留言板

尊敬的读者、作者、审稿人, 关于本刊的投稿、审稿、编辑和出版的任何问题, 您可以本页添加留言。我们将尽快给您答复。谢谢您的支持!

姓名
邮箱
手机号码
标题
留言内容
验证码

Lyot-Sagnac与Fabry-Pérot级联增敏的光纤温度传感器

张国生 陈宇雷 柴国强 韩建宁

张国生, 陈宇雷, 柴国强, 韩建宁. Lyot-Sagnac与Fabry-Pérot级联增敏的光纤温度传感器[J]. 中国光学(中英文), 2025, 18(5): 1027-1035. doi: 10.37188/CO.2025-0068
引用本文: 张国生, 陈宇雷, 柴国强, 韩建宁. Lyot-Sagnac与Fabry-Pérot级联增敏的光纤温度传感器[J]. 中国光学(中英文), 2025, 18(5): 1027-1035. doi: 10.37188/CO.2025-0068
ZHANG Guo-sheng, CHEN Yu-lei, CHAI Guo-qiang, HAN Jian-ning. Sensitivity-enhanced fiber-optic temperature sensor using cascaded Lyot-Sagnac and Fabry-Pérot interferometers[J]. Chinese Optics, 2025, 18(5): 1027-1035. doi: 10.37188/CO.2025-0068
Citation: ZHANG Guo-sheng, CHEN Yu-lei, CHAI Guo-qiang, HAN Jian-ning. Sensitivity-enhanced fiber-optic temperature sensor using cascaded Lyot-Sagnac and Fabry-Pérot interferometers[J]. Chinese Optics, 2025, 18(5): 1027-1035. doi: 10.37188/CO.2025-0068

Lyot-Sagnac与Fabry-Pérot级联增敏的光纤温度传感器

cstr: 32171.14.CO.2025-0068
基金项目: 国家自然科学基金(No. 62405003,No. 62201333);山西省基础研究计划(No. 202203021222220)
详细信息
    作者简介:

    张国生(1989—),男,山西大同人,博士,讲师,硕士生导师,2021年于安徽大学物理与光电工程学院获得物理电子学专业博士学位,主要从事光纤传感器的制作及应用方面的研究。E-mail:opticalzgs@163.com

    陈宇雷(1991—),男,山西临汾人,博士,副教授,硕士生导师,2020年于中北大学仪器与电子学院获得仪器科学与技术专业博士学位,主要从事量子传感与精密测量方面的研究。E-mail:cyl029@126.com

    柴国强(1989—),男,山西临汾人,博士,副教授,硕士生导师,2021年于中北大学信息与通信工程学院获得信息与通信工程专业博士学位,主要从事图像处理与深度学习方面的研究。E-mail:guoqiangchai@163.com

    韩建宁(1980—),男,山西晋城人,博士,教授,博士生导师,2015年于中北大学信息与通信工程学院获得信号与信息系统专业博士学位,主要从事智能传感方面的研究。E-mail:hanjn46@nuc.edu.cn

  • 中图分类号: TP394.1;TH691.9

Sensitivity-enhanced fiber-optic temperature sensor using cascaded Lyot-Sagnac and Fabry-Pérot interferometers

Funds: Supported by the National Natural Science Foundation of China (No. 62405003, No. 62201333); Basic Research Program of Shanxi Province (No. 202203021222220)
More Information
  • 摘要:

