留言板

尊敬的读者、作者、审稿人, 关于本刊的投稿、审稿、编辑和出版的任何问题, 您可以本页添加留言。我们将尽快给您答复。谢谢您的支持!

姓名
邮箱
手机号码
标题
留言内容
验证码

一维光子晶体缺陷腔堆叠的太赫兹吸收谱增强

徐泽堃 李向军 严德贤

徐泽堃, 李向军, 严德贤. 一维光子晶体缺陷腔堆叠的太赫兹吸收谱增强[J]. 中国光学(中英文). doi: 10.37188/CO.2025-0106
引用本文: 徐泽堃, 李向军, 严德贤. 一维光子晶体缺陷腔堆叠的太赫兹吸收谱增强[J]. 中国光学(中英文). doi: 10.37188/CO.2025-0106
XU Ze-kun, LI Xiang-jun, YAN De-xian. Enhancement of terahertz absorption spectrum by stacking one-dimensional photonic crystal defect cavities[J]. Chinese Optics. doi: 10.37188/CO.2025-0106
Citation: XU Ze-kun, LI Xiang-jun, YAN De-xian. Enhancement of terahertz absorption spectrum by stacking one-dimensional photonic crystal defect cavities[J]. Chinese Optics. doi: 10.37188/CO.2025-0106

一维光子晶体缺陷腔堆叠的太赫兹吸收谱增强

cstr: 32171.14.CO.2025-0106
基金项目: 浙江省公益技术研究工业项目(No. LTGN23C180003)
详细信息
    作者简介:

    徐泽堃(2001—),男,河北沧州人,硕士研究生,学生,主要从事太赫兹技术等方面的研究。E-mail:2320478943@qq.com

    严德贤(1991—),男,甘肃武威人,博士,副教授,研究生导师,2018年于天津大学获得博士学位,主要从事激光技术、太赫兹技术等方面的研究。E-mail:yandexain1991@163.com

  • 中图分类号: TP394.1;TH691.9

Enhancement of terahertz absorption spectrum by stacking one-dimensional photonic crystal defect cavities

Funds: Supported by Basic Public Welfare Research Project of Zhejiang Province (No. LTGN23C180003)
More Information
    Corresponding author: xxxxxx@xxx,xxx
  • 摘要:

    太赫兹(THz)光谱技术已证明在有机及生物大分子检测领域具有巨大应用价值。然而,传统样品压片法在实际痕量待测物检测中无法应用,需要额外结构增强待测物与太赫兹波的相互作用。为了解决该问题,本文提出一种一维光子晶体(One-dimensional photonic crystals,1D-PCs)缺陷腔堆叠的太赫兹吸收谱增强结构。该结构采用多层金属平行平板波导分隔一系列缺陷腔宽度不同的一维光子晶体,并将样品薄膜涂敷在贯穿所有缺陷腔的衬底上。入射的宽带太赫兹波可同时激发不同层内光子晶体缺陷腔对应的多个不同频率的谐振峰,通过连接这些共振吸收峰组成包络得到增强的待测物太赫兹吸收光谱。仿真结果表明,0.1 μm厚的α-乳糖样品在0.49~0.57 THz频段内可实现约303倍的吸收增强因子。该方法测量速度快,并且样品量用量小,为太赫兹吸收光谱应用于痕量分析物的高灵敏度检测提供了有效解决方案。

     

  • 图 1  一维光子晶体缺陷腔堆叠结构的(a)整体和(b)局部示意图。其中dtdadfdst∆uh分别表示硅层宽度、空气层宽度、缺陷腔宽度、Teflon衬底厚度、α-乳糖厚度、相邻两层缺陷腔在水平方向的间距和金属板厚度。详细的几何参数为:dt = 105 μm、da = 150 μm、df = 250~390 μm、ds = 10 μm、t = 0.1 μm、∆u = 5 μm、h = 5 μm

