留言板

尊敬的读者、作者、审稿人, 关于本刊的投稿、审稿、编辑和出版的任何问题, 您可以本页添加留言。我们将尽快给您答复。谢谢您的支持!

姓名
邮箱
手机号码
标题
留言内容
验证码

Mie-T矩阵耦合的沙尘多次散射效应表征与Monte Carlo验证

汤牧云 朝克夫 华文成 崔存森

汤牧云, 朝克夫, 华文成, 崔存森. Mie-T矩阵耦合的沙尘多次散射效应表征与Monte Carlo验证[J]. 中国光学(中英文). doi: 10.37188/CO.2025-0126
引用本文: 汤牧云, 朝克夫, 华文成, 崔存森. Mie-T矩阵耦合的沙尘多次散射效应表征与Monte Carlo验证[J]. 中国光学(中英文). doi: 10.37188/CO.2025-0126
TANG Mu-yun, CHAO Ke-fu, HUA Wen-cheng, CUI Cun-sen. Characterization of multiple scattering effects in dust particles via Mie-T-Matrix coupling and Monte Carlo verification[J]. Chinese Optics. doi: 10.37188/CO.2025-0126
Citation: TANG Mu-yun, CHAO Ke-fu, HUA Wen-cheng, CUI Cun-sen. Characterization of multiple scattering effects in dust particles via Mie-T-Matrix coupling and Monte Carlo verification[J]. Chinese Optics. doi: 10.37188/CO.2025-0126

Mie-T矩阵耦合的沙尘多次散射效应表征与Monte Carlo验证

cstr: 32171.14.CO.2025-0126
基金项目: 国家自然科学基金(No. 12164034),鄂尔多斯市重点研发计划(No. YF20240032)
详细信息
    作者简介:

    朝克夫(1979—),男(蒙古族),内蒙古锡林郭勒人,博士,2007年于中国科学院长春光学精密机械与物理研究所获得博士学位,主要从事稀土掺杂微纳米发光材料,LED显示和照明研究。 E-mail:phyerick@imnu.edu.cn

  • 中图分类号: TP394.1;TH691.9

Characterization of multiple scattering effects in dust particles via Mie-T-Matrix coupling and Monte Carlo verification

Funds: Supported by National Natural Science Foundation of China (No. 12164034); Key Research and Development Program of Ordos (No. YF20240032)
More Information
  • 摘要:

    为精确量化沙尘天气对城市光电系统可见光传输的衰减影响,本研究以呼和浩特地区为例,构建了融合非球形粒子修正的光传输预测模型。基于Mie散射理论,结合本地沙尘样品的扫描电镜与能谱分析数据,计算三基色红绿蓝波段的沙尘粒子消光特性;进而采用T矩阵法对非球形粒子的散射参数进行修正,并利用Monte Carlo方法模拟光子的多次散射过程,系统比较单次与多次散射模型下的衰减率差异。结果表明,单次散射模型会系统性高估衰减率,蓝光波段最大误差达18.3%;经多次散射修正后,衰减率平均降低12.4%。在本例中,能见度为400 m,蓝光衰减率约为95 dB/km,显著高于红光的衰减率(约70 dB/km);本研究构建的混合模型显著提升了沙尘环境下可见光衰减的预测精度,明确多次散射效应的关键影响,为城市光电系统在沙尘天气下的可见光传输提供了可靠的理论依据与数据支持。

     

  • 图 1  呼和浩特地区沙尘颗粒的扫描电镜图像。(a) 50.0 k倍率单个沙尘粒子;(b) 30.0 k倍率单个沙尘粒子;(c) 50.0 k倍率单个沙尘粒子;(d) 20.0 k倍率群沙尘粒子

    Figure 1.  Scanning electron microscopy images of dust particles from the Hohhot region. (a) Individual dust particle at 50.0k magnification; (b) Individual dust particle at 30.0 k magnification; (c) Individual dust particle at 50.0 k magnification; (d) Group of dust particles at 20.0 k magnification

