performance. This study presents a design for a dielectric metasurface that achieves dual-band BICs in the terahertz (THz) range. By adjusting two asymmetry parameters of the structure, independent control of the two symmetry-protected BICs is achieved. Furthermore, by varying the shape of the silicon holes, the design's robustness to geometric variations is demonstrated. Finally, the test results show that the figures of merit (FOMs) for both BICs reach 109. This work provides a new approach for realizing and tuning dual-frequency BICs, offering expanded possibilities for applications in multimode lasers, nonlinear optics, multi-channel filtering, and optical sensing.
By introducing noncanonical vortex pairs to partially coherent beams, spatial correlation singularity (SCS) and orbital angular momenta (OAM) of the resulting beams are studied using the Fraunhofer diffraction integral. The effect of noncanonical strength, off-axis distance and vortex sign on spatial correlation singularities in far field is stressed. Furthermore, far-field OAM spectra and densities are also investigated, and the OAM detection and crosstalk probabilities are discussed. The results show that the number of dislocations of SCS always equals the sum of absolute values of topological charges for canonical or noncanonical vortex pairs. Although the sum of the product of each OAM mode and its power weight equals the algebraic sum of topological charges for canonical vortex pairs, the relationship no longer holds in the noncanonical case except for opposite-charge vortex pairs. The changes of off-axis distance, noncanonical strength or coherence length can lead to a more dominant power in adjacent mode than that in center detection mode, which also indicates that crosstalk probabilities of adjacent modes exceed the center detection probability. This work may provide potential applications in OAM-based optical communication, imaging, sensing and computing.
A metal-sensitive diaphragm fiber optic pressure sensor with temperature compensation is developed for pressure monitoring in high-temperature environments, such as engine fuel systems, oil and gas wells, and aviation hydraulic systems. The sensor combines a metal-sensitive diaphragm and a sapphire wafer to form a temperature-pressure dual Fabry-Perot (FP) interference cavity. A cross-correlation signal demodulation algorithm and a temperature decoupling method are utilized to reduce the influence of temperature crosstalk on pressure measurement. Experimental results show that the maximum nonlinear error of the sensor pressure measurement is 0.75% full scale (FS) and 0.99% FS at room temperature and 300 °C, respectively, in a pressure range of 0−10 MPa and 0−1.5 MPa. The sensor’s pressure measurement accuracy is 1.7% FS when using the temperature decoupling method. The sensor exhibits good static pressure characteristics, stability, and reliability, providing an effective solution for high-temperature pressure monitoring applications.
The polarization characteristics of optical systems enable to change the polarization state of incident light, thereby affecting the imaging quality and detection accuracy, and other aspects. For optical instruments such as telescopes and lithography lenses, polarization characteristics are important factors that determine the performance of these systems. Therefore, suppressing the adverse effects of polarization characteristics in optical systems holds significant importance for achieving high-performance modern optical systems. This paper summarizes the current research status of methods for suppressing the impacts of polarization characteristics in optical systems,categorizing the existing approaches into three types: polarization calibration, polarization compensation, and low polarization optimization design. The fundamental principles of these three methods are introduced, and the classification and discussion of each method with practical application examples are provided. Finally, the paper analyzes the connections among the three types of methods and their synergistic applications, as well as discusses and provides prospects for the future development of methods to suppress the impacts of polarization characteristics in optical systems.
Division of focal plane polarization camera is a widely used integrated polarization imaging system. Crosstalk between pixels of the micro-polarizer arrays (MPAs) is the unique interference factor in such system, and its crosstalk light intensity varies with the polarization characteristics of the incident light, bringing errors to the measurement of the target’s polarization information. This paper reviews the development of polarization crosstalk models and summarizes all the factors affecting crosstalk identified in relevant researchs. Taking sensor parameters and optical system parameters as key factors, this paper discusses the cause-effect model of crosstalk in cameras and its relation to temporal noise. It analyzes the results of parameter changes caused by crosstalk, primarily summarizing the crosstalk’s factor correlation, experimental repeatability, error randomness and parameter calibration. Finally, this paper prospects the future development trends of crosstalk models.
The optical frequency standard based on two-photon transition is expected to become a practical miniaturized optical frequency standard due to its significant advantages such as high stability, good reproducibility and easy miniaturization. In this paper, the basic principle of two-photon transition is briefly described, and the research status and progress of rubidium atomic optical frequency standards based on two-photon transition at home and abroad are introduced. Finally, it is concluded that the future development trends of rubidium atomic optical frequency standards based on two-photon transition are system miniaturization, performance improvement, integrated application and engineering.
