留言板

尊敬的读者、作者、审稿人, 关于本刊的投稿、审稿、编辑和出版的任何问题, 您可以本页添加留言。我们将尽快给您答复。谢谢您的支持!

姓名
邮箱
手机号码
标题
留言内容
验证码

Two-dimensional grating line parameter calibration based on biaxial phase mapping

TENG Hai-rui LIANG Xu JIN Si-yu YU-JIA SUN LI Wen-hao LIU Zhao-wu

滕海瑞, 梁旭, 金思宇, 孙宇佳, 李文昊, 刘兆武. 双轴相位映射的二维光栅栅线参数标校[J]. 中国光学(中英文). doi: 10.37188/CO.EN-2025-0020
引用本文: 滕海瑞, 梁旭, 金思宇, 孙宇佳, 李文昊, 刘兆武. 双轴相位映射的二维光栅栅线参数标校[J]. 中国光学(中英文). doi: 10.37188/CO.EN-2025-0020
TENG Hai-rui, LIANG Xu, JIN Si-yu, YU-JIA SUN, LI Wen-hao, LIU Zhao-wu. Two-dimensional grating line parameter calibration based on biaxial phase mapping[J]. Chinese Optics. doi: 10.37188/CO.EN-2025-0020
Citation: TENG Hai-rui, LIANG Xu, JIN Si-yu, YU-JIA SUN, LI Wen-hao, LIU Zhao-wu. Two-dimensional grating line parameter calibration based on biaxial phase mapping[J]. Chinese Optics. doi: 10.37188/CO.EN-2025-0020

双轴相位映射的二维光栅栅线参数标校

详细信息
  • 中图分类号: TP394.1;TH691.9

Two-dimensional grating line parameter calibration based on biaxial phase mapping

doi: 10.37188/CO.EN-2025-0020
Funds: Supported by the National Natural Science Foundation of China Youth Fund Project (No. 52305592); National Natural Science Foundation (No. 62435019); Jilin province science and technology development plan project (No. 20240404065ZP, No. YDZJ202401295ZYTS, No. 20230508093RC)
More Information
    Author Bio:

    TENG Hai-rui (2000—), master's graduate student, received a bachelor's degree from Ludong University in 2018. He is currently studying for a master's degree in Changchun Institute of Optics and Mechanics, Chinese Academy of Sciences. He is mainly engaged in grating displacement measurement and 2D grating calibration. Theory. E-mail: tenghairui22@mails.ucas.ac.cn

    LIU Zhao-wu (1979—), Ph.D., received his doctor's degree from Changchun Institute of Optics and Machines, Chinese Academy of Sciences in 2017. He is currently an associate researcher at Changchun Institute of Optics and Machines, Chinese Academy of Sciences, mainly engaged in grating displacement measurement technology research. E-mail: zhaowuliu@ciomp.ac.cn

    Corresponding author: zhaowuliu@ciomp.ac.cn
  • 摘要:

    二维光栅是平面光栅干涉仪实现高精度、多维位移测量的核心器件,其刻线密度和栅线正交性误差的检测与标校,一方面可提高光栅干涉仪的定位精度,另一方面可为二维光栅的制作提供反馈指导。本文提出一种利用正交外差激光干涉仪同时标定二维光栅刻线密度和栅线正交性误差的方法,以待测光栅搭建二维光栅干涉仪,双轴激光干涉仪为其提供位移参考,建立光栅干涉与激光干涉的相位映射关系,通过任意两次位移获取的干涉相位信息,即可同时解算上述3项参数的同时获取光栅安装误差。使用1200 gr/mm的二维光栅验证了提出方法的可行性,X、Y方向刻线密度的标准差分别为0.012 gr/mm和0.014 gr/mm,栅线正交性误差的标准差为0.004°,安装误差标准差为0.002°。与原子力显微镜法进行了精度比对,X、Y方向刻线密度的一致性优于0.03 gr/mm、0.06 gr/mm,正交性误差优于0.008°。实验结果表明,提出方法可简单、高效的应用于二维光栅的栅线参数标定。

     

  • Figure 1.  The schematic diagram of the optical path structure of the calibration system

    Figure 2.  The influence of orthogonality error of grating grooves error and grating installation error on displacement measurement

    Figure 3.  Experimental device photographs. (a) Layout of the 2D grating interferometer. (b) Layout of the laser interferometer. (c) 2D grating.

    Figure 4.  Stability test result diagrams. (a) Values measured by the X-direction laser interferometer. (b) Values measured by the Y-direction laser interferometer. (c) Measured values from the X-direction grating interferometer. (d) Measured values from the Y-direction grating interferometer.

