留言板

尊敬的读者、作者、审稿人, 关于本刊的投稿、审稿、编辑和出版的任何问题, 您可以本页添加留言。我们将尽快给您答复。谢谢您的支持!

姓名
邮箱
手机号码
标题
留言内容
验证码

Gold nanowire bias-core PCF-SPR temperature and refractive index sensing

HOU Shang-lin DONG Jie YANG Xu-dong LIU Qing-min XIE Cai-jian WU Gang YAN Zu-yong

侯尚林, 董洁, 杨旭东, 刘庆敏, 谢彩健, 武刚, 晏祖勇. 金纳米线偏置芯光子晶体光纤表面等离子体共振温度与折射率传感[J]. 中国光学(中英文), 2026, 19(2): 382-394. doi: 10.37188/CO.EN-2025-0034
引用本文: 侯尚林, 董洁, 杨旭东, 刘庆敏, 谢彩健, 武刚, 晏祖勇. 金纳米线偏置芯光子晶体光纤表面等离子体共振温度与折射率传感[J]. 中国光学(中英文), 2026, 19(2): 382-394. doi: 10.37188/CO.EN-2025-0034
HOU Shang-lin, DONG Jie, YANG Xu-dong, LIU Qing-min, XIE Cai-jian, WU Gang, YAN Zu-yong. Gold nanowire bias-core PCF-SPR temperature and refractive index sensing[J]. Chinese Optics, 2026, 19(2): 382-394. doi: 10.37188/CO.EN-2025-0034
Citation: HOU Shang-lin, DONG Jie, YANG Xu-dong, LIU Qing-min, XIE Cai-jian, WU Gang, YAN Zu-yong. Gold nanowire bias-core PCF-SPR temperature and refractive index sensing[J]. Chinese Optics, 2026, 19(2): 382-394. doi: 10.37188/CO.EN-2025-0034

金纳米线偏置芯光子晶体光纤表面等离子体共振温度与折射率传感

详细信息
  • 中图分类号: TN29

Gold nanowire bias-core PCF-SPR temperature and refractive index sensing

doi: 10.37188/CO.EN-2025-0034
Funds: Supported by National Natural Science Foundation of China (No. 61665005); Natural Science Foundation of Gansu Province (No. 24JRRA208)
More Information
    Author Bio:

    HOU Shang-lin (1970—), male, born in Qin’an, Gansu Province, Professor, he received his PhD from Beijing University of Posts and Telecommunications in 2008. He is mainly engaged in the research of new optical fiber and high-speed optical communication devices, next-generation high-speed all-optical communication networks, optical fiber sensor devices and networks. E-mail: houshanglin@vip.163.com

    DONG Jie (2004—), Undergraduate student, mainly engaged in the study and research of optical fiber sensing technology. E-mail: DongJie13830816927@163.com

    Corresponding author: houshanglin@vip.163.com
  • 摘要:

    针对现有光子晶体光纤表面等离子体共振(PCF-SPR)传感器存在的金属薄膜涂覆工艺复杂、单参数检测集成度低等问题,本文提出一种基于金纳米线集成偏置芯PCF-SPR的双参数传感器。该传感器突破传统孔内镀膜或金属薄膜结构,通过化学气相沉积(CVD)将金纳米线直接附着于光纤包层,避免了镀膜不均问题并显著简化制备工艺。通过优化非对称偏置芯光纤结构并利用金纳米线的强局域场增强效应,该传感器在双偏振模式下实现了温度(25~60 °C)与折射率(1.31~1.40)的高灵敏度同步检测。仿真实验表明:x偏振模式可实现1.31~1.40折射率检测,最大波长灵敏度与振幅灵敏度分别达14800 nm/RIU和−1724.25 RIU−1,最高折射率分辨率为6.75×10−6 RIU;y偏振模式折射率检测范围达1.34~1.40,最大波长灵敏度与振幅灵敏度分别为28400 nm/RIU和−1298.93 RIU−1,最高折射率分辨率为3.52×10−6 RIU。在25~60 °C温度传感中,传感器表现出7.8 nm/°C的波长灵敏度与1.38×10−6 °C的高分辨率。该设计通过金纳米线与偏置芯结构的协同作用,在简化制备工艺的同时实现了多参数检测,为生化监测、环境传感等领域的集成化应用提供了新思路。

     

  • Figure 1.  Gold nanowire biased core PCF-SPR sensor. (a) Two-dimensional cross-sectional diagram; (b) three-dimensional structure; (c) three-dimensional perspective view

