留言板

尊敬的读者、作者、审稿人, 关于本刊的投稿、审稿、编辑和出版的任何问题, 您可以本页添加留言。我们将尽快给您答复。谢谢您的支持!

姓名
邮箱
手机号码
标题
留言内容
验证码

Broadband tunable operation of compact Yb:CGYA disordered crystal laser

WANG Kang WU Wen-jie ZHANG Pei-xiong YIN Hao ZHU Si-qi LI Zhen CHEN Zhen-qiang

王康, 吴文杰, 张沛雄, 尹浩, 朱思祁, 李真, 陈振强. 紧凑型Yb:CGYA无序晶体激光器的宽带可调谐操作[J]. 中国光学(中英文). doi: 10.37188/CO.EN-2025-0029
引用本文: 王康, 吴文杰, 张沛雄, 尹浩, 朱思祁, 李真, 陈振强. 紧凑型Yb:CGYA无序晶体激光器的宽带可调谐操作[J]. 中国光学(中英文). doi: 10.37188/CO.EN-2025-0029
WANG Kang, WU Wen-jie, ZHANG Pei-xiong, YIN Hao, ZHU Si-qi, LI Zhen, CHEN Zhen-qiang. Broadband tunable operation of compact Yb:CGYA disordered crystal laser[J]. Chinese Optics. doi: 10.37188/CO.EN-2025-0029
Citation: WANG Kang, WU Wen-jie, ZHANG Pei-xiong, YIN Hao, ZHU Si-qi, LI Zhen, CHEN Zhen-qiang. Broadband tunable operation of compact Yb:CGYA disordered crystal laser[J]. Chinese Optics. doi: 10.37188/CO.EN-2025-0029

紧凑型Yb:CGYA无序晶体激光器的宽带可调谐操作

详细信息
  • 中图分类号: TN248.1

Broadband tunable operation of compact Yb:CGYA disordered crystal laser

doi: 10.37188/CO.EN-2025-0029
Funds: National Natural Science Foundation of China (NSFC) (No. 12304478, No. 61935010, No. 51972149, No. 51872307, No. 51702124, No. 61975069); Guangdong Basic and Applied Basic Research Foundation (No. 2024A1515012152, No. 2022A1515010326); Key-Area Research and Development Program of Guangdong Province (No. 2020B090922006); Guangdong Project of Science and Technology Grants (No. 2018B030323017); Project of Science and Technology of Guangzhou Municipality (No. 202206010082, No. 201903010042, No. 201904010294)
More Information
    Author Bio:

    WANG Kang (2002—), Guangdong, Master’s student, mainly engaged in continuous operation solid-state lasers as well as new fiber lasers. Email: kangwang2002@hotmail.com

    ZHU Si-qi (1985—), Guangdong, Ph.D., Master’s Supervisor. The research mainly involves the design of laser systems, laser physics and light-matter interaction. E-mail: tzhusiqi@jnu.edu.cn

    Corresponding author: tzhusiqi@jnu.edu.cn
  • 摘要:

    利用直拉法成功合成了具有高光学质量的Yb:CaGd0.33Y0.625AlO4 (Yb:CGYA) 激光晶体。引入的Gd3+离子有助于保持原始结构,并有效诱导Yb3+离子发射光谱的非均匀展宽。Yb:CGYA 晶体的荧光发射峰波长为 1053 nm,对应的半峰全宽为 93 nm。通过使用双折射滤波片实现了从 1017 nm至 1073 nm的可调谐激光输出,这是迄今为止在短腔中报道的最宽调谐范围。这种紧凑型激光器为其在1 μm波段附近的应用提供了巨大优势。

     

  • Figure 1.  A photograph of the Yb:CGYA crystal boule, the growth direction is along the [001] axis.

    Figure 2.  Experimental set-up diagram. (a) Experiment layouts of the Yb:CGYA laser system; (b) Physical drawing of the Yb:CGYA laser system. BF, Birefringent filter; PM, Power meter. OC, output-coupled mirror.

    Figure 3.  The absorption coefficient spectra of the Yb:CGYA crystal.

    Figure 4.  The emission spectra of the Yb:CGYA crystal.

    Figure 5.  The relationship between the thermal lens focal length and the thermal stability of the simulated laser system.