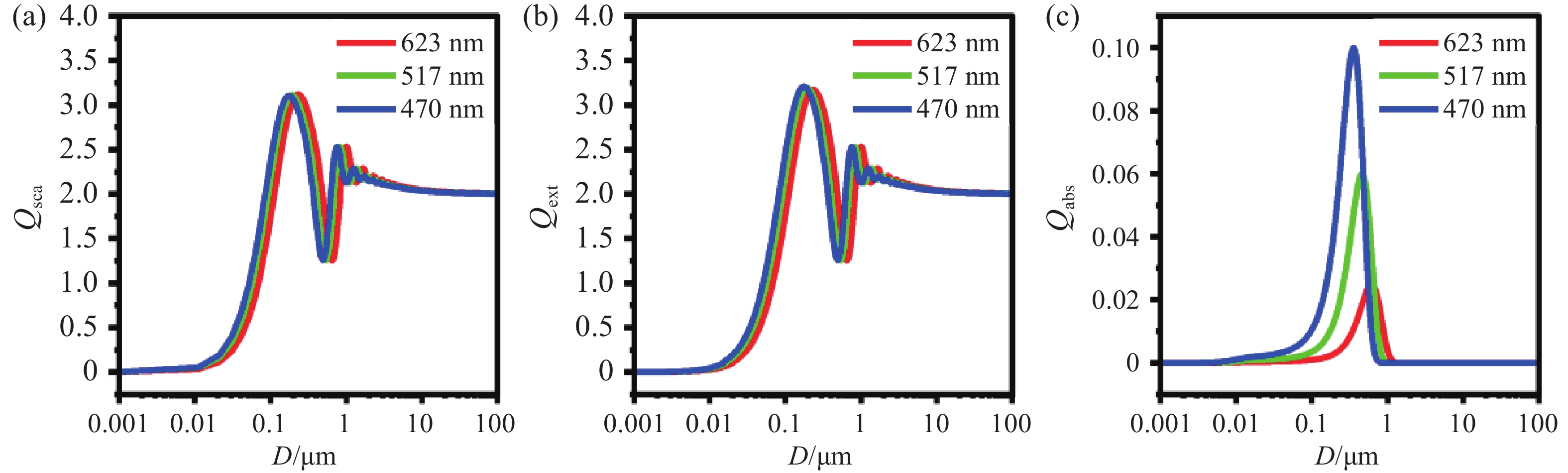
    图 2  RGB波段下的各效率因子随沙尘颗粒粒径的变化情况。(a) Qsat、(b) Qext、(c) Qabs与沙尘颗粒粒径的变化关系图

    Figure 2.  Variation of the efficiency factors with dust particle size in the RGB Bands. (a) Qsat, (b) Qext, (c) Qabs versus dust particle size

    图 3  不同粒径沙尘粒子在RGB波段下的归一化散射相函数。(a) 470 nm波长相位图;(b) 517 nm波长相位图;(c) 623 nm波长相位图

    Figure 3.  Normalized scattering phase functions of dust particles with different sizes in the RGB bands. Scattering phase function at (a) 470 nm; (b) 517 nm; (c) 623 nm

    图 4  RGB波段下的单次散射和多重散射的衰减率与可见度关系

    Figure 4.  The relationship between attenuation rate and visibility for single and multiple scattering under RGB Bands

    图 5  RGB波段下的单次散射(S)和多重散射(M)的衰减率与可见度关系

    Figure 5.  The relationship between the attenuation rate and visibility for single (S) and multiple (M) scattering under RGB Bands

    图 6  沙尘天气可见光传输衰减研究的流程图

    Figure 6.  Flowchart of Visible Light Transmission-Attenuation in Dust Weather

    表  1  EDS分析沙尘样本元素组成

    Table  1.   EDS analysis of the elemental composition of the dust sample

    元素wt%$ {\sigma }_{\text{1}} $
    O58.910.08
    Si29.820.07
    Al6.100.03
    Fe2.560.04
    Ca1.730.02
    K0.890.02
    下载: 导出CSV