Laser communication utilizes light waves as the transmission medium. It offers many advantages, including high data rates, expansive bandwidth, compactness, robust interference resistance, and superior confidentiality. It has the critical capability to enable high-speed transmission and secure operation of space information networks. Prominent research institutions have committed to studying a series of challenges that need to be solved in the process of networking laser communication technology, including point-to-multipoint simultaneous laser communication, all-optical switching and forwarding of multi-channel signals within nodes, node dynamic random access, and network topology design. Numerous demonstration and verification experiments have been conducted, with a subset of these research results finding practical applications. Based on the analysis and discussion of space laser communication networking technology, this paper summarizes the development of laser communication networking technology both domestically and internationally, focusing on the application of laser communication networking technology in the fields of satellite constellations, satellite relays, and aviation networks. Furthermore, it presents a review of pertinent domestic research methodologies, experimental validations, and technical solutions. Finally, it predicts the development trend of laser communication networking technology and applications.
This paper presents various aspects of atmospheric refraction to gain insight into the advances in this field. It divides the effects of atmospheric refraction into two categories: the visible-to-infrared bands used in research fields such as optical imaging, laser transmission, and optoelectronic tracking and the radio band used in radar measurements and satellite detection. The calculation formulas for these two bands are different in their practical treatment. This paper introduces the refractive index formulas according to the refractive index formula's development history and points out the limitations of each formula. The current best choice for the former formula is the one summarized by Rüeger scholars; for the latter, it is recommended to choose the radio refractive index formula in the Rec. ITU-R P.453-14. In addition, the relationship between the refractive index of the Earth's surface and altitude, reference data for the refractive index on a global scale, and statistical distributions for the calculation of the refractive index gradient are given in the recommendation. Finally, traditional calculation methods for obtaining atmospheric refraction and optical observation methods are presented. The former study is based on the modeling of atmospheric patterns or meteorological data, formulae for refractive indices in specific regions, or model fitting to satisfy accuracy in a single environment or on an average scale. The optical measurement method does not need an atmospheric model as a basis, nor does it rely on meteorological parameters. The measurement results of the data are real-time and more representative of the path. It can make up for some of shortcomings of the traditional methods, and is more in line with future development trend of the future.
In non-Hermitian systems, controlling the gain or loss of the system can enable the system state transition from PT-symmetry to broken PT-symmetry. This transition leads to a special point known as the exceptional point, where the system eigenvalues and eigenstates become simultaneously degenerate. When combined with metasurfaces, the exceptional point leads to various intriguing optical phenomena, such as asymmetric transmission, exceptional topological phase, and the non-Hermitian skinning effect. However, active metasurfaces introducing gains are difficult to realize experimentally. Therefore, designing passive metasurfaces using equivalent gains through loss becomes a powerful tool in non-Hermitian research. In this paper, we review the theoretical models, research progress, specific applications, and experimental design in the study of the exceptional point on passive non-Hermitian metasurfaces and look forward to the future direction of this field.
The data simulation for Space Situational Awareness (SSA) can provide critical data support for the development, testing, and validation of space surveillance equipment and situational awareness algorithms (including detection, tracking, recognition, and characterization of space object), playing a significant role in building SSA capabilities. Taking the optical data simulation for space-based situational awareness as the research subject, the purpose and main research content of SSA data simulation are presented, and the typical research methods and processes of SSA optical imaging simulation are set forth. The current research status and progress in domestic and foreign related research are introduced, covering the imaging modeling and simulation achievements of different optical sensing systems such as binocular vision sensors, LiDAR, infrared sensors, visible light telescopes, and star trackers. The development trend of SSA data simulation research is analyzed, providing reference for future research ideas and approaches of SSA data simulation.
Fringe structured light technology is a non-contact measurement method, which has developed rapidly in recent years and provides a new solution for on-machine detection in mechanical processing. However, the accuracy of structured light for on-machine detection is compromised by the convoluted lighting in machining environments and metal parts’ high reflectivity, leading to inaccurate measurements. Applying high dynamic range (HDR) technology to structured light detection can reduce the effect of high reflectivity, achieving the measurement of metal parts in complex scenes. This paper introduces the measurement principle of structured light and summarizes the challenges of on-machine detection for HDR structured light. Subsequently, this paper provides a comprehensive review of HDR structured light technology. In the context of on-machine detection of mechanical processing, the HDR technology based on hardware equipment and the HDR technology based on stripe algorithm are discussed and analyzed, respectively. Following this, different technologies are summarized according to the requirements of on-machine detection. The advantages and disadvantages of various methods are presented, and the applicability of on-machine detection is compared. Finally, the potential applications are analyzed, and the technological prospects will be proposed in combination with the research hotspots of advanced manufacturing technology and precision measurement in recent years.
