Energy preservation of a motion-assisted quantum battery in a lossy cavity
doi: 10.37188/CO.EN-2025-0015
-
摘要:
作为量子领域的潜在能源供给系统,量子电池不可避免地经历由环境退相干诱导的提取功衰变过程。为了抑制能量耗散,本文提出了一种运动原子电池方案,其中原子所在的耗散腔与结构化环境发生耦合作用。本文通过开放量子系统方法,研究了量子电池最大提取功的动力学特性。发现在非马尔可夫环境中,量子电池提取功的衰减显著减缓。相比于静止状态,当量子电池处于运动状态时,量子电池的存储性能得到了提升。这种能量保存效应在较高运动速度下更加显著。当环境记忆效应与运动控制同时作用时,有助于延长量子电池的放电寿命。此外,还研究了环境温度、随机噪声以及量子纠缠的影响。这些结论为开放量子电池提供了一种可行方案。
Abstract:As a potential alternative energy source in the quantum regime, a quantum battery inevitably experiences a process where the extracted work decreases due to the environmental decoherence. To inhibit the energy dissipation, we have put forward a scheme of a moving atom battery in a lossy cavity coupled to a structured environment. We investigate the dynamics of the maximally extracted work called the ergotropy by the open quantum system approach. It is found out that the decay of quantum work is significantly retarded in the non-Markovian environment. In contrast to the static case, the storage performance of the quantum battery is improved when the atom is in motion. The effect of energy preservation becomes more pronounced at higher velocities. Both the momery effect and motion control can play a positive role in extending the discharge lifetime. In addition, we have investigated the effects of environmental temperature, random noises, and quantum entanglement. These present results provides a feasible protocol for the open quantum battery.
-
Key words:
- quantum battery /
- non-Markovian dynamics /
- ergotropy
-
Figure 4. The discharge lifetime as a function of atom velocity in bth Markovian and non-Markovian environments for
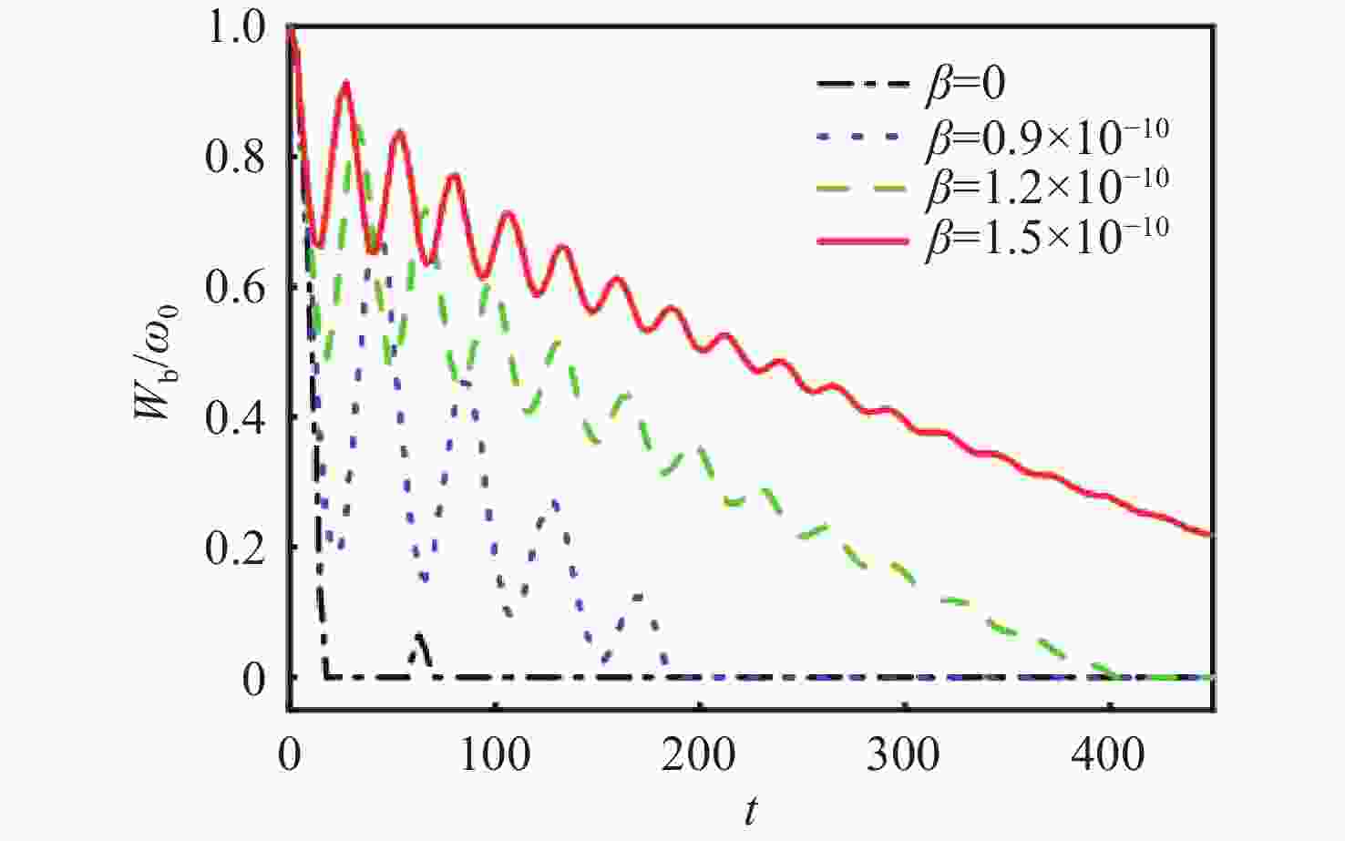
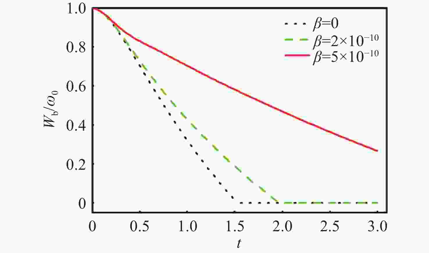
$ {W_0} = 1 \times {10^9}{\gamma _0}, \theta = {\text{π}} . $ (a) Non-Markovian dynamics with${\lambda \mathord{\left/ {\vphantom {\lambda {{\gamma _0}}}} \right. } {{\gamma _0}}} = 0.01 $ ; (b) Markovian dynamics with$ {\lambda \mathord{\left/ {\vphantom {\lambda {{\gamma _0}}}} \right. } {{\gamma _0}}} = 5$ Figure 7. The influence of RTN channel and atomic motion on the ergotropy in quantum batteries. The red line represents the moving atoms in Fig. 1, while the blue line indicates the effect of the RTN channels. The parameter settings are
$ \beta = 1.2 \times {10^{ - 10}}$ ,$\theta = {\text{π}} /2 $ ,$a = 0.05 $ ,$\varGamma = 0.001 $ -