    Figure 1.  The overall (a) and partial (b) views of the stacked 1D photonic crystal defect cavities. Where dt, da, df, ds, t, ∆u, and h represent the width of silicon layers, the width of air layers, the width of the defect cavity, the thickness of the Teflon substrate, the thickness of α-lactose, horizontal spacing between adjacent defect cavity layers, and the thickness of metal plate, respectively. The detailed parameters are dt = 105 μm, da = 150 μm, df = 250-390 μm, ds = 10 μm, t = 0.1 μm, ∆u = 5 μm, h = 5 μm

    图 2  堆叠增强结构(a)~(c)未涂敷样品和(d)~(f)涂敷0.1 μm α-乳糖情况下,不同的堆叠层数M = 5、10和15所对应的透射谱

    Figure 2.  The transmission spectrum of the enhancing structure corresponding to different stacking layers M = 5, 10, and 15 coating (a)−(c) without a sample and (d)−(f) coating with 0.1 μm α-lactose

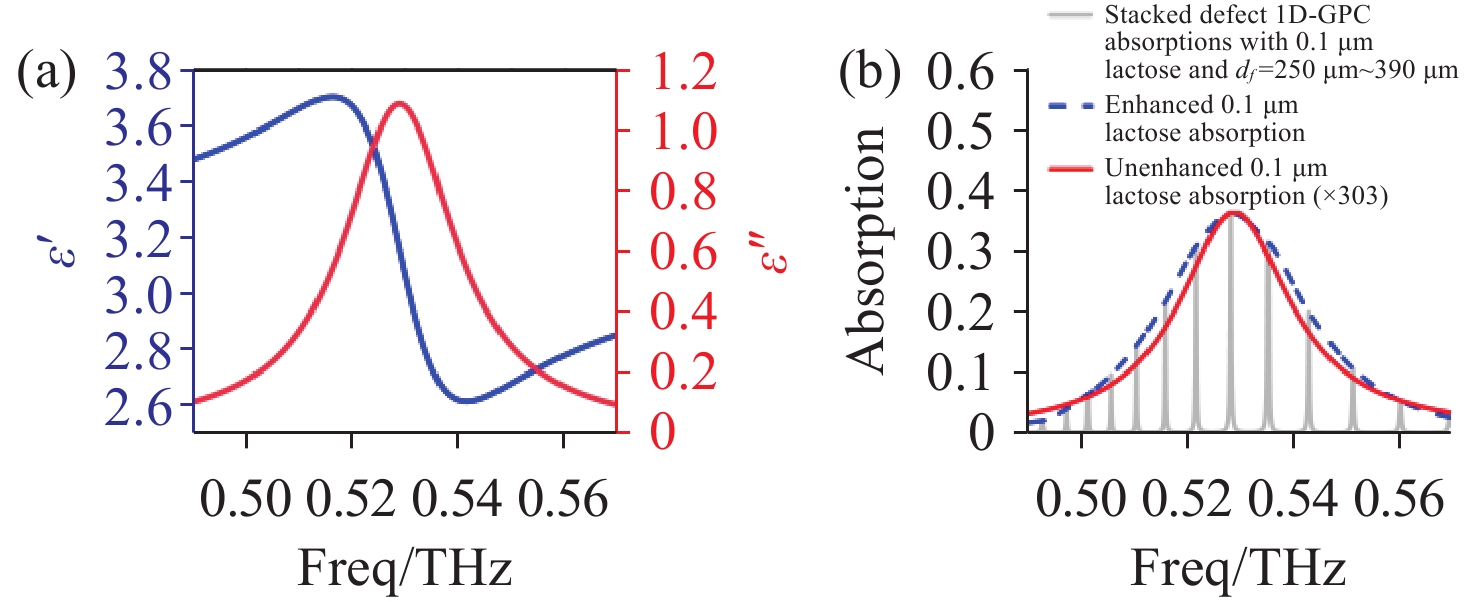
    图 3  (a)α-乳糖在0.49 ~ 0.57THz频带内对应介电常数的实部和虚部。(b)1D-PCs堆叠结构涂敷0.1 µm α-乳糖的增强吸收光谱和无支撑α-乳糖薄膜放大303倍的吸收谱