Laser Induced Breakdown Spectroscopy (LIBS) is a new method for qualitative and quantitative analysis of the constituents of a material using plasma spectra produced by the interaction of a strong pulsed laser with the material. In the process of pulsed laser-induced plasma, different laser parameters (energy, pulse width, wavelength), environmental conditions during the detection process and the properties of the material itself have different degrees of influence on the physical mechanism of laser-induced plasma, which in turn affects the results of LIBS quantitative analysis. We review the physical mechanisms of LIBS technology in the current state, including the basic principles of LIBS, the differences in laser parameters, and the physical mechanisms involved in the differences in environmental and material properties. It provides a basis for a deeper understanding of laser-matter interactions and for improving the detection capabilities of LIBS.
Narrow linewidth fiber lasers, based on the multi-longitudinal-mode oscillator seed source, have obvious advantages in engineering applications and space-limited loading platforms. Additionally, they are considered ideal sub-modules for high-power spectral combinations. The time domain of this type of seed is unstable due to the self-pulse effect, causing significant spectral broadening and stimulated Raman scattering effects during the amplification process, which limits their further improvement in output power and affects the purity of laser spectra. In this paper, we introduce four commonly used narrow linewidth seeds. The mechanism and suppression methods of the self-pulse effect in multi-longitudinal mode oscillator seeds are analyzed. Critical technologies essential for the optimization and relevant progress of the multi-longitudinal-mode oscillator seed source and amplifier stages are discussed in detail. A future development outlook is also presented. This paper serves as a useful reference for the design of narrow linewidth fiber lasers based on the multi-longitudinal-mode oscillator seed source.
Optical path absorption spectroscopy is an important branch of absorption spectroscopy. In recent years, there has been a proliferation of optical path absorption spectroscopy techniques based on different light source technologies, absorption cavity technologies, and detection methods. As the demands on detection sensitivity and absorption optical path length increased, optical path absorption spectroscopy techniques based on the principle of enhanced absorption emerged, including integrated cavity spectroscopy (ICOS), cavity-enhanced absorption spectroscopy (CEAS) and cavity ring-down spectroscopy (CRDS). Enhanced absorption spectroscopy is advantageous for its high spectral resolution, high sensitivity, fast response time, and portability, but it presently lacks a unified concept and clear classification criteria. This paper compares the development history of absorption spectroscopy techniques and clarifies the concept of their multi-optical path. Based on whether resonant absorption occurs in the absorption cavity, the concept of absorption spectroscopy techniques based on resonance is proposed, and the current research status of resonant absorption spectroscopy techniques is analyzed and summarized, and the applications of this technique in various fields are outlined. Finally, the future development of key technologies in resonance absorption spectroscopy is envisioned.
Optical fiber tweezers are widely used in biochemical analysis, life sciences, and other fields due to their simple structure, flexible operation, and compact size. The hetero-core structure of the optical fiber probe possesses inherent advantages in near-field evanescent wave optical trapping force, core beam coupling transmission, and cross-synergistic application of microfluidic technology, which can realize the functions of cell and subcellular particle collection and transportation, and can significantly improve the three-dimensional particle trapping capability as well as dynamic manipulation level. In this paper, the structural characteristics and application technology research progress of optical fiber tweezers based on different core structures are reviewed. This paper sorts and compares key technologies, including probe preparation, laser source, and coupling mode, in hetero-core optical fiber tweezers systems. It also summarizes and provides a perspective on the role and development of hetero-core fibers with different structures in optical fiber tweezers.