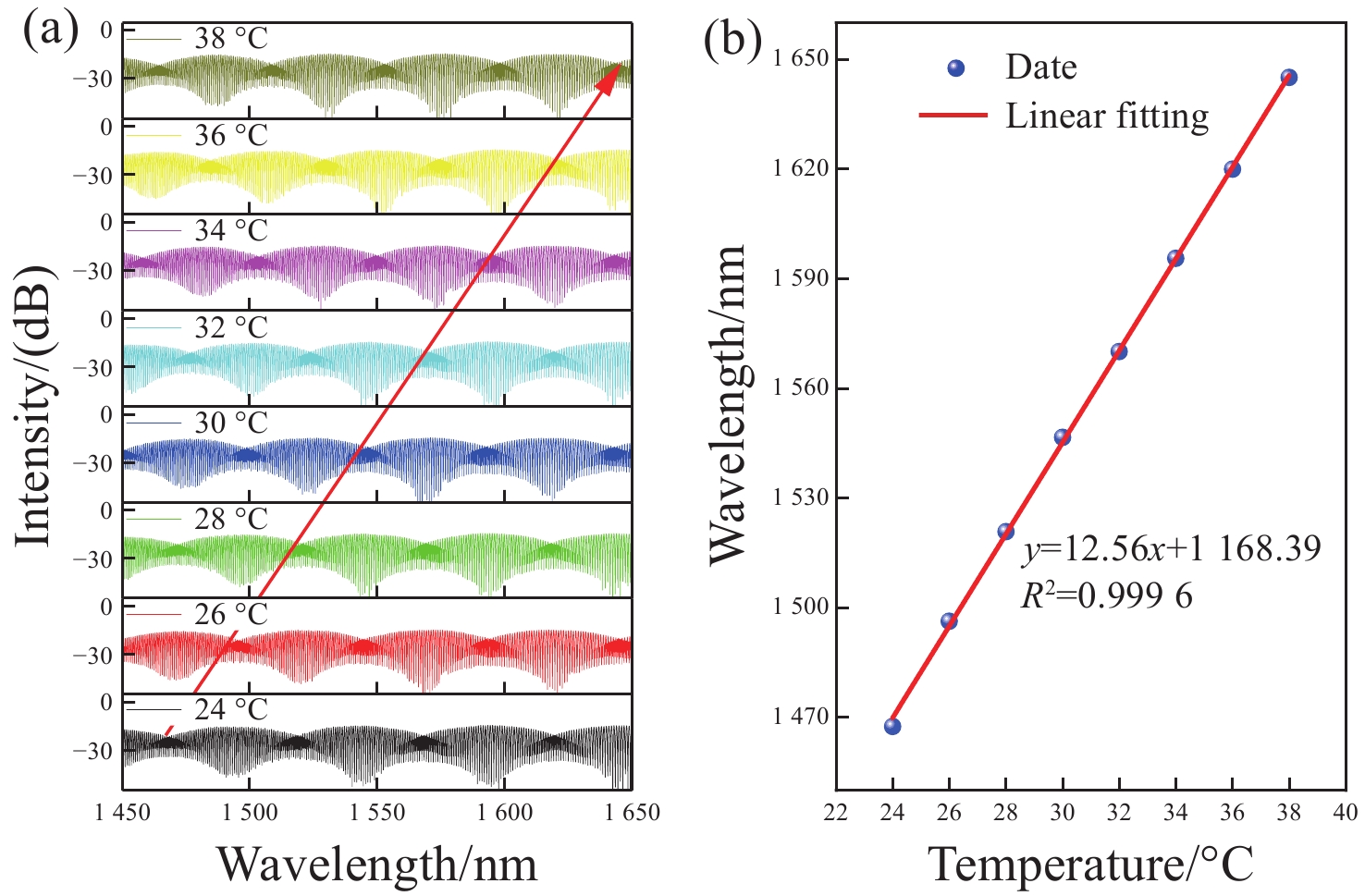
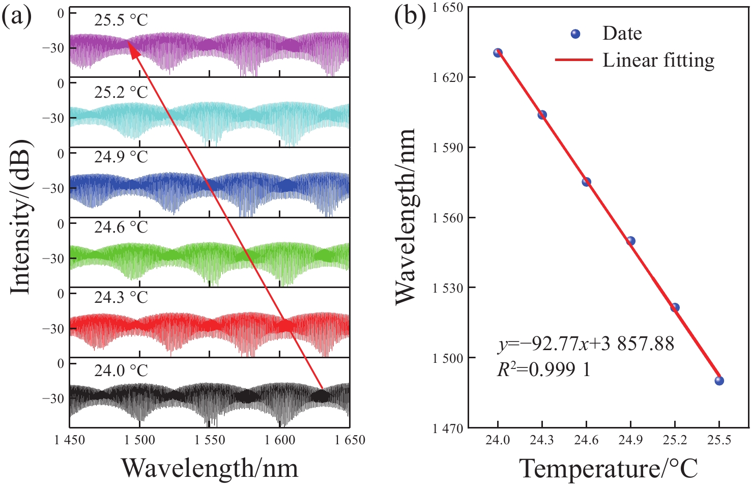
    为了有效提高检测灵敏度和实用性,本文提出了一种基于游标效应增敏的Lyot-Sagnac传感结构与Fabry-Pérot干涉仪(FPI)级联的光纤温度传感器。其中,Lyot-Sagnac传感结构是通过90°旋转熔接不同长度保偏光纤(PMF)制作而成的,FPI是利用空芯光子晶体光纤作为F-P腔制作的。理论分析结果表明,通过90°旋转熔接方法制作的Lyot-Sagnac传感结构输出光谱包络良好,与FPI级联利用游标效应能够显著提高传感器温度检测灵敏度。实验结果表明,级联传感器分别以Lyot-Sagnac传感结构中不同长度的PMF作为传感部位时,温度检测灵敏度为12.56 nm/°C和 92.77 nm/°C。相比于单独的Lyot-Sagnac干涉结构,本文提出的传感器灵敏度提升了约57倍。此外,在同一测量带宽下,PMF1模式的测量范围是PMF2模式的9.3倍。因此,相较于传统游标效应光纤温度传感器,本文提出的双响应模式温度传感器不仅具有良好的检测灵敏度,而且利用同一光谱检测设备可有效适配不同检测范围与灵敏度需求的应用场景,为性能可调式光纤温度传感器的研发提供了一种新思路。