    Figure 5.  Linear fitting data diagrams. (a) Results for plane displacement platform movement along the X-axis. (b) Results for plane displacement platform movement along the Y-axis.

    Figure 6.  Grating groove density measurement results.

    Figure 7.  Schematic diagram of the measurement path.

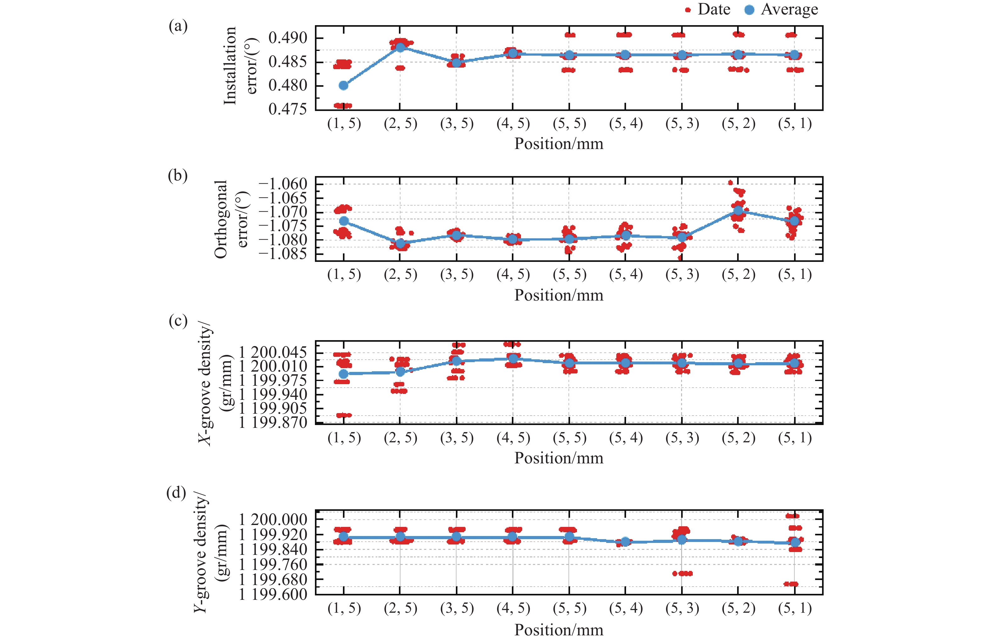
    Figure 8.  Data solution result diagrams. (a) Grating installation error results. (b) Orthogonality error results for the grating lines. (c) X-direction grating groove density results. (d) Y-direction grating groove density results.

    Figure 9.  The AFM image and data acquisition schematic diagram of 2D grating (a)Measured images of AFM (b) Data acquisition schematic diagram

    Figure 10.  Comparison of results for the two measurement methods. (a) Comparison of grating groove density measurement results. (b) Comparison of orthogonality error of grating grooves error results.

    Table  1.   The solution results of the parameters to be measured

    (xn,yn θ(°) α(°) $ \rho $x(gr/mm) $ \rho $y(gr/mm)
    (1,5) 0.48016 1.07329 1199.99228 1199.90331
    (2,5) 0.48820 1.08118 1199.99563 1199.90466
    (3,5) 0.48496 1.07812 1200.02361 1199.90413
    (4,5) 0.48669 1.07981 1200.02964 1199.90443
    (5,5) 0.48652 1.07963 1200.01899 1199.90439
    (5,4) 0.48654 1.07839 1200.01872 1199.87662
    (5,3) 0.48653 1.07917 1200.01889 1199.88735
    (5,2) 0.48668 1.06947 1200.01681 1199.88468
    (5,1) 0.48653 1.07342 1200.01767 1199.87282
    Average value 0.48587 1.07694 1200.01469 1199.89360
    Standard deviation 0.002158 0.003702 0.01171085 0.01322980
    下载: 导出CSV