    Figure 6.  Laser input-output characteristics of coupled output mirrors with varying transmittances. (a) Output power versus the absorbed pump power; (b) The transmission curve of the M2, M3, and M4 output mirrors within the wavelength range of 1037 nm to 1057 nm.

    Figure 7.  Measured (black line) and fitted (red line) spectral curve of the laser with the T=5.7% OC mirror.

    Figure 8.  Laser spot measurement. (a) Measurement Device for laser spot profiling; (b) 2-D and 3-D laser beam profiles of the Yb:CGYA laser. F3, planoconvex lens.

    Figure 9.  Yb:CGYA laser stability testing. (a) T = 5.7% for OC mirror; (b) T = 8.4% for OC mirror.

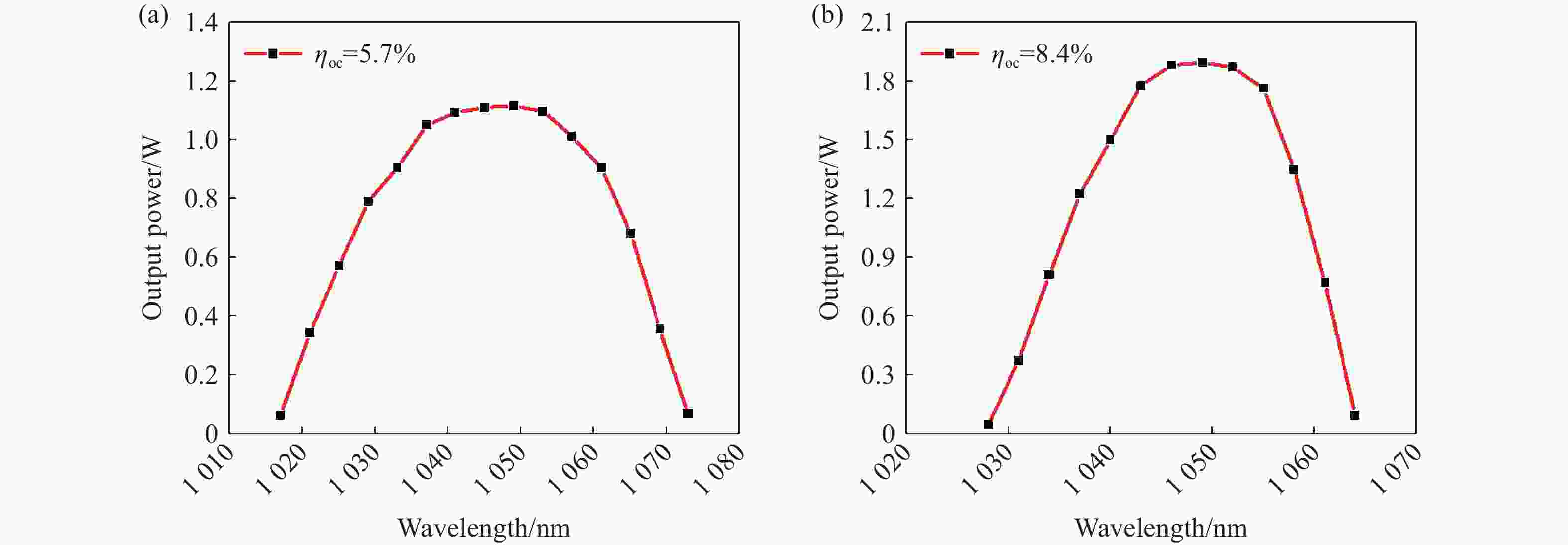
    Figure 10.  Laser input-output characteristics of coupled output mirrors using the BF.

    Figure 11.  Polarization measurement of the output laser. (a) Polarization when Toc = 5.7% of OC. (b) Polarization when Toc = 8.4% of OC.

    Figure 12.  The laser wavelength tuning curve at an absorption pump power of 16.8 W. (a) The transmittance of the output coupler is 5.7%; (b) The transmittance of the output coupler is 8.4%.

    Figure 13.  Spectra of wavelength-tunable operation of Yb:CGYA laser. (a) single-wavelength operation; (b) multi-wavelength operation.