[1] DORFMAN K E, XU D ZH, CAO J SH. Efficiency at maximum power of a laser quantum heat engine enhanced by noise-induced coherence[J]. Physical Review E, 2018, 97(4): 042120. [2] QUAN H T, LIU Y X, SUN C P, et al. Quantum thermodynamic cycles and quantum heat engines[J]. Physical Review E, 2007, 76(3): 031105. doi: 10.1103/PhysRevE.76.031105 [3] BARRIOS G A, ALBARRÁN-ARRIAGADA F, CÁRDENAS-LÓPEZ F A, et al. Role of quantum correlations in light-matter quantum heat engines[J]. Physical Review A, 2017, 96(5): 052119. doi: 10.1103/PhysRevA.96.052119 [4] LI SH W, KIM M B, AGARWAL G S, et al. Quantum statistics of a single-atom Scovil Schulz-DuBois heat engine[J]. Physical Review A, 2017, 96(6): 063806. doi: 10.1103/PhysRevA.96.063806 [5] WATANABE G, VENKATESH B P, TALKNER P, et al. Quantum performance of thermal machines over many cycles[J]. Physical Review Letters, 2017, 118(5): 050601. doi: 10.1103/PhysRevLett.118.050601 [6] SCOPA S, LANDI G T, KAREVSKI D. Lindblad-floquet description of finite-time quantum heat engines[J]. Physical Review A, 2018, 97(6): 062121. doi: 10.1103/PhysRevA.97.062121 [7] UZDIN R, LEVY A, KOSLOFF R. Equivalence of quantum heat machines, and quantum-thermodynamic signatures[J]. Physical Review X, 2015, 5(3): 031044. doi: 10.1103/PhysRevX.5.031044 [8] KLATZOW J, BECKER J N, LEDINGHAM P M, et al. Experimental demonstration of quantum effects in the operation of microscopic heat engines[J]. Physical Review Letters, 2019, 122(11): 110601. doi: 10.1103/PhysRevLett.122.110601 [9] ABAH O, LUTZ E. Efficiency of heat engines coupled to nonequilibrium reservoirs[J]. Europhysics Letters, 2014, 106(2): 20001. doi: 10.1209/0295-5075/106/20001 [10] THOMAS G, SIDDHARTH N, BANERJEE S, et al. Thermodynamics of non-Markovian reservoirs and heat engines[J]. Physical Review E, 2018, 97(6): 062108. [11] ARIAS E, DE OLIVEIRA T R, SARANDY M S. The Unruh quantum Otto engine[J]. Journal of High Energy Physics, 2018, 2018(2): 168. doi: 10.1007/JHEP02(2018)168 [12] DEFFNER S. Efficiency of harmonic quantum Otto engines at maximal power[J]. Entropy, 2018, 20(11): 875. doi: 10.3390/e20110875 [13] CHEN J F, SUN CH P, DONG H. Boosting the performance of quantum Otto heat engines[J]. Physical Review E, 2019, 100(3): 032144. doi: 10.1103/PhysRevE.100.032144 [14] LEVY A, KOSLOFF R. Quantum absorption refrigerator[J]. Physical Review Letters, 2012, 108(7): 070604. doi: 10.1103/PhysRevLett.108.070604 [15] CORREA L