     

  • 图 1  基于Lyot-Sagnac传感结构与FPI级联的光纤传感器结构示意图

    Figure 1.  Schematic diagram of the fiber-optic sensor structure based on a Lyot-Sagnac sensing configuration cascaded with a FPI

    图 2  传感器所用光纤的端面表征。(a)PMF;(b)HCPCF

    Figure 2.  End-face characterization of optical fibers used in the sensor. (a) PMF; (b) HCPCF

    图 3  单一Lyot-Sagnac传感结构实验装置示意图

    Figure 3.  Schematic diagram of the experimental setup for a single Lyot-Sagnac sensing configuration

    图 4  级联结构传感器实验装置示意图

    Figure 4.  Schematic diagram of the experimental setup for the cascaded sensor configuration

    图 5  单一Lyot-Sagnac传感结构、FPI和级联传感器的输出光谱仿真结果

    Figure 5.  Simulation results of output spectra for a single Lyot-Sagnac sensing configuration, FPI and cascaded sensor

    图 6  B2不变改变B1系数时,传感结构的温度响应仿真计算结果。(a)单一Lyot-Sagnac结构;(b)级联传感器

    Figure 6.  Simulated temperature response characteristics of the sensing structure when B2 remains constant and B1 is varied. (a) Standalone Lyot-Sagnac interferometer; (b) cascaded sensor

    图 7  B1不变,改变B2系数时,传感结构的温度响应仿真计算结果。(a)单一Lyot-Sagnac结构;(b)级联传感器

    Figure 7.  Simulated temperature response characteristics of the sensing structure when B1 remains constand and B2 is varied. (a) Standalone Lyot-Sagnac interferometer; (b) cascaded sensor

    图 8  Lyot-Sagnac结构、FPI和级联传感器的透射光谱

    Figure 8.  Transmission spectra of the Lyot-Sagnac structure, FPI and cascaded sensor