    表  2  不同光学能见度下的消光参量

    Table  2.   Extinction parameter as a function of optical visibility

    光学
    能见度
    红光(623 nm)
    $ \mu $ $ { \omega } $ $ {g} $
    1000 0.055 0.872 0.743
    800 0.069 0.867 0.739
    600 0.092 0.861 0.734
    400 0.138 0.852 0.728
    光学
    能见度
    绿光(517nm)
    $ \mu $ $ { \omega } $ $ {g} $
    1000 0.065 0.858 0.772
    800 0.082 0.853 0.768
    600 0.109 0.846 0.763
    400 0.163 0.837 0.756
    光学
    能见度
    蓝光(470 nm)
    $ \mu $ $ { \omega } $ $ {g} $
    1000 0.075 0.840 0.802
    800 0.094 0.834 0.798
    600 0.125 0.827 0.793
    400 0.187 0.817 0.786
    下载: 导出CSV
  • [1] MEZAAL M T, ARIPIN N B M, OTHMAN N S, et al. Empirical modelling of dust storm path attenuation for 5G mmWave[J]. Results in Engineering, 2024, 22: 102092. doi: 10.1016/j.rineng.2024.102092
    [2] 饶瑞中. 现代大气光学及其应用[J]. 大气与环境光学学报, 2006, 1(1): 2-13.

    RAO R ZH. Modern atmospheric optics and its applications[J]. Journal of Atmospheric and Environmental Optics, 2006, 1(1): 2-13. (in Chinese).
    [3] 汪杰君, 刘小燕, 张玉婷, 等. 偏振光在气溶胶中的传输特性研究[J]. 激光与光电子学进展, 2018, 55(8): 080103. doi: 10.3788/LOP55.080103

    WANG J J, LIU X Y, ZHANG Y T, et al. Transmission characteristics of polarized light in aerosol[J]. Laser & Optoelectronics Progress, 2018, 55(8): 080103. (in Chinese). doi: 10.3788/LOP55.080103
    [4] 高晶, 陈金琪, 石茹琳, 等. 近23 a中国北方强沙尘暴时空分布特征及环流分析[J]. 山地气象学报, 2025, 49(3): 93-98. doi: 10.3969/j.issn.1003-6598.2025.03.012

    GAO J, CHEN J Q, SHI R L, et al. Spatio-temporal distribution characteristics and circulation analysis of strong sandstorms in northern China in the nearly 23 years[J]. Journal of Mountain Meteorology, 2025, 49(3): 93-98. (in Chinese). doi: 10.3969/j.issn.1003-6598.2025.03.012
    [5] 王志楠, 王萌萌, 朱嘉毅. 呼和浩特市沙尘天气预报指标分析[J]. 内蒙古科技与经济, 2025(1): 117-120,129.

    WANG ZH N, WANG M M, ZHU J Y. Analysis of forecast indicators for sand-dust weather in Hohhot City[J]. Inner Mongolia Science Technology & Economy, 2025(1): 117-120,129. (in Chinese)
    [6] MÜLLER T, SCHLADITZ A, MASSLING A, et al. Spectral absorption coefficients and imaginary parts of refractive indices of Saharan dust during SAMUM-1[J]. Tellus B: Chemical and Physical Meteorology, 2009, 61(1): 79-95. doi: 10.1111/j.1600-0889.2008.00399.x
    [7] WAGNER R, AJTAI T, KANDLER K, et al. Complex refractive indices of Saharan dust samples at visible and near UV wavelengths: a laboratory study[J]. Atmospheric Chemistry and Physics, 2012, 12(5): 2491-2512. doi: 10.5194/acp-12-2491-2012
    [8] 李学彬, 徐青山, 魏合理, 等. 1次沙尘暴天气的消光特性研究[J]. 激光技术, 2008, 32(6): 566-567,575.