A, PALAO J P, ALONSO D, et al. Quantum-enhanced absorption refrigerators[J]. Scientific Reports, 2014, 4: 3949. doi: 10.1038/srep03949 [16] SEGAL D. Current fluctuations in quantum absorption refrigerators[J]. Physical Review E, 2018, 97(5): 052145. doi: 10.1103/PhysRevE.97.052145 [17] LEE M H, DUNIETZ B D. Active control of thermal transport in molecular spin valves[J]. Physical Review B, 2013, 88(4): 045421. doi: 10.1103/PhysRevB.88.045421 [18] TANG G M, THINGNA J, WANG J. Thermodynamics of energy, charge, and spin currents in a thermoelectric quantum-dot spin valve[J]. Physical Review B, 2018, 97(15): 155430. doi: 10.1103/PhysRevB.97.155430 [19] GUO B Q, LIU T, YU CH SH. Multifunctional quantum thermal device utilizing three qubits[J]. Physical Review E, 2019, 99(3): 032112. [20] LI N B, REN J, WANG L, et al. Colloquium: phononics: manipulating heat flow with electronic analogs and beyond[J]. Reviews of Modern Physics, 2012, 84(3): 1045-1066. [21] JOULAIN K, DREVILLON J, EZZAHRI Y, et al. Quantum thermal transistor[J]. Physical Review Letters, 2016, 116(20): 200601. doi: 10.1103/PhysRevLett.116.200601 [22] HUANGFU Y, QI SH F, JING J. A multifunctional quantum thermal device: with and without inner coupling[J]. Physics Letters A, 2021, 393: 127172. doi: 10.1016/j.physleta.2021.127172 [23] NASEEM M T, MISRA A, MÜSTECAPLIOĞLU Ö E, et al. Minimal quantum heat manager boosted by bath spectral filtering[J]. Physical Review Research, 2020, 2(3): 033285. doi: 10.1103/PhysRevResearch.2.033285 [24] AYKOL M, KIM S, HEGDE V I, et al. Computational evaluation of new lithium-3 garnets for lithium-ion battery applications as anodes, cathodes, and solid-state electrolytes[J]. Physical Review Materials, 2019, 3(2): 025402. doi: 10.1103/PhysRevMaterials.3.025402 [25] SWIFT M W, QI Y. First-principles prediction of potentials and space-charge layers in all-solid-state batteries[J]. Physical Review Letters, 2019, 122(16): 167701. doi: 10.1103/PhysRevLett.122.167701 [26] SUN Q, HE W H, LU L H. Regulating and understanding charge-discharge process for high-performance Lithium-Sulfur batteries[J]. Chinese Journal of Analytical Chemistry, 2024, 52(11): 1708-1716. (in Chinese). [27] CHEN F, ZHAI F F, SONG H X, et al. FeP Nanocrystal Catalyzed Activation of Li2S for Establishment of Ultra-Stable Li-S Batteries[J]. Chinese Journal of Applied Chemistry, 2024, 42(5): 668-674. (in Chinese). [28] TSERKOVNYAK