    Figure 3.  (a) The real and imaginary parts of the α-lactose dielectric constant at 0.49−0.57 THz. (b) The enhanced absorption spectra with 0.1 µm α-lactose coating under different defect cavity widths df, and the enhanced absorption spectrum of pure α-lactose film amplified by 303 times

    图 4  堆叠增强结构(a)未涂敷样品和(b)涂敷0.1 μm α-乳糖情况下增强吸收峰在样品特征频率附近的电场分布

    Figure 4.  The resonance electric field distribution of the stacked structure around the characteristic frequency of (a) without coating and (b) with a 0.1 μm α-lactose coating

    图 5  不同金属板材质和堆叠结构参数对增强吸收光谱的影响

    Figure 5.  The effect of different metal plate materials and stacking structure parameters on the enhanced absorption spectrum

    图 6  不同硅层数N对吸收增强因子的影响

    Figure 6.  The effect of the silicon layers N on the absorption enhancement factor

    图 7  金属板厚度h对吸收增强因子的影响

    Figure 7.  The effect of metal plate thickness h on the absorption enhancement factor

    图 8  α-乳糖厚度t对吸收增强因子的影响

    Figure 8.  The effect of the α-lactose thicknesses t on the absorption enhancement factor

    图 9  错位距离Δx对增强吸收光谱的影响

    Figure 9.  The effect of the misalignment distance Δx on the absorption enhancement factor

    表  1  本文设计的结构和现有吸收增强结构性能的比较

    Table  1.   Comparison of the absorption enhancement performance between the structure designed in this paper and existing structures

    Ref Cell Structure Analyte Multiplexing Mode Working Band Enhancement Factor
    [5] Dielectric metagrating ɑ-lactose(1 μm) Angle THz ~15 db
    [11] Dielectric metagrating hBN(0.34 nm) Angle Mid-infrared ~30 times
    [16] Metal groove array ɑ-lactose(0.1 μm) Geometry THz ~120 times
    [17] Dielectric Pair Pillars PMMA Geometry Mid-infrared ~60 times
    [27] Silicon 1D - PC ɑ-lactose(0.2 μm) Air gap THz ~55 times
    [28] Plastic 1D - PC ɑ-lactose(0.2 μm) Air gap THz ~105 times
    This work Defect cavities stacking ɑ-lactose(0.1 μm) Geometry THz ~330 times
    下载: 导出CSV
  • [1] ZHONG SH C. Progress in terahertz nondestructive testing: a review[J]. Frontiers of Mechanical Engineering, 2019, 14(3): 273-281. doi: 10.1007/s11465-018-0495-9
    [2] SHEN S L, LIU X D, SHEN Y CH, et al. Recent advances in the development of materials for terahertz metamaterial sensing[J]. Advanced Optical Materials, 2022, 10(1): 2101008. doi: 10.1002/adom.202101008
    [3] LEITENSTORFER A, MOSKALENKO A S, KAMPFRATH T, et al. The 2023 terahertz science and technology roadmap[J]. Journal of Physics D: Applied Physics, 2023, 56(22): 223001. doi: 10.1088/1361-6463/acbe4c
    [4] JIANG Y Y, LI G M, GE H Y, et al. Machine learning and application in terahertz technology: a review on achievements and future challenges[J]. IEEE Access, 2022, 10: 53761-53776. doi: 10.1109/ACCESS.2022.3174595
    [5] ZHU J F, JIANG SH, XIE Y N, et al. Enhancing terahertz molecular fingerprint detection by a dielectric metagrating[J]. Optics Letters, 2020, 45(8): 2335-2338. doi: 10.1364/OL.389045
    [6] XIE Y N, MA Y J, LIU X Y, et al. Dual-degree-of-freedom multiplexed metasensor based on quasi-BICs for boosting broadband trace isomer detection by THz molecular fingerprint[J]. IEEE Journal of Selected Topics in Quantum Electronics, 2023, 29(5: Terahertz Photonics): 8600110.
    [7] ABD EL-GHANY S E S, NOUMAN W M, MATAR Z S, et al. Optimized bio-photonic sensor using 1D-photonic crystals as a blood hemoglobin sensor[J]. Physica Scripta, 2020, 96(3): 035501. doi: 10.1088/1402-4896/abd49c
    [8] ZHANG J T, RAO S S, ZHANG H F. Dual-mode high-Q multiphysics sensor based on the evanescent wave in the InSb photonic crystals[J]. IEEE Sensors Journal, 2023, 23(3): 2346-2353. doi: 10.1109/JSEN.2022.3229320
    [9] 谢明真, 张阳, 府伟灵, 等. 基于太赫兹超材料的微流体折射率传感器[J]. 光谱学与光谱分析, 2021, 41(4): 1039-1043.

