留言板

尊敬的读者、作者、审稿人, 关于本刊的投稿、审稿、编辑和出版的任何问题, 您可以本页添加留言。我们将尽快给您答复。谢谢您的支持!

姓名
邮箱
手机号码
标题
留言内容
验证码

全石英光纤法布里-珀罗高温振动传感器

赵祺瑞 刘乙辉 王铧瑞 任乾钰 贾平岗

赵祺瑞, 刘乙辉, 王铧瑞, 任乾钰, 贾平岗. 全石英光纤法布里-珀罗高温振动传感器[J]. 中国光学(中英文). doi: 10.37188/CO.2026-0018
引用本文: 赵祺瑞, 刘乙辉, 王铧瑞, 任乾钰, 贾平岗. 全石英光纤法布里-珀罗高温振动传感器[J]. 中国光学(中英文). doi: 10.37188/CO.2026-0018
ZHAO Qi-Rui, LIU Yi-hui, WANG Hua-rui, REN Qian-yu, JIA Ping-gang. Research on all-silica fiber-optic fabry-perot high-temperature vibration sensor[J]. Chinese Optics. doi: 10.37188/CO.2026-0018
Citation: ZHAO Qi-Rui, LIU Yi-hui, WANG Hua-rui, REN Qian-yu, JIA Ping-gang. Research on all-silica fiber-optic fabry-perot high-temperature vibration sensor[J]. Chinese Optics. doi: 10.37188/CO.2026-0018

全石英光纤法布里-珀罗高温振动传感器

cstr: 32171.14.CO.2026-0018
基金项目: 国家自然科学基金(No. 52505617);山西省青年科学基金(No. 202303021212192)
详细信息
    作者简介:

    贾平岗(1982—),男,陕西宝鸡人,博士,教授,博士生导师,主要从事极端环境光纤传感技术研究。主要学习经历:2006年7月毕业于中国矿业大学理学院获应用物理学学士学位;2013年6月毕业于重庆大学光电工程学院获仪器科学与技术博士学位;2013年9月开始工作于中北大学仪器与电子学院;2022年9月开始工作于中北大学半导体与物理学院。E-mail:pgjia@nuc.edu.cn

  • 中图分类号: TP212

Research on all-silica fiber-optic fabry-perot high-temperature vibration sensor

Funds: Supported by National Natural Science Foundation of China (No. 52505617); Shanxi Province Science Foundation for Youths (No. 202303021212192)
More Information
  • 摘要:

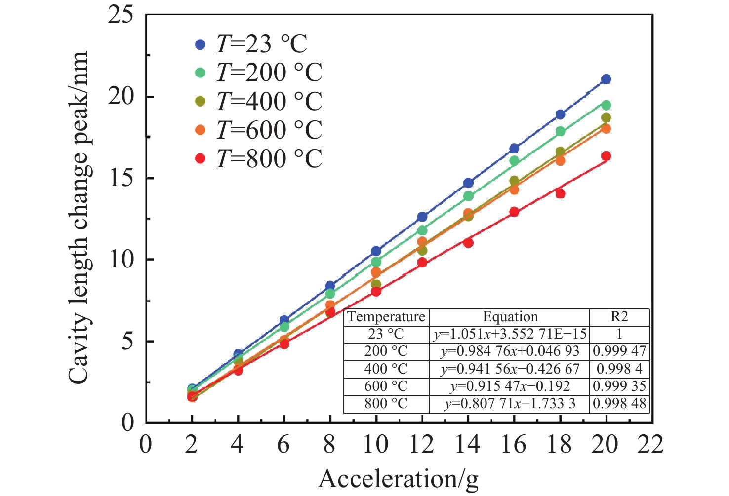
    针对高温环境下振动监测面临的传感器失效与信号失真问题,本文提出了一种全石英光纤法布里-珀罗高温振动传感器。设计了基于石英球透镜的准直耦合结构,实现了光纤与高温区振动敏感结构的一体化集成。利用微机电系统(MEMS)加工技术与热压键合技术实现传感器敏感单元批量化制备。采用三波长动态解调与光谱互相关解调相结合的方法,实现了对高温环境下振动信号的提取和温度补偿,消除了温度波动对振动灵敏度的干扰。实验结果表明,从室温(23 °C)至800 °C,传感器的灵敏度由1.051 nm/g降低到0.8915 nm/g;经温度补偿后,传感器的残差平方和最大为0.168,全量程误非线性误差不大于1.033%;在动态响应测试中,该传感器的特征频率远高于6000 Hz,在100−2000 Hz的频率响应范围内表现出较高的平坦度,其灵敏度在20006000 Hz之间逐渐增加,最大增量仅为0.177 nm/g。此外,传感器具有高一致性、全无胶化集成、抗电磁干扰等优点,为高温环境下的振动测量提供了一种新的解决思路,在高温振动领域具有广泛的应用前景。