Y, XIAO J. Energy storage via topological spin textures[J]. Physical Review Letters, 2018, 121(12): 127701. doi: 10.1103/PhysRevLett.121.127701 [29] PATIL V P, KOS Ž, RAVNIK M, et al. Discharging dynamics of topological batteries[J]. Physical Review Research, 2020, 2(4): 043196. doi: 10.1103/PhysRevResearch.2.043196 [30] BRATAAS A, TSERKOVNYAK Y, BAUER G E W, et al. Spin battery operated by ferromagnetic resonance[J]. Physical Review B, 2002, 66(6): 060404. doi: 10.1103/PhysRevB.66.060404 [31] XIE Y Q, CHEN M Y, WU Z W, et al. Two-dimensional photogalvanic spin-battery[J]. Physical Review Applied, 2018, 10(3): 034005. doi: 10.1103/PhysRevApplied.10.034005 [32] CARAVELLI F, WIT G C D, GARCÍA-PINTOS L P, et al. Random quantum batteries[J]. Physical Review Research, 2020, 2(2): 023095. doi: 10.1103/PhysRevResearch.2.023095 [33] FRENZEL M F, JENNINGS D, RUDOLPH T. Reexamination of pure qubit work extraction[J]. Physical Review E, 2014, 90(5): 052136. doi: 10.1103/PhysRevE.90.052136 [34] GALLEGO R, EISERT J, WILMING H. Thermodynamic work from operational principles[J]. New Journal of Physics, 2016, 18(10): 103017. doi: 10.1088/1367-2630/18/10/103017 [35] Xie J L, Yan K, Tan J, Cao Z L, Hao X. Decoherence of temporal quantum correlation in electrically controllable quantum-dots molecules[J]. Chinese Optics, 2023, 16(5): 1206-1214. [36] FERRARO D, CAMPISI M, ANDOLINA G M, et al. High-power collective charging of a solid-state quantum battery[J]. Physical Review Letters, 2018, 120(11): 117702. doi: 10.1103/PhysRevLett.120.117702 [37] SONG M L, LI L J, SONG X K, et al. Environment-mediated entropic uncertainty in charging quantum batteries[J]. Physical Review E, 2022, 106(5): 054107. [38] ZHANG X L, SONG X K, WANG D. Quantum battery in the Heisenberg spin chain models with Dzyaloshinskii‐Moriya interaction[J]. Advanced Quantum Technologies, 2024, 7(9): 2400114. [39] SONG M L, SONG X K, YE L, et al. Evaluating extractable work of quantum batteries via entropic uncertainty relations[J]. Physical Review E, 2024, 109(6): 064103. [40] GOOLD J, HUBER M, RIERA A, et al. The role of quantum information in thermodynamics—a topical review[J]. Journal of Physics A: Mathematical and Theoretical, 2016, 49(14): 143001. doi: 10.1088/1751-8113/49/14/143001 [41] FARINA D, ANDOLINA G M, MARI A, et al. Charger-mediated energy transfer for quantum batteries: an open-system approach[J]. Physical