    LI X B, XU Q SH, WEI H L, et al. Extinction character of one sand and dust blowing[J]. Laser Technology, 2008, 32(6): 566-567,575. (in Chinese).
    [9] 冯倩, 邹斌, 赵崴. 可见光波段非球形沙尘气溶胶散射和辐射特性的理论模拟[J]. 大气与环境光学学报, 2015, 10(1): 1-10. doi: 10.3969/j.issn.1673-6141.2015.01.001

    FENG Q, ZOU B, ZHAO W. Theoretical simulation of scattering and radiative properties of nonspherical dust aerosols at visible wavelength[J]. Journal of Atmospheric and Environmental Optics, 2015, 10(1): 1-10. (in Chinese). doi: 10.3969/j.issn.1673-6141.2015.01.001
    [10] 李曙光, 刘晓东, 侯蓝田, 等. 沙尘暴对大气能见度影响的数值模拟与分析[J]. 应用激光, 2003, 23(2): 87-90. doi: 10.3969/j.issn.1000-372X.2003.02.008

    LI SH G, LIU X D, HOU L T, et al. Theoretical calculation about influence of sand storm on atmospheric visibility[J]. Applied Laser, 2003, 23(2): 87-90. (in Chinese). doi: 10.3969/j.issn.1000-372X.2003.02.008
    [11] 孙琦云, 徐军, 高旸, 等. 可见光在不同类型气溶胶中的传输特性[J]. 激光与光电子学进展, 2018, 55(11): 110103. doi: 10.3788/LOP55.110103

    SUN Q Y, XU J, GAO Y, et al. Transmission characteristics of visible light in different types of aerosols[J]. Laser & Optoelectronics Progress, 2018, 55(11): 110103. (in Chinese). doi: 10.3788/LOP55.110103
    [12] 王惠琴, 王彦刚, 曹明华, 等. 沙尘天气下大气能见度对激光光强的影响[J]. 光子学报, 2015, 44(2): 0229001. doi: 10.3788/gzxb20154402.0229001

    WANG H Q, WANG Y G, CAO M H, et al. Impact of atmospheric visibility on laser intensity in sand and dust weather[J]. Acta Photonica Sinica, 2015, 44(2): 0229001. (in Chinese). doi: 10.3788/gzxb20154402.0229001
    [13] 徐强, 王东琴, 吴振森. 大气灰霾高浓度气溶胶光学散射传输特性研究进展[J]. 大气与环境光学学报, 2015, 10(6): 437-444. doi: 10.3969/j.issn.1673-6141.2015.06.001

    XU Q, WANG D Q, WU ZH S. Research progress of optical scattering transmission properties of haze and other high concentration of atmospheric aerosol[J]. Journal of Atmospheric and Environmental Optics, 2015, 10(6): 437-444. (in Chinese). doi: 10.3969/j.issn.1673-6141.2015.06.001
    [14] MA O J, TIAN Y L, REN Y ZH, et al. Long-term (2017-2020) aerosol optical depth observations in Hohhot city in Mongolian plateau and the impacts from different types of aerosol[J]. Atmosphere, 2022, 13(5): 737. doi: 10.3390/atmos13050737
    [15] AHMED A S. Role of particle-size distributions on millimetre-wave propagation in sand/dust storms[J]. IEE Proceedings H (Microwaves, Antennas and Propagation), 1987, 134(1): 55-59. doi: 10.1049/ip-h-2.1987.0011
    [16] 王鹏程, 张肃, 申成彪, 等. 偏振光在椭球细粒子中多次散射传输特性[J]. 中国光学(中英文), 2023, 16(2): 348-357. doi: 10.37188/CO.2022-0144

    WANG P CH, ZHANG S, SHEN CH B, et al. Multiple scattering transmission characteristic of polarized light in ellipsoidal fine particles[J]. Chinese Optics, 2023, 16(2): 348-357. (in Chinese). doi: 10.37188/CO.2022-0144
    [17] 宗思光, 张鑫, 杨劭鹏, 等. 舰船尾流气泡目标激光后向散射特性研究[J]. 中国光学(中英文), 2023, 16(6): 1333-1342.

    ZONG S G, ZHANG X, YANG S P, et al. Laser backscattering characteristics of ship wake bubble targets[J]. Chinese Journal of Optics, 2023, 16(6): 1333-1342. (in Chinese).
    [18] 陈洁, 童奕澄, 肖达, 等. 大气气溶胶消光后向散射比反演方法研究[J]. 中国光学(中英文), 2021, 14(6): 1305-1316.