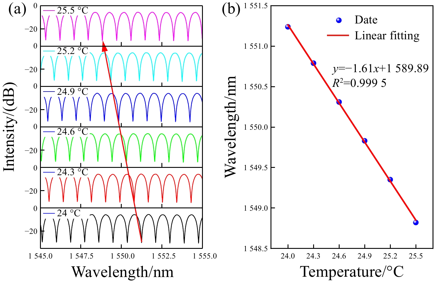
    图 9  单一Lyot-Sagnac结构中PMF1作为传感部位的温度响应图谱。(a)干涉图谱;(b)线性拟合结果

    Figure 9.  Temperature response characteristics when PMF1 acts as the sensing element in a single Lyot-Sagnac configurations. (a) Interference spectra; (b) linear fitting results

    图 10  单一Lyot-Sagnac结构中PMF2作为传感部位的温度响应图谱:(a)干涉图谱;(b)线性拟合结果

    Figure 10.  Temperature response characteristics when PMF2 acts as the sensing element in a single Lyot-Sagnac configuration. (a) Interference spectra; (b) linear fitting result

    图 11  级联传感器中PMF1作为传感部位的温度响应图谱。(a)干涉图谱;(b)线性拟合结果

    Figure 11.  Temperature response characteristics when PMF1 acts as the sensing element in the cascaded sensor. (a) Interference spectra; (b) linear fitting results

    图 12  级联传感器中PMF2作为传感部位的温度响应图谱:(a)干涉图谱;(b)线性拟合结果

    Figure 12.  Temperature response characteristics when PMF2 acts as the sensing element in the cascaded sensor. (a) Interference spectra; (b) linear fitting results

    表  1  与其它基于游标效应的光纤温度传感器对比分析

    Table  1.   Comparative analysis with other Vernier-effect-based fiber-optic temperature sensors

    时间 结构 灵敏度/(nm/°C) 参考文献
    2021 FSI+FSI 78.984 [28]
    2023 FSI+FPI 30.909 [27]
    2023 FPI(PDMS)+FPI 16.51 [29]
    2024 FPI(PDMS)+FPI 61.11 [30]
    2024 FPI(LC)+FPI 42.18 [31]
    2025 Lyot-Sagnac+FPI 92.77 本文工作
    下载: 导出CSV
  • [1] 李爱武, 单天奇, 国旗, 等. 光纤法布里-珀罗干涉仪高温传感器研究进展[J]. 中国光学(中英文), 2022, 15(4): 609-624. doi: 10.37188/CO.2021-0219

    LI A W, SHAN T Q, GUO Q, et al. Research progress of optical fiber Fabry-Perot interferometer high temperature sensors[J]. Chinese Optics, 2022, 15(4): 609-624. (in Chinese). doi: 10.37188/CO.2021-0219
    [2] 席婷苇, 温嘉琳, 董玉明, 等. 光纤法布里珀罗超声传感器解调方法进展[J]. 激光与光电子学进展, 2025, 62(5): 0500001.

    XI T W, WEN J L, DONG Y M, et al. Research progress of demodulation method for fiber optic Fabry-Perot ultrasonic interferometer[J]. Laser & Optoelectronics Progress, 2025, 62(5): 0500001. (in Chinese).
    [3] CHENG T L, LIU W, SONG D CH, et al. A reliable anti-interference temperature sensor based on a four-hole microstructure optical fiber Mach-Zehnder interferometer[J]. IEEE Transactions on Instrumentation and Measurement, 2023, 72: 9508609.
    [4] LIU Y H, LIN W H, ZHAO F, et al. Dual-parameter fiber sensors for salinity and temperature measurement based on a tapered PMF incorporated with an FBG in Sagnac loop[J]. IEEE Photonics Journal, 2024, 16(1): 6300107.
    [5] HUANG B, WANG Y, MAO CH. Lyot filter with femtosecond laser-induced high birefringence single-mode fiber for torsion, transverse load and temperature sensing[J]. IEEE Access, 2020, 8: 25764-25769. doi: 10.1109/ACCESS.2020.2968729
    [6] 李建新, 朱伟, 任建乔, 等. 基于FBG传感技术的混凝土开裂损伤研究[J]. 传感器与微系统, 2025, 44(4): 17-20.