Review B, 2019, 99(3): 035421. doi: 10.1103/PhysRevB.99.035421 [42] BARRA F. Dissipative charging of a quantum battery[J]. Physical Review Letters, 2019, 122(21): 210601. doi: 10.1103/PhysRevLett.122.210601 [43] KAMIN F H, TABESH F T, SALIMI S, et al. Non-Markovian effects on charging and self-discharging process of quantum batteries[J]. New Journal of Physics, 2020, 22(8): 083007. doi: 10.1088/1367-2630/ab9ee2 [44] ZAKAVATI S, TABESH F T, SALIMI S. Bounds on charging power of open quantum batteries[J]. Physical Review E, 2021, 104(5-1): 054117. [45] GARCÍA-PINTOS L P, HAMMA A, DEL CAMPO A. Fluctuations in extractable work bound the charging power of quantum batteries[J]. Physical Review Letters, 2020, 125(4): 040601. doi: 10.1103/PhysRevLett.125.040601 [46] PIRMORADIAN F, MØLMER K. Aging of a quantum battery[J]. Physical Review A, 2019, 100(4): 043833. doi: 10.1103/PhysRevA.100.043833 [47] CALAJÓ G, RABL P. Strong coupling between moving atoms and slow-light Cherenkov photons[J]. Physical Review A, 2017, 95(4): 043824. doi: 10.1103/PhysRevA.95.043824 [48] MOUSTOS D, ANASTOPOULOS C. Non-Markovian time evolution of an accelerated qubit[J]. Physical Review D, 2017, 95(2): 025020. doi: 10.1103/PhysRevD.95.025020 [49] CAVES C M, FUCHS C A, RUNGTA P. Entanglement of formation of an arbitrary state of two rebits[J]. Foundations of Physics Letters, 2001, 14(3): 199-212. doi: 10.1023/A:1012215309321 [50] RAIMOND J M, BRUNE M, HAROCHE S. Manipulating quantum entanglement with atoms and photons in a cavity[J]. Reviews of Modern Physics, 2001, 73(3): 565-582. doi: 10.1103/RevModPhys.73.565 [51] LEONARDI C, VAGLICA A. Non-Markovian dynamics and spectrum of a moving atom strongly coupled to the field in a damped cavity[J]. Optics Communications, 1993, 97(1-2): 130-139. doi: 10.1016/0030-4018(93)90629-J [52] TAGHIPOUR J, MOJAVERI B, DEHGHANI A. Witnessing entanglement between two two-level atoms moving inside a leaky cavity under classical control[J]. Modern Physics Letters A, 2022, 37(22): 2250141. doi: 10.1142/S0217732322501413 [53] SRIKANTH R, BANERJEE S. Squeezed generalized amplitude damping channel[J]. Physical Review A, 2008, 77(1): 012318. doi: 10.1103/PhysRevA.77.012318 [54] DAFFER S, WÓDKIEWICZ K, CRESSER J D, et al. Depolarizing channel as a completely positive map with memory[J]. Physical Review A, 2004, 70(1): 010304. doi: 10.1103/PhysRevA.70.010304 -
下载:



