    Table  2.   The results of the measurement of the 2D grating calibration area

    Measuring field α(°) $ \rho $x(gr/mm) $ \rho $y(gr/mm)
    1 1.07126 1200.03871 1199.94367
    2 1.07313 1199.99825 1199.92325
    3 1.07493 1200.01830 1199.92155
    4 1.07138 1200.00781 1199.94672
    5 1.07653 1200.03141 1199.90339
    Average value 1.07345 1200.01890 1199.92771
    Standard deviation 0.002284 0.016573373 0.017786239
    下载: 导出CSV
  • [1] GAO W, KIM S W, BOSSE H, et al. Measurement technologies for precision positioning[J]. CIRP Annals, 2015, 64(2): 773-796. doi: 10.1016/j.cirp.2015.05.009
    [2] TAN J B. Ultra-precision measurement and high-end equipment manufacturing quality[J]. China Industry & Information Technology, 2020(6): 18-23. (in Chinese) (查阅网上资料, 未找到本条文献英文翻译, 请确认).
    [3] BUTLER H. Position control in lithographic equipment: an enabler for current-day chip manufacturing[J]. IEEE Control Systems Magazine, 2011, 31(5): 28-47. doi: 10.1109/MCS.2011.941882
    [4] WANG L J, ZHANG M, ZHU Y. Review of monomeric large-size and high precision holographic planar grating manufacturing technology[J]. Optics and Precision Engineering, 2021, 29(8): 1759-1768. (in Chinese). doi: 10.37188/OPE.20212908.1759
    [5] WANG L J, ZHANG M, ZHU Y, et al. Review of ultra-precision optical interferential grating encoder displacement measurement technology for immersion lithography scanner[J]. Optics and Precision Engineering, 2019, 27(9): 1909-1918. (in Chinese). doi: 10.3788/OPE.20192709.1909
    [6] AL-RAWASHDEH Y M, AL JANAIDEH M, HEERTJES M F. Kinodynamic generation of wafer scanners trajectories used in semiconductor manufacturing[J]. IEEE Transactions on Automation Science and Engineering, 2023, 20(1): 718-732. doi: 10.1109/TASE.2022.3196318
    [7] LI X H, CUI C. Grating interferometric precision nanometric measurement technology[J]. Optics and Precision Engineering, 2024, 32(17): 2591-2611. (in Chinese). doi: 10.37188/OPE.20243217.2591
    [8] ZHOU W Y, SUN Y J, LIU ZH W, et al. A random angle error interference eliminating method for grating interferometry measurement based on symmetry Littrow structure[J]. Laser & Photonics Reviews, 2025, 19(11): 2401659.
    [9] 冯灿. 平面位移测量用二维衍射光栅的标定方法[D]. 北京: 清华大学, 2012.