Micro-LEDs offers the benefits of high brightness, high response frequency, and low power consumption, making them an attractive candidate for future display technologies and Visible Light Communication (VLC) systems. Nonetheless, their low External Quantum Efficiency (EQE) currently impedes their scaled mass production and further applications. In order to break through the bottleneck of low EQE, we conducted an analysis of Micro-LED external quantum efficiency’s contributing factors. The influencing factors for EQE are analyzed. It is concluded that the carrier loss and non-radiative recombination caused by sidewall defects are the main reasons for the decrease in EQE. In addition, we summarized the impact of sidewall defects on carrier transport and composites, and we also reviewed the commonly used sidewall treatment technology and repair methods, and pointed out that the existing sidewall treatment methods are helpful but insufficient for improving EQE, and the mechanism of carrier interaction with sidewall defects is not very clear. It is suggested to carry out a thorough and systematic study on the types and distribution of sidewall defects, the mechanism of carrier and sidewall defects, and the defect repair mode in the sidewall treatment process. Finally, future development trends are projected. This paper offers design ideas and theoretical foundations to enhance the external quantum efficiency and accelerate the process of commercialization and mass production of Micro-LEDs.
Polarization imaging, a novel photoelectric detection technology, can simultaneously acquire the contour information and polarization features of a scene. For specific application scenarios, polarization imaging has the excellent ability to distinguish different objects and highlight their outlines. Therefore, polarization imaging has been widely applied in the fields of object detection, underwater imaging, life science, environmental monitoring, 3D imaging, etc. Polarization splitting or the filtering device is the core element in a polarization imaging system. The traditional counterpart suffers from a bulky size, poor optical performance, and being sensitive to external disturbances, and can hardly meet the requirements of a highly integrated, highly functional, and highly stable polarization imaging system. A metasurface is a two-dimensional planar photonic device whose comprising units are arranged quasi-periodically at subwavelength intervals, and can finely regulate the amplitude and phase of the light field in different polarization directions. Polarization devices based on metasurface are featured with compactness, lightweight and multi-degree freedom, offering an original solution to ultracompact polarization imaging systems. Targeted at the field of polarization imaging, this paper illustrates the functional theory, developmental process and future tendency of related metasurfaces. We discuss the challenges and prospect on the future of imaging applications and systematic integrations with metasurfaces.
In order to clarify the cavity design methods of thin-disk multi-pass amplifiers, we summarize the different types of thin-disk multi-pass amplifiers and concludes that there are four fundamental design concepts: (1) 4
Miniature head-mounted single-photon fluorescence microscopy is a breakthrough approach for neuroscience research that has emerged in recent years. It can image the neural activity of freely moving vivo animals in real time, providing an unprecedented way to access neural signals and rapidly enhancing the understanding of how the brain works. Driven by the needs of brain science research, there have been many types of miniature head-mounted single-photon fluorescence microscopes, such as high-resolution imaging, wireless recording, 3D imaging, two-region imaging and two-color imaging. In order to have a more comprehensive understanding of this new optical neuroimaging technology, we classify its technologies according to the imaging field of view, introduce the characteristics of different types of micro-head-mounted single-photon fluorescence microscopes reported so far, and focus on the optical system scheme and optical performance parameters used. The advantages and disadvantages of different schemes are analyzed and compared and the future direction of development is described to provide reference for the practical application of brain science researchers.
Non-line-of-sight (NLoS) imaging is a promising technique developed in recent years, which can reconstruct hidden scenes by analyzing the information in the intermediate surface, and "see around the corner", and has strong application value in many fields. In this paper, we review the reconstruction algorithm for NLoS imaging tasks. Firstly, considering the crossover and non-independent phenomena existing in the NLoS imaging classification, we use the different features of physical imaging models and algorithm models to reclassify them. Secondly, according to the proposed classification criteria, we respectively review the traditional and deep learning-based NLoS imaging reconstruction algorithms, summarize the state-of-the-art algorithms, and derive the implement principle. We also compare the results of deep learning-based and traditional NLoS imaging reconstruction algorithms for reconstruction tasks. Finally, the current challenges and the future development of NLoS imaging are summarized. Different types of NLoS imaging reconstruction algorithms are comprehensively analyzed in this review, which provides important support for the further development of NLoS imaging reconstruction algorithms.
Laser-Induced Thermo-Elastic Spectroscopy (LITES) is a new developed gas detection technology based on the thermoelastic effect of Quartz Tuning Forks (QTF). The QTF has the advantages of low cost, small volume, high sensitivity and wide spectral response range, and the LITES is becoming a vital method for trace gas detection. In this paper, the basic principle of gas concentration measuring based on LITES is firstly analyzed. Secondly, from the perspective of various technical methods, this paper introduces the methods for improving the sensitivity of QTF detectors, and reviews the research progress of LITES system in recent years. The performance of these systems is evaluated by the signal amplitude, Signal-to-Noise Ratio (SNR), minimum detection limit, and Normalized Noise Equivalent Absorption (NNEA) coefficient. Finally, the practical application of LITES in the field of gas detection technology is briefly reviewed, and the methods for further improving its sensitivity are summarized and prospected.