    LI J, ZHU W, REN J Q, et al. Research on concrete cracks damage based on FBG sensing technology[J]. Transducer and Microsystem Technologies, 2025, 44(4): 17-20. (in Chinese).
    [7] LI L Y, LIU Y, HE Y Y, et al. In situ and continuous decoding hydrogen generation in solar water-splitting cells[J]. Analytical Chemistry, 2024, 96(29): 12155-12164. doi: 10.1021/acs.analchem.4c02323
    [8] SHAO L Y, ZHANG X P, HE H J, et al. Optical fiber temperature and torsion sensor based on Lyot-Sagnac interferometer[J]. Sensors, 2016, 16(10): 1774. doi: 10.3390/s16101774
    [9] WANG Y, CAO ZH G, LUO W D, et al. Method for controlling temperature sensitivity of the fiber intermodal sensor and its application in the torsion sensor[J]. Optics Express, 2021, 29(5): 6756-6767. doi: 10.1364/OE.415206
    [10] ZHANG W J, LU Y G. Simultaneous measurement of temperature, liquid level and axial strain based on torsional taper Mach-Zehnder interferometer with Vernier effect[J]. Measurement, 2024, 230: 114504. doi: 10.1016/j.measurement.2024.114504
    [11] YANG H N, DONG B, ZHAO W, et al. Er/Yb codoped double clad fiber modal interferometer and its application as fiber sensor[J]. Journal of Lightwave Technology, 2019, 37(11): 2681-2685. doi: 10.1109/JLT.2018.2875539
    [12] PAN X P, DONG Y H, ZHENG J J, et al. Enhanced FBG temperature sensitivity in PbS-doped silica optical fiber[J]. Journal of Lightwave Technology, 2019, 37(18): 4902-4907. doi: 10.1109/JLT.2019.2937138
    [13] ZHU X J, LIU W, SUN A, et al. Highly sensitive temperature and curvature sensor based on seven-core fiber[J]. Optics and Lasers in Engineering, 2023, 169: 107725. doi: 10.1016/j.optlaseng.2023.107725
    [14] XU SH SH, CHEN H L, FENG W L. Fiber-optic curvature and temperature sensor based on the lateral-offset spliced SMF-FCF-SMF interference structure[J]. Optics & Laser Technology, 2021, 141: 107174.
    [15] SHAO M, CAO ZH W, GAO H, et al. Optical fiber ultrasonic sensor based on partial filling PDMS in hollow-core fiber[J]. Optics & Laser Technology, 2023, 167: 109648.
    [16] 王彦雄, 陈仟龙, 周小满, 等. 基于聚二甲基硅氧烷微流控芯片的微波生物传感器研究进展[J]. 分析化学, 2024, 52(12): 1797-1806.

    WANG Y X, CHEN Q L, ZHOU X M, et al. Research progress of microwave biosensors based on polydimethylsiloxane microfluidic chips[J]. Chinese Journal of Analytical Chemistry, 2024, 52(12): 1797-1806. (in Chinese).
    [17] 马宽明, 刘梓轩, 刘培元, 等. 液晶填充光纤U型腔的偏振光谱及温度特性[J]. 激光与光电子学进展, 2019, 56(17): 170621.