     

  • 图 1  (a)振动传感器的结构示意图;(b)“梁-质量块”的结构模型图;(c)双FP腔的干涉模型

    Figure 1.  (a) Schematic diagram of the vibration sensor; (b) "Structural model of beam-mass block"; (c) Interference model of the dual FP cavities

    图 2  (a)干法刻蚀制备振动法珀腔;(b)飞秒激光粗糙化处理及芯片直接键合流程;(c)传感器芯片制备及实物图

    Figure 2.  (a) Fabrication of vibrating FP cavity by dry etching; (b) Process of femtosecond laser roughening and direct chip bonding; (c) Preparation of sensor chip and its physical image

    图 3  高温振动复合测试系统

    Figure 3.  High-temperature vibration combined testing system

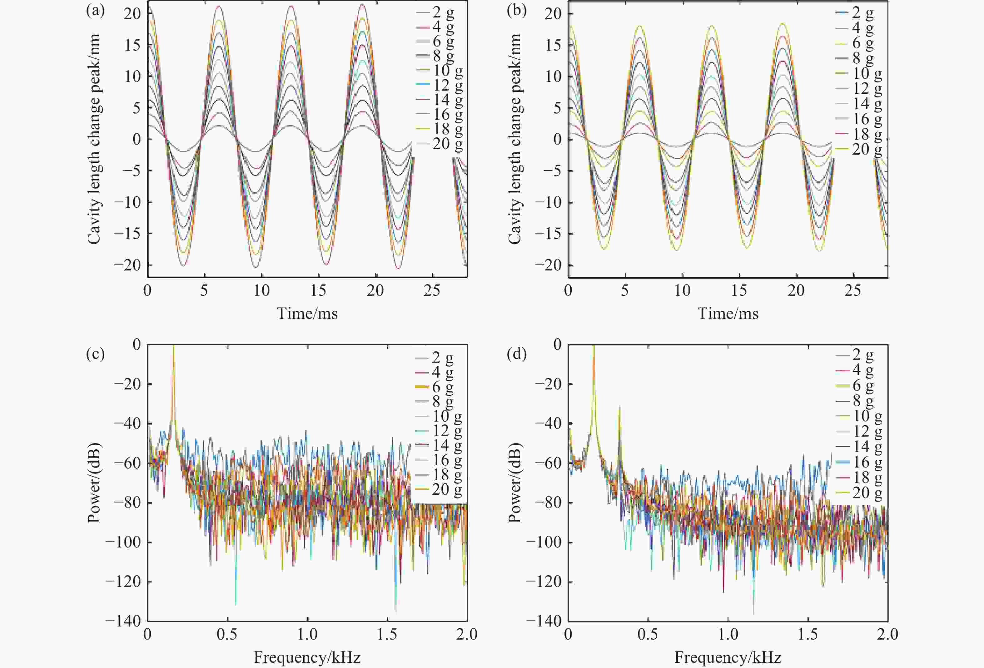
    图 4  (a) 23 °C下的时域响应;(b) 800 °C下的时域响应;(c) 23 °C下的频率响应;(d) 800 °C下的频率响应

    Figure 4.  (a) Time-domain response at 23 °C; (b) Time-domain response at 800 °C; (c)Frequency response at 23 °C; (d)Frequency response at 800 °C

    图 5  不同温度下的腔长变化量

    Figure 5.  variation of cavity length at different temperatures

    图 7  振动腔初始腔长和温度腔腔长随温度变化曲线

    Figure 7.  Variation of Initial Vibration-Cavity Length and Temperature-Cavity Length with Temperature

    图 6  不同温度下的灵敏度

    Figure 6.  The sensitivity at different temperatures

    图 8  振动腔初始腔长和温度腔腔长拟合残差分析图

    Figure 8.  Vibration initial cavity length and cavity temperature chamber cavity length fitting residual analysis diagram

    图 9  温度补偿后加速度的测量值与实际值的线性拟合

    Figure 9.  Linear Fit of Measured versus Actual Acceleration after Temperature Compensation