    Table  1.   Components and Parameters in the Experimental Setup of the Yb:CGYA Laser

    Component Parameter
    M1 Plano-concave lens, Radius of curvature of 150 mm, Plane coated with anti-reflection film at 980 nm (T>90%),
    Spherical coated with high-reflection film at 1049 nm (T>99.9%).
    OC M2: Flat mirror, T=5.7% (1049 nm), Reflectance of 96% at 976 nm.
    M3: Flat mirror, T=8.4% (1049 nm), Reflectance of 96% at 976 nm.
    M4: Flat mirror, T=16.9% (1049 nm), Reflectance of 85% at 976 nm.
    BF Thickness: 0.05 mm.
    Filter Long-pass filter, Cut-off wavelength at 1000 nm, transmittance below 0.01% in the range of 900 nm to 1000 nm,
    and transmittance above 97% in 1000 nm to 1100 nm.
    下载: 导出CSV
  • [1] TIAN W L, PENG Y N, ZHANG Z Y, et al. Diode-pumped power scalable Kerr-lens mode-locked Yb: CYA laser[J]. Photonics Research, 2018, 6(2): 127-131. doi: 10.1364/PRJ.6.000127
    [2] GREBORIO A, GUANDALINI A, AUS DER AU J. Sub-100 fs pulses with 12.5-W from Yb: CALGO based oscillators[J]. Proceedings of SPIE, 2012, 8235: 823511. doi: 10.1117/12.906575
    [3] DÉLEN X, PIEHLER S, DIDIERJEAN J, et al. 250 W single-crystal fiber Yb: YAG laser[J]. Optics Letters, 2012, 37(14): 2898-2900. doi: 10.1364/OL.37.002898
    [4] AKBARI R, FEDOROVA K A, RAFAILOV E U, et al. Diode-pumped ultrafast Yb: KGW laser with 56 fs pulses and multi-100 kW peak power based on SESAM and Kerr-lens mode locking[J]. Applied Physics B, 2017, 123(4): 123. doi: 10.1007/s00340-017-6701-3
    [5] HU Q Q, JIA ZH T, VOLPI A, et al. Crystal growth and spectral broadening of a promising Yb: CaLuxGd1-xAlO4 disordered crystal for ultrafast laser application[J]. CrystEngComm, 2017, 19(12): 1643-1647. doi: 10.1039/C7CE00019G
    [6] PETIT P O, PETIT J, GOLDNER P, et al. Inhomogeneous broadening of optical transitions in Yb: CaYAlO4[J]. Optical Materials, 2008, 30(7): 1093-1097. doi: 10.1016/j.optmat.2007.05.017
    [7] ORTAÇ B, SCHMIDT O, SCHREIBER T, et al. High-energy femtosecond Yb-doped dispersion compensation free fiber laser[J]. Optics Express, 2007, 15(17): 10725-10732. doi: 10.1364/OE.15.010725
    [8] BRUNNER F, PASCHOTTA R, AUS DER AU J, et al. Widely tunable pulse durations from a passively mode-locked thin-disk Yb: YAG laser[J]. Optics Letters, 2001, 26(6): 379-381. doi: 10.1364/OL.26.000379
    [9] INNERHOFER E, SUDMEYER T, BRUNNER F, et al. 60 W average power in picosecond pulses from a passively mode-locked Yb: YAG thin-disk laser[C]. Proceedings of the Summaries of Papers Presented at the Lasers and Electro-Optics. CLEO'02. Technical Diges, IEEE, 2002: 152-153.
    [10] XU X D, ZHAO ZH W, XU J, et al. Crystal growth and spectral properties of Yb3Al5O12[J]. Journal of Crystal Growth, 2003, 257(3-4): 272-275. doi: 10.1016/S0022-0248(03)01418-0
    [11] BRUESSELBACH H W, SUMIDA D S, REEDER R A, et al. Low-heat high-power scaling using InGaAs-diode-pumped Yb: YAG lasers[J]. IEEE Journal of Selected Topics in Quantum Electronics, 1997, 3(1): 105-116. doi: 10.1109/2944.585822
    [12] LIU J, CANO‐TORRES J M, CASCALES C, et al. Growth and continuous‐wave laser operation of disordered crystals of Yb3+: NaLa(WO4)2 and Yb3+: NaLa(MoO4)2[J]. Physica Status Solidi (A), 2005, 202(4): R29-R31.