    MA K M, LIU Z X, LIU P Y, et al. Polarization spectra of U-shaped optical fiber cavities filled with liquid crystal and their temperature characteristics[J]. Laser & Optoelectronics Progress, 2019, 56(17): 170621. (in Chinese).
    [18] YANG H K, WANG CH, JIN G Y, et al. Liquid crystal-embedded fiber optic Fabry Perot temperature sensor based on Vernier effect[J]. Measurement, 2024, 225: 113910. doi: 10.1016/j.measurement.2023.113910
    [19] LEAL-JUNIOR A G, DÍAZ C R, MARQUES C, et al. Analysis of viscoelastic properties influence on strain and temperature responses of Fabry-Perot cavities based on UV-curable resins[J]. Optics & Laser Technology, 2019, 120: 105743.
    [20] ZHENG Y W, CHEN Y ZH, ZHANG Q F, et al. High-sensitivity temperature sensor based on fiber Fabry-Pérot interferometer with UV glue-filled hollow capillary fiber[J]. Sensors, 2023, 23(18): 7687. doi: 10.3390/s23187687
    [21] WANG J, WU SH L, REN W Y. Epoxy resin cap-based low-finesse fiber Fabry-Pérot interferometer for temperature sensing[J]. IEEE Sensors Journal, 2015, 15(11): 6385-6389. doi: 10.1109/JSEN.2015.2458895
    [22] SAMPATH U, KIM D G, KIM H, et al. Cryogenic temperature sensor based on Fresnel reflection from a polymer-coated facet of optical fiber[J]. IEEE Sensors Journal, 2018, 18(9): 3640-3644. doi: 10.1109/JSEN.2018.2813303
    [23] 柯欣怡, 常建华, 闵洋, 等. 基于游标效应的并联光纤法布里-珀罗温湿度传感器[J]. 光学学报, 2025, 45(2): 0206001. doi: 10.3788/AOS241425

    KE X Y, CHANG J H, MIN Y, et al. Parallel fiber Fabry-Perot temperature and humidity sensor based on vernier effect[J]. Acta Optica Sinica, 2025, 45(2): 0206001. (in Chinese). doi: 10.3788/AOS241425
    [24] CHEN Y H, ZHAO L, HAO SH, et al. Advanced fiber sensors based on the vernier effect[J]. Sensors, 2022, 22(7): 2694. doi: 10.3390/s22072694
    [25] YANG Y Q, WANG Y G, ZHAO Y X, et al. Sensitivity-enhanced temperature sensor by hybrid cascaded configuration of a Sagnac loop and a F-P cavity[J]. Optics Express, 2017, 25(26): 33290-33296. doi: 10.1364/OE.25.033290
    [26] LIU Y D, CHEN H L, CHEN Q, et al. Experimental study on dual-parameter sensing based on cascaded Sagnac interferometers with two PANDA fibers[J]. Journal of Lightwave Technology, 2022, 40(9): 3090-3097. doi: 10.1109/JLT.2022.3145004
    [27] ZUO CH, WU K Y, SHI J H, et al. Sensitivity-enhanced temperature and strain sensor based on a UFPMF Sagnac loop cascaded with a SCMOF probe[J]. Sensors and Actuators A: Physical, 2023, 361: 114610. doi: 10.1016/j.sna.2023.114610
    [28] ZHAO Y F, DAI M L, CHEN ZH M, et al. Ultrasensitive temperature sensor with Vernier-effect improved fiber Michelson interferometer[J]. Optics Express, 2021, 29(2): 1090-1101. doi: 10.1364/OE.415857
    [29] SONG J, SUN S M, JIANG CH, et al. Ultra-sensitive temperature and pressure sensor based on PDMS-based FPI and Vernier effect[J]. Optics Letters, 2023, 48(7): 1674-1677. doi: 10.1364/OL.480506
    [30] TONG R J, XING B, CHEN Z H, et al. High-sensitivity fiber optic temperature sensor based on enhanced vernier effect[J]. IEEE Transactions on Instrumentation and Measurement, 2024, 73: 7003408.
    [31] FAN X Y, CHEN H L, ZHENG Y, et al. Ultrasensitive fiber-optic temperature sensor based on cascaded Sagnac interferometers with a nematic liquid crystal film[J]. Optics & Laser Technology, 2022, 152: 108169.
  • 加载中
图(12) / 表(1)
计量
  • 文章访问数:  576
  • HTML全文浏览量:  330
  • PDF下载量:  101
  • 被引次数: 0
出版历程
  • 收稿日期:  2025-04-14
  • 修回日期:  2025-04-27
  • 网络出版日期:  2025-07-09

目录

    /

    返回文章
    返回