    CHEN J, TONG Y C, XIAO D, et al. Retrieval method of extinction-to-backscatter ratio for atmospheric aerosols[J]. Chinese Journal of Optics, 2021, 14(6): 1305-1316. (in Chinese).
    [19] BI L, YANG P, KATTAWAR G W, et al. Efficient implementation of the invariant imbedding T-matrix method and the separation of variables method applied to large nonspherical inhomogeneous particles[J]. Journal of Quantitative Spectroscopy and Radiative Transfer, 2013, 116: 169-183. doi: 10.1016/j.jqsrt.2012.11.014
    [20] PAN H L, HUANG J, KUMAR K R, et al. The CALIPSO retrieved spatiotemporal and vertical distributions of AOD and extinction coefficient for different aerosol types during 2007-2019: a recent perspective over global and regional scales[J]. Atmospheric Environment, 2022, 274: 118986. doi: 10.1016/j.atmosenv.2022.118986
    [21] BI L, YANG P. Accurate simulation of the optical properties of atmospheric ice crystals with the invariant imbedding T-matrix method[J]. Journal of Quantitative Spectroscopy and Radiative Transfer, 2014, 138: 17-35. doi: 10.1016/j.jqsrt.2014.01.013
    [22] LODGE M G, WAKEFORD H R, LEINHARDT Z M. Aerosols are not spherical cows: using discrete dipole approximation to model the properties of fractal particles[J]. Monthly Notices of the Royal Astronomical Society, 2024, 527(4): 11113-11137.
    [23] 何欣波, 魏兵. 基于悬挂变量的显式无条件稳定时域有限差分亚网格算法[J]. 物理学报, 2024, 73(8): 080202. doi: 10.7498/aps.73.20231813

    HE X B, WEI B. Explicit and unconditionally stable finite-difference time-domain subgridding algorithm based on hanging variables[J]. Acta Physica Sinica, 2024, 73(8): 080202. (in Chinese). doi: 10.7498/aps.73.20231813
    [24] 郭旭, 胡春晖, 颜昌翔, 等. 基于蒙特卡罗法的星载太阳辐照度光谱仪对日指向误差分析[J]. 光学精密工程, 2021, 29(3): 474-483.

    GUO X, HU C H, YAN C X, et al. Analysis of sun-pointing error for spaceborne solar irradiance spectrometer based on Monte Carlo method[J]. Optics and Precision Engineering, 2021, 29(3): 474-483. (in Chinese).
    [25] 张合勇, 王挺峰, 邵俊峰, 等. 基于Mie散射的CO2激光大气传输特性测量[J]. 中国光学与应用光学, 2010, 3(4): 353-362. doi: 10.3969/j.issn.2095-1531.2010.04.008

    ZHANG H Y, WANG T F, SHAO J F, et al. Measurement of CO2 laser atmospheric transmission property based on Mie scattering[J]. Chinese Journal of Optics and Applied Optics, 2010, 3(4): 353-362. (in Chinese). doi: 10.3969/j.issn.2095-1531.2010.04.008
    [26] 王鹏程, 张肃, 申成彪, 等. 偏振光在椭球细粒子中多次散射传输特性[J]. 中国光学(中英文), 2023, 16(02): 348-357.

    WANG P C, ZHANG S, SHEN C B, et al. Multiple scattering transmission characteristics of polarized light in ellipsoidal fine particles[J]. Chinese Journal of Optics, 2023, 16(02): 348-357. (in Chinese).
    [27] 陈鹏, 赵继广, 杜小平, 等. 基于粒子群优化的近似散射相函数拟合方法[J]. 红外与激光工程, 2019, 48(12): 120300.

    CHEN P, ZHAO J G, DU X P, et al. Approximate scattering phase function fitting method based on particle swarm optimization[J]. Infrared and Laser Engineering, 2019, 48(12): 120300. (in Chinese).
  • 加载中
图(6) / 表(2)
计量
  • 文章访问数:  72
  • HTML全文浏览量:  51
  • PDF下载量:  2
  • 被引次数: 0
出版历程
  • 收稿日期:  2025-09-30
  • 录用日期:  2025-11-26
  • 网络出版日期:  2025-12-03

目录

    /

    返回文章
    返回