    [13] JACQUEMET M, JACQUEMET C, JANEL N, et al. Efficient laser action of Yb: LSO and Yb: YSO oxyorthosilicates crystals under high-power diode-pumping[J]. Applied Physics B, 2005, 80(2): 171-176. doi: 10.1007/s00340-004-1698-9
    [14] DU J, LIANG X Y, XU Y, et al. Continuous-wave diode-pumped Yb3+: LYSO tunable laser[J]. Proceedings of SPIE, 2007, 6279: 627963. doi: 10.1117/12.725506
    [15] DU J, LIANG X Y, XU Y, et al. Tunable and efficient diode-pumped Yb3+: GYSO laser[J]. Optics Express, 2006, 14(8): 3333-3338. doi: 10.1364/OE.14.003333
    [16] LI W X, HAO Q, ZHAI H, et al. Low-threshold and continuously tunable Yb: Gd2SiO5 laser[J]. Applied Physics Letters, 2006, 89(10): 101125. doi: 10.1063/1.2349281
    [17] ZHANG H Y, LI J F, LIANG X Y, et al. High-power and wavelength tunable diode-pumped continuous wave Yb: SSO laser[J]. Chinese Optics Letters, 2012, 10(11): 111404. doi: 10.3788/COL201210.111404
    [18] LI D ZH, XU X D, ZHU H M, et al. Characterization of laser crystal Yb: CaYAlO4[J]. Journal of the Optical Society of America B, 2011, 28(7): 1650-1654. doi: 10.1364/JOSAB.28.001650
    [19] ZHAO L N, YUAN Y, TONG L Y, et al. Broadly tunable optical vortex beam in a diode-pumped Yb: CALGO laser[J]. Optics & Laser Technology, 2021, 141: 107134.
    [20] TAN W D, TANG D Y, XU X D, et al. Room temperature diode‐pumped Yb: CaYAlO4 laser with near quantum limit slope efficiency[J]. Laser Physics Letters, 2011, 8(3): 193-196. doi: 10.1002/lapl.201010106
    [21] PETIT P O, GOLDNER P, VIANA B, et al. Diode pumping of Yb3+: CaGdAlO4[J]. Proceedings of SPIE, 2008, 6998: 69980Z. doi: 10.1117/12.783945
    [22] KUSTOV E F, PETROV V P, PETROVA D S, et al. Absorption and luminescence spectra of Nd and Er ions in monocrystals of CaYAlO4[J]. Physica Status Solidi (A), 1977, 41(2): 379-383. doi: 10.1002/pssa.2210410204
    [23] LAGATSKII A A, KULESHOV N V, SHCHERBITSKII V G, et al. Lasing characteristics of a diode-pumped Nd3+: CaGdAlO4 crystal[J]. Quantum Electronics, 1997, 27(1): 15-17. doi: 10.1070/QE1997v027n01ABEH000726
    [24] DI J Q, SAI Q L, SUN X H, et al. Dual-wavelength and efficient continuous-wave operation of a Yb: CaGd0.1Y0.9AlO4 laser[J]. Laser Physics, 2018, 28(5): 055803. doi: 10.1088/1555-6611/aaad43
    [25] LI ZH Q, LIN ZH L, ZENG H J, et al. Diode-pumped Kerr-lens mode-locked ytterbium-doped compositional mixed calcium aluminate laser[J]. Optics Express, 2024, 32(23): 40507-40513. doi: 10.1364/OE.541656
    [26] ZHAO Z W, HU W J, ZHU S Q, et al. Wide-wavelength-tunable operation of Tm: GYAP disordered crystal laser with birefringence filtering[J]. Optik, 2024, 308: 171817. doi: 10.1016/j.ijleo.2024.171817
    [27] TAIRA T, SAIKAWA J, KOBAYASHI T, et al. Diode-pumped tunable Yb: YAG miniature lasers at room temperature: modeling and experiment[J]. IEEE Journal of Selected Topics in Quantum Electronics, 1997, 3(1): 100-104. doi: 10.1109/2944.585821
    [28] BRENIER A, GUYOT Y, CANIBANO H, et al. Growth, spectroscopic, and laser properties of Yb3+-doped Lu3Al5O12 garnet crystal[J]. Journal of the Optical Society of America B, 2006, 23(4): 676-683. doi: 10.1364/JOSAB.23.000676
  • 加载中
图(13) / 表(1)
计量
  • 文章访问数:  99
  • HTML全文浏览量:  35
  • PDF下载量:  9
  • 被引次数: 0
出版历程
  • 收稿日期:  2025-04-16
  • 录用日期:  2025-06-12
  • 网络出版日期:  2025-07-01

目录

    /

    返回文章
    返回