    FENG C. Calibration method of two-dimensional diffraction gratings used for planar displacement measurement[D]. Beijing: Tsinghua University, 2012. (in Chinese).
    [10] YACOOT A, KOENDERS L. Recent developments in dimensional nanometrology using AFMs[J]. Measurement Science and Technology, 2011, 22(12): 122001. doi: 10.1088/0957-0233/22/12/122001
    [11] SHENG B, CHEN G H, HUANG Y SH, et al. Measurement of grating groove density using multiple diffraction orders and one standard wavelength[J]. Applied Optics, 2018, 57(10): 2514-2518. doi: 10.1364/AO.57.002514
    [12] LEI L H, LIU Y, CHEN X, et al. Fast and accurate calibration of 1D and 2D gratings[J]. Advanced Materials Research, 2011, 317-319: 2196-2203.
    [13] KOROTKOV V I, PULKIN S A, VITUSHKIN A L, et al. Laser interferometric diffractometry for measurements of diffraction grating spacing[J]. Applied Optics, 1996, 35(24): 4782-4786. doi: 10.1364/AO.35.004782
    [14] VITUSHKIN L F, ZEILIKOVICH I S, KOROTKOV V I, et al. High-precision measurements of the groove spacing of diffraction gratings using the interference diffractometer and study of the quality of diffraction gratings[J]. Optics and Spectroscopy, 1994, 77(1): 129-135.
    [15] ISRAEL W, TIEMANN I, METZ G, et al. An international length comparison at an industrial level using a photoelectric incremental encoder as transfer standard[J]. Precision Engineering, 2003, 27(2): 151-156. doi: 10.1016/S0141-6359(02)00192-7
    [16] SAWABE M, MAEDA F, YAMARYO Y, et al. A new vacuum interferometric comparator for calibrating the fine linear encoders and scales[J]. Precision Engineering, 2004, 28(3): 320-328. doi: 10.1016/j.precisioneng.2003.11.007
    [17] TIEMANN I, SPAETH C, WALLNER G, et al. An international length comparison using vacuum comparators and a photoelectric incremental encoder as transfer standard[J]. Precision Engineering, 2008, 32(1): 1-6. doi: 10.1016/j.precisioneng.2007.02.003
    [18] KIM J A, KIM J W, PARK B C, et al. Measurement of microscope calibration standards in nanometrology using a metrological atomic force microscope[J]. Measurement Science and Technology, 2006, 17(7): 1792-1800. doi: 10.1088/0957-0233/17/7/018
    [19] KIM J A, KIM J W, PARK B C, et al. Calibration of two-dimensional nanometer gratings using optical diffractometer and metrological atomic force microscope[J]. Proceedings of SPIE, 2005, 5879: 58790Z. doi: 10.1117/12.614786
    [20] KIM J A, KIM J W, KANG C S, et al. Measurements of two-dimensional gratings using a metrological atomic force microscope with uncertainty evaluation[J]. International Journal of Precision Engineering and Manufacturing, 2008, 9(2): 18-22.
    [21] DIXSON R, ORJI N G, FU J, et al. Traceable atomic force microscope dimensional metrology at NIST[J]. Proceedings of SPIE, 2006, 6152: 61520P. doi: 10.1117/12.656803
    [22] MISUMI I, GONDA S, KUROSAWA T, et al. Uncertainty in pitch measurements of one-dimensional grating standards using a nanometrological atomic force microscope[J]. Measurement Science and Technology, 2003, 14(4): 463-471. doi: 10.1088/0957-0233/14/4/309
    [23] MELI F, THALMANN R. Long-range AFM profiler used for accurate pitch measurements[J]. Measurement Science and Technology, 1998, 9(7): 1087-1092. doi: 10.1088/0957-0233/9/7/014
    [24] JORGENSEN J F, JENSEN C P, GARNAES J. Lateral metrology using scanning probe microscopes, 2D pitch standards and image processing[J]. Applied Physics A, 1998, 66(S1): S847-S852.
    [25] DAI G L, KOENDERS L, POHLENZ F, et al. Accurate and traceable calibration of one-dimensional gratings[J]. Measurement Science and Technology, 2005, 16(6): 1241-1249. doi: 10.1088/0957-0233/16/6/001
    [26] MISUMI I, GONDA S, KUROSAWA T, et al. Submicrometre-pitch intercomparison between optical diffraction, scanning electron microscope and atomic force microscope[J]. Measurement Science and Technology, 2003, 14(12): 2065-2074. doi: 10.1088/0957-0233/14/12/004
    [27] EVES B J, PEKELSKY J R, DECKER J E. Uncertainty evaluation of the NRC imaging diffractometer[J]. Measurement Science and Technology, 2008, 19(7): 075103. doi: 10.1088/0957-0233/19/7/075103
    [28] MELI F, THALMANN R, BLATTNER P. High precision pitch calibration of gratings using laser diffractometry[C]. Proceedings of 1st International Conference on Precision Engineering and Nanotechnology, 1999: 252-255. (查阅网上资料, 未找到本条文献出版者信息, 请确认并补充).
    [29] DAI G L, POHLENZ F, DZIOMBA T, et al. Accurate and traceable calibration of two-dimensional gratings[J]. Measurement Science and Technology, 2007, 18(2): 415-421. doi: 10.1088/0957-0233/18/2/S13
    [30] NOBACH H, DAMASCHKE N, TROPEA C. High-precision sub-pixel interpolation in particle image velocimetry image processing[J]. Experiments in Fluids, 2005, 39(2): 299-304. doi: 10.1007/s00348-005-0999-z
    [31] WOO W H, YEN K S. Moiré fringe center determination using artificial neural network[J]. Proceedings of SPIE, 2015, 9631: 96312B.
    [32] GARNAES J, DIRSCHERL K. NANO5—2D grating—final report[J] Metrologia, 2008, 45(1A): 04003.
    [33] FENG C, KAJIMA M, GONDA S, et al. Accurate measurement of orthogonality of equal-period, two-dimensional gratings by an interferometric method[J]. Metrologia, 2012, 49(3): 236-244. doi: 10.1088/0026-1394/49/3/236
    [34] XIE Y F, JIA W, ZHAO D, et al. Traceable and long-range grating pitch measurement with picometer resolution[J]. Optics Communications, 2020, 476: 126316. doi: 10.1016/j.optcom.2020.126316
    [35] HSU C C, TSAI C M, YE CH Y, et al. Period measurement of a periodic structure by using a heterodyne grating interferometer[J]. Applied Optics, 2024, 63(15): 4211-4218. doi: 10.1364/AO.521993
    [36] DONG X Y, SUN SH H, CUI J Y, et al. Error analysis of two-dimensional grating calibration system based on orthogonal dual-axis laser interferometer[J]. Acta Metrologica Sinica, 2019, 40(6A): 36-41. (in Chinese).
    [37] BIRCH K P, DOWNS M J. An updated Edlén equation for the refractive index of air[J]. Metrologia, 1993, 30(3): 155-162. doi: 10.1088/0026-1394/30/3/004
  • 加载中
图(10) / 表(2)
计量
  • 文章访问数:  244
  • HTML全文浏览量:  119
  • PDF下载量:  11
  • 被引次数: 0
出版历程
  • 收稿日期:  2025-03-17
  • 录用日期:  2025-04-17
  • 网络出版日期:  2025-11-11

目录

    /

    返回文章
    返回