    图 10  不同频率下的传感器灵敏度变化

    Figure 10.  Sensor sensitivity variation at different frequencies

    表  1  敏感单元的结构参数

    Table  1.   Structural Parameters of the Sensitive Unit

    Parameters Symbol Value
    Length of the beam $ {l}_{1} $ 0.9 mm
    Length of the beam $ {l}_{2} $ 3.3 mm
    Width of the beam $ b $ 0.3 mm
    Thickness of the beam $ h $ 0.3 mm
    Density of $ {\mathrm{SiO}}_{2} $ $ \rho $ 2650 kg·m−3
    Young's modulus of $ {\mathrm{SiO}}_{2} $ $ E $ 73.1 GPa
    Sensitivity $ S $ 1.374 nm/g
    Frequence $ f $ 16100 Hz
    下载: 导出CSV

    表  2  不同的高温F-P振动传感器的特性

    Table  2.   Characteristics of several high-temperature F-P vibration sensors.

    Signal Transmission Method
    (in High-Temperature Area)
    Packaging
    Method
    The Highest Working
    Temperature ( °C)
    Sensitivity
    [13] Reflector and sphere lens Mechanical coupling 500 7.69 nm/g
    [15] Sapphire optical fiber Heat-resistant inorganic adhesives 1200 17.86 mV/g
    [17] Quartz optical fiber Ceramic glue 1000 0.0073 rad/g
    [20] Gold-plated FBG Laser welding 800 0.0093 rad/g
    this work Gold-plated optical fiber and Silicon ball lens Mechanical coupling 800 1.051 nm/g
    下载: 导出CSV
  • [1] WU D F, LIN L J, REN H Y. Thermal/vibration joint experimental investigation on lightweight ceramic insulating material for hypersonic vehicles in extremely high-temperature environment up to 1500 °C[J]. Ceramics International, 2020, 46(10): 14439-14447. doi: 10.1016/j.ceramint.2020.02.241
    [2] MILLS A R, KADIRKAMANATHAN V. Sensing for aerospace combustor health monitoring[J]. Aircraft Engineering and Aerospace Technology: An International Journal, 2020, 92(1): 37-46. doi: 10.1108/aeat-11-2018-0283
    [3] RATH N, MISHRA R K, KUSHARI A. Aero engine health monitoring, diagnostics and prognostics for condition-based maintenance: an overview[J]. International Journal of Turbo & Jet-Engines, 2023, 40(s1): s279-s292. doi: 10.1515/tjj-2022-0020
    [4] 魏象锋. 柔性压电传感器设计与振动监测应用研究[D]. 武汉: 武汉工程大学, 2025.

    Wei X F. The design of flexible piezoelectric sensor and application research of vibration monitoring[D]. Wuhan: Wuhan Institute of Technology, 2025. (in Chinese).
    [5] ZHANG H, WANG Y, CHEN L, et al. Recent advances and perspectives in optical fiber sensors for corrosive and high-temperature environments[J]. IEEE Transactions on Instrumentation and Measurement, 2022, 71: 1-15. (查阅网上资料, 未找到本条文献信息, 请确认).
    [6] YANG Y, ZHAO Y, WANG L K, et al. High-temperature SiC piezoresistive accelerometer fabricated by femtosecond laser[J]. IEEE Sensors Journal, 2024, 24(11): 17461-17469. doi: 10.1109/JSEN.2024.3373813
    [7] WANG Z B, ZHOU W Y, XIAO Z J, et al. A high-temperature accelerometer with excellent performance based on the improved graphene aerogel[J]. ACS Applied Materials & Interfaces, 2023, 15(15): 19337-19348. doi: 10.1021/acsami.3c00418
    [8] FENG R, CHU Y, LIU ZH J, et al. Study on high temperature resistant packaging of ultra high temperature Fabry−Pérot optical fibre vibration sensor[J]. IEEE Sensors Journal, 2021, 21(23): 27045-27050. doi: 10.1109/JSEN.2021.3117960
    [9] CHEN F Y, LI X Y, WANG R H, et al. Sensitivity enhancement of fiber-optic accelerometers using thin-cladding fiber Bragg gratings[J]. Journal of Lightwave Technology, 2021, 39(18): 5988-5994. doi: 10.1109/JLT.2021.3091518
    [10] XIAO X ZH, HE J, XU X ZH, et al. High-temperature-resistant fiber laser vector accelerometer based on a self-compensated multicore fiber Bragg grating[J]. Sensors, 2022, 22(17): 6459. doi: 10.3390/s22176459
    [11] WEI H M, ZHUANG CH Q, CHE J W, et al. Highly stabilized fiber Bragg grating accelerometer based on cross-type diaphragm[J]. Optics Express, 2024, 32(12): 21447-21458. doi: 10.1364/OE.523300
    [12] 李爱武, 单天奇, 国旗, 等. 光纤法布里-珀罗干涉仪高温传感器研究进展[J]. 中国光学(中英文), 2022, 15(4): 609-624. doi: 10.37188/CO.2021-0219