    XIE M ZH, ZHANG Y, FU W L, et al. Microfludic refractive index sensor based on terahertz metamaterials[J]. Spectroscopy and Spectral Analysis, 2021, 41(4): 1039-1043. (in Chinese).
    [10] KE L, WU Q Y S, ZHANG N, et al. Ex vivo sensing and imaging of corneal scar tissues using terahertz time domain spectroscopy[J]. Spectrochimica Acta Part A: Molecular and Biomolecular Spectroscopy, 2021, 255: 119667.
    [11] XIE Y N, LIU X Y, LI F J, et al. Ultra-wideband enhancement on mid-infrared fingerprint sensing for 2D materials and analytes of monolayers by a metagrating[J]. Nanophotonics, 2020, 9(9): 2927-2935. doi: 10.1515/nanoph-2020-0180
    [12] LI X J, NIE L, WU H, et al. Enhancing THz fingerprint detection by the stretchable substrate with a dielectric metagrating[J]. Applied Optics, 2023, 62(34): 9028-9035. doi: 10.1364/AO.501933
    [13] DING SH, OU J Y, DU L H, et al. Enhancing ultra-wideband THz fingerprint sensing of unpatterned 2D carbon-based nanomaterials[J]. Carbon, 2021, 179: 666-676. doi: 10.1016/j.carbon.2021.04.084
    [14] LI X J, MA CH, YAN D X, et al. Enhanced trace-amount terahertz vibrational absorption spectroscopy using surface spoof polarization in metasurface structures[J]. Optics Letters, 2022, 47(10): 2446-2449. doi: 10.1364/OL.452131
    [15] LI X J, YANG J, YAN D X, et al. Highly enhanced trace amount terahertz fingerprint spectroscopy by multiplexing surface spoof Plasmon metasurfaces in a single layer[J]. Optics Communications, 2022, 525: 128777. doi: 10.1016/j.optcom.2022.128777
    [16] ZHU J X, LI X J, YAN D X, et al. Parameter multiplexing-based terahertz enhanced absorption spectra using ultrathin metal groove array[J]. Plasmonics, 2024, 19(6): 3359-3366. doi: 10.1007/s11468-024-02250-3
    [17] TITTL A, LEITIS A, LIU M K, et al. Imaging-based molecular barcoding with pixelated dielectric metasurfaces[J]. Science, 2018, 360(6393): 1105-1109. doi: 10.1126/science.aas9768
    [18] LIU X Y, CHEN W, MA Y J, et al. Enhancing THz fingerprint detection on the planar surface of an inverted dielectric metagrating[J]. Photonics Research, 2022, 10(12): 2836-2845. doi: 10.1364/PRJ.472114
    [19] LI X J, WU H, YAN D X, et al. Enhancement of the terahertz absorption spectroscopy based on the stretchable dielectric metasurface[J]. Applied Physics A, 2024, 130(1): 50. doi: 10.1007/s00339-023-07205-9
    [20] WANG Y, ZHANG X J, ZHOU T, et al. Properties and sensing performance of THz metasurface based on carbon nanotube and microfluidic channel[J]. Frontiers in Physics, 2021, 9: 749501. doi: 10.3389/fphy.2021.749501
    [21] YAN D X, FENG Q Y, YANG J, et al. Boosting the terahertz absorption spectroscopy based on the stretchable metasurface[J]. Physical Chemistry Chemical Physics, 2023, 25(1): 612-616. doi: 10.1039/D2CP04618K
    [22] LEITIS A, TITTL A, LIU M K, et al. Angle-multiplexed all-dielectric metasurfaces for broadband molecular fingerprint retrieval[J]. Science Advances, 2019, 5(5): eaaw2871. doi: 10.1126/sciadv.aaw2871
    [23] 李向军, 马婵, 严德贤, 等. 基于介质超表面角度复用的太赫兹增强吸收谱[J]. 中国光学(中英文), 2022, 15(4): 731-739. doi: 10.37188/CO.2021-0197