Atmospheric temperature, humidity and pressure are deemed important atmospheric parameters. Quickly and accurately understanding the temperature, humidity and pressure information of the atmosphere and their changing trends is of great significance to research on meteorology, climatology, and artificial weather research. Raman lidar can obtain various atmospheric environment-related parameters by separating Raman scattering signal inversion, which can achieve high accuracy detection of atmospheric parameter profile information. Raman lidar has unique advantages and potential in atmospheric temperature, humidity and pressure detection. With an introduction to the principle and inverse analysis algorithm of Raman lidar for atmospheric temperature, humidity and pressure detection, this paper also highlights the advantages and disadvantages along with related advances of spectral devices such as filters, etalons and gratings commonly used in Raman lidar. The detection techniques involved in Raman lidar are also included. Finally, typical applications of meteorological parameter measurements by Raman lidar are shown.
With the continuous development of optical imaging technology and the growing demand for remote sensing applications, cross-scale high-resolution optical technology has been widely used in the field of remote sensing. In order to obtain more detailed information on the target, domestic and foreign researchers have carried out relevant research in different technical directions. In this paper, through the technical classification of remote sensing imaging, we introduce a representative aerospace optical remote sensing high-resolution imaging system. It focuses on monomer structure, block expandable imaging, optical interference synthesis aperture imaging, diffraction main mirror imaging, optical synthetic aperture and other technologies. It provides a new idea for the development of high-resolution optical remote sensing loads on the ground.
- 2025 No. 4 No. 3 No. 2 No. 1
- 2024 No. 6 No. 5 No. 4 No. 3 No. 2 No. 1
- 2023 No. 6 No. 5 No. 4 No. 3 No. 2 No. 1
- 2022 No. 6 No. 5 No. 4 No. 3 No. 2 No. 1
- 2021 No. 6 No. 5 No. 4 No. 3 No. 2 No. 1
- 2020 No. 6 No. 5 No. 4 No. 3 No. 2 No. 1
- 2019 No. 6 No. 5 No. 4 No. 3 No. 2 No. 1
- 2018 No. 6 No. 5 No. 4 No. 3 No. 2 No. 1
- 2017 No. 6 No. 5 No. 4 No. 3 No. 2 No. 1
- 2016 No. 6 No. 5 No. 4 No. 3 No. 2 No. 1
- 2015 No. 6 No. 5 No. 4 No. 3 No. 2 No. 1
- 2014 No. 6 No. 5 No. 4 No. 3 No. 2 No. 1
- 2013 No. 6 No. 5 No. 4 No. 3 No. 2 No. 1
- 2012 No. 6 No. 5 No. 4 No. 3 No. 2 No. 1
- 2011 No. 6 No. 5 No. 4 No. 3 No. 2 No. 1
- 2010 No. 6 No. 5 No. 4 No. 3 No. 2 No. 1
- 2009 No. 6 No. 5 No. 4 No. 3 No. 2 No. 1
- 2008 No. 1
Supervisor: Chinese Academy of Sciences
Sponsors: the Changchun Institute of Optics, Fine Mechanics, and Physics (CIOMP), CAS
Editor-in-Chief: Wang Jiaqi, Academician
ISSN 2097-1842
CN 22-1431/O4
CODEN ZGHUC8
Search
Search Type
Email Alerts
NoticeMore
Related downloadsMore
- 1 New applications of surface plasmon polaritons
- 2 Terahertz wave and its new applications
- 3 Present status and progress in 193 nm exposure
- 4 Super resolved reconstruction technologies and recent evolution
- 5 Application and development of recent space optical imaging remote sensors
- 6 Introduction to up-conversion luminescence of rare earth doped materials
- 7 Research of face recognition methods based on subspace analysis
- 8 Progress in foreign groundbased optoelectronic
- More
- 1 A survey of laser scan matching methods
- 2 Advances in preparation and biomedical applications of fluorescent carbon quantum dots
- 3 Carbon nanodots and their composites for biomedical applications
- 4 Advances in biological application of photo-crosslinking technique
- 5 Structured illumination super-resolution microscopy technology: review and prospect
- 6 New applications of surface plasmon polaritons
- 7 Optical free-form surfaces testing technologies
- 8 Research progress on laser-produced plasma light source for 13.5 nm extreme ultraviolet lithography
- More


Search manuscripts at any time to get the latest papers and industry information