    LI A W, SHAN T Q, GUO Q, et al. Research progress of optical fiber Fabry-Perot interferometer high temperature sensors[J]. Chinese Optics, 2022, 15(4): 609-624. (in Chinese). doi: 10.37188/CO.2021-0219
    [13] MA W Y, JIANG Y, ZHANG H, et al. Miniature on-fiber extrinsic Fabry-Perot interferometric vibration sensors based on micro-cantilever beam[J]. Nanotechnology Reviews, 2019, 8(1): 293-298. doi: 10.1515/ntrev-2019-0028
    [14] RAN Z L, LU E, RAO Y J, et al. Fiber-optic Fabry-Perot interferometer tip accelerometer fabricated by laser-micromachining[J]. Proceedings of SPIE, 2011, 7753: 212-215.
    [15] 秦锋, 郑渟渟, 谭佳航, 等. 复合腔高温法珀加速度传感器的设计与实验[J]. 光学 精密工程, 2024, 32(21): 3174-3183.

    QIN F, ZHENG T T, TAN J H, et al. Design and experiment of high temperature Fabry-Perot acceleration sensor with composite cavity[J]. Optics and Precision Engineering, 2024, 32(21): 3174-3183. (in Chinese).
    [16] MAHISSI M, MA X L, CAI W M, et al. Optimization of wide frequency range 6H-SiC MEMS chips for a fiber optic Fabry−Perot accelerometer[J]. Chinese Physics B, 2025, 34(7): 074203. doi: 10.1088/1674-1056/ADC18E
    [17] HUANG Y G, TANG F, MA D W, et al. Design, fabrication, characterization, and application of an ultra-high temperature 6H-SiC sapphire fiber optic vibration sensor[J]. IEEE Photonics Journal, 2019, 11(5): 6802512. doi: 10.1109/jphot.2019.2926297
    [18] CUI Y, JIANG Y, ZHANG Y T, et al. Sapphire optical fiber high-temperature vibration sensor[J]. Optics Express, 2022, 30(2): 1056-1065. doi: 10.1364/OE.447449
    [19] SU CH X, JIA P G, ZHAO A H, et al. Temperature-decoupled single-crystal MgO Fiber-Optic Fabry−Perot vibration sensor based on MEMS technology for harsh environments[J]. Micromachines, 2024, 15(5): 616. doi: 10.3390/mi15050616
    [20] WANG W H. Fabry-Perot interference fiber acoustic wave sensor based on laser welding all-silica glass[J]. Materials, 2022, 15(7): 2484. doi: 10.3390/ma15072484
    [21] QIAN J, JIA P A, REN Q Y, et al. An accelerometer based on all silica in-line fiber Fabry-Perot etalon for high temperature up to 800 °C[J]. Micromachines, 2022, 13(4): 548. doi: 10.3390/mi13040548
    [22] LIU J, QIAN J, ZHAO Q R, et al. All-silica optical fiber Fabry-Perot vibration sensor based on MEMS and Laser Welding for High Temperature up to 800 °C[J]. Sensors and Actuators A: Physical, 2026, 399: 117497. doi: 10.1016/j.sna.2026.117497
    [23] LI CH X, ZHAO X Y, QI H CH, et al. Integrated fiber-optic Fabry−Perot vibration/acoustic sensing system based on high-speed phase demodulation[J]. Optics & Laser Technology, 2024, 169: 110131. doi: 10.1016/j.optlastec.2023.110131
    [24] JIA P G, WANG D H, YUAN G, et al. An active temperature compensated fiber-optic Fabry−Perot accelerometer system for simultaneous measurement of vibration and temperature[J]. IEEE Sensors Journal, 2013, 13(6): 2334-2340. doi: 10.1109/JSEN.2013.2251879
    [25] LIU H, JIA P G, SU CH X, et al. High-temperature fiber-optic Fabry−Perot vibration sensor based on single-crystal sapphire[J]. Sensors, 2023, 23(10): 4952. doi: 10.3390/s23104952
  • 加载中
图(10) / 表(2)
计量
  • 文章访问数:  95
  • HTML全文浏览量:  54
  • PDF下载量:  9
  • 被引次数: 0
出版历程
  • 网络出版日期:  2026-04-16

目录

    /

    返回文章
    返回