    LI X J, MA CH, YAN D X, et al. Enhancement of terahertz absorption spectrum based on the angle multiplexing of the dielectric metasurface[J]. Chinese Optics, 2022, 15(4): 731-739. (in Chinese). doi: 10.37188/CO.2021-0197
    [24] LIU P A, LI W P, CHEN N CH, et al. Enhancing the terahertz absorption spectrum based on the low refractive index all-dielectric metasurface[J]. Photonics, 2022, 9(11): 848. (查阅网上资料, 请确认标黄作者是否正确).
    [25] XU J J, LIAO D G, GUPTA M, et al. Terahertz microfluidic sensing with dual-torus toroidal metasurfaces[J]. Advanced Optical Materials, 2021, 9(15): 2100024. doi: 10.1002/adom.202100024
    [26] SHI X M, HAN ZH H. Enhanced terahertz fingerprint detection with ultrahigh sensitivity using the cavity defect modes[J]. Scientific Reports, 2017, 7(1): 13147. doi: 10.1038/s41598-017-13612-9
    [27] YAN D X, WANG Z H, LI X J, et al. Highly boosted trace-amount terahertz vibrational absorption spectroscopy based on defect one-dimensional photonic crystal[J]. Optics Letters, 2023, 48(7): 1654-1657. doi: 10.1364/OL.486433
    [28] LI X J, DING D, YAN D X, et al. Boosting of the terahertz absorption spectrum based on one-dimensional plastic photonic crystals[J]. Physical Chemistry Chemical Physics, 2023, 25(32): 21324-21330. doi: 10.1039/D3CP02809G
    [29] 白乙艳, 王晨阳, 谈颖, 等. 基于单颗粒碰撞电分析化学双模表征银包金核壳纳米材料的合成过程[J]. 分析化学, 2024, 52(12): 1823-1833.

    BAI Y Y, WANG CH Y, TAN Y, et al. Single nanoparticle collision electrochemistry for dual-mode characterization of synthesis process of silver-coated gold core-shell nanomaterials[J]. Chinese Journal of Analytical Chemistry, 2024, 52(12): 1823-1833. (in Chinese).
    [30] SOMMER S, RAIDT T, FISCHER B M, et al. THz-spectroscopy on high density polyethylene with different crystallinity[J]. Journal of Infrared, Millimeter, and Terahertz Waves, 2016, 37(2): 189-197. doi: 10.1007/s10762-015-0219-8
    [31] 王萍, 侯林艳, 张叶青. 应用化学教学在现代教育教具与实验设备中的创新应用[J]. 应用化学, 2025, 42(2): 283-284.

    WANG P, HOU L Y, ZHANG Y Q. Innovative application of applied chemistry teaching in modern educational teaching aids and experimental equipment[J]. Chinese Journal of Applied Chemistry, 2025, 42(2): 283-284. (in Chinese)(查阅网上资料, 未找到本条文献英文翻译, 请确认).
    [32] 陈宪锋, 蒋美萍, 沈小明, 等. 一维多缺陷光子晶体的缺陷模[J]. 物理学报, 2008, 57(9): 5709-5712. doi: 10.7498/aps.57.5709

    CHEN X F, JIANG M P, SHEN X M, et al. The defect modes in one-dimensional photonic crystal with multiple defects[J]. Acta Physica Sinica, 2008, 57(9): 5709-5712. (in Chinese). doi: 10.7498/aps.57.5709
  • 加载中
图(9) / 表(1)
计量
  • 文章访问数:  89
  • HTML全文浏览量:  45
  • PDF下载量:  0
  • 被引次数: 0
出版历程
  • 网络出版日期:  2025-10-13

目录

    /

    返回文章
    返回