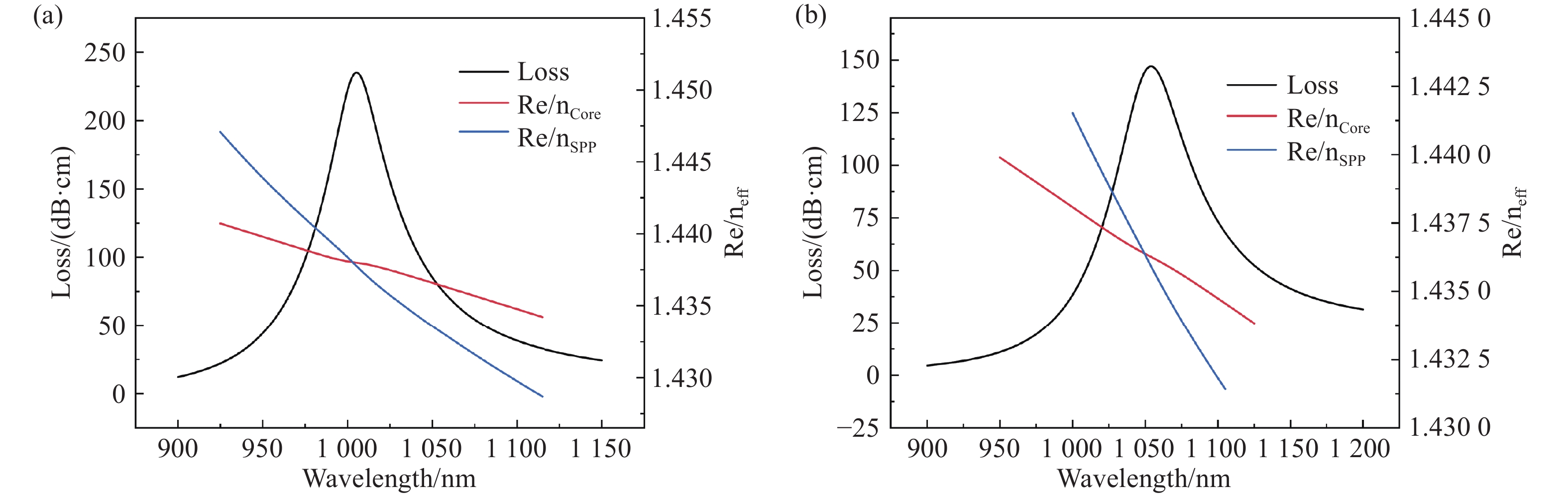
    Figure 2.  Confinement loss spectral and effective refractive index curves of the fundamental mode and SPP mode as a function of wavelength for (a) x-polarized fundamental mode and (b) y-polarized fundamental mode

    Figure 3.  Electric field distributions of x- and y-polarized fundamental modes at different wavelengths. (a) (d) 900 nm; (b) (e) 1055 nm; (c) (f) 1200 nm

    Figure 4.  Confinement spectra of (a) x-polarized fundamental mode and (b) y-polarized fundamental mode for different refractive indices

    Figure 5.  Variation of amplitude sensitivity with wavelength for (a) x-polarized fundamental mode and (b) y-polarized fundamental mode at different refractive indices

    Figure 6.  Variation of resonance wavelength with refractive index in (a) x-polarized fundamental mode and (b) y-polarized fundamental mode

    Figure 7.  Variation of refractive index of alcohol-chloroform mixtures with temperature

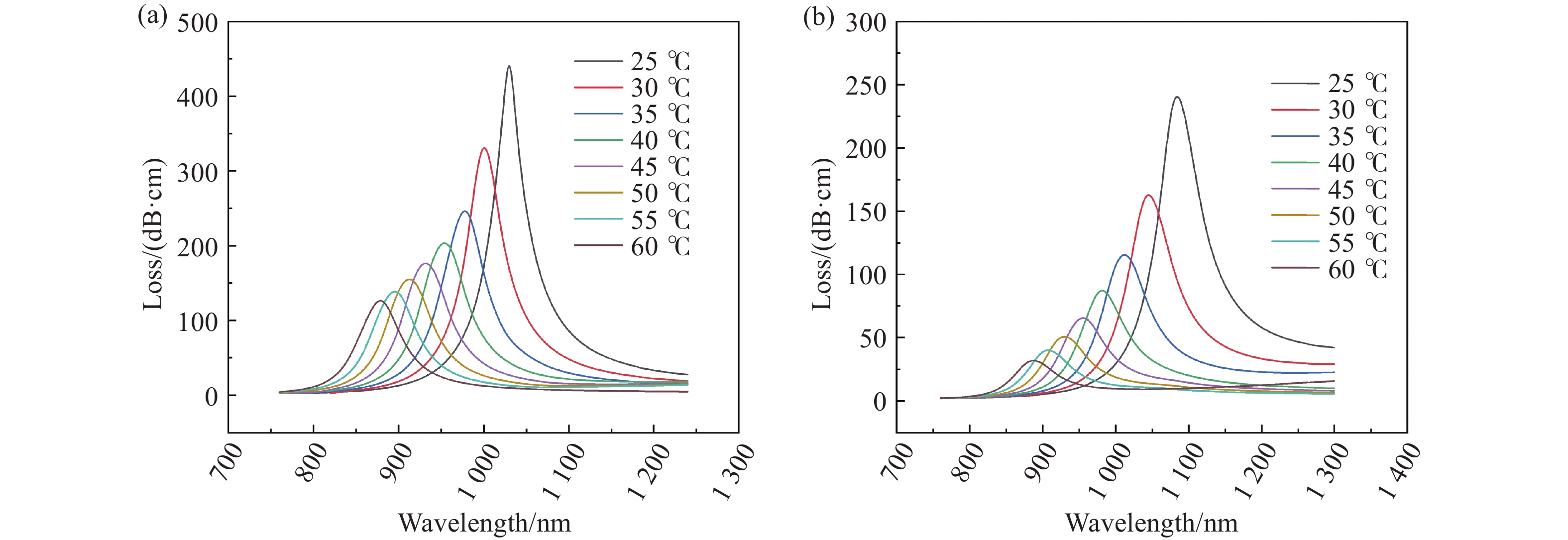
    Figure 8.  Confinement spectra of (a) x-polarized fundamental mode and (b) y-polarized fundamental mode at different temperatures

    Figure 9.  Variation of resonance wavelength with temperature in (a) x-polarization mode and (b) y-polarization mode

    Table  1.   Performance of single gold nanowire bias-core PCF-SPR refractive index sensor

    Refractive index of the
    substance to be measured (RIU)
    Polarization type Wavelength sensitivity
    (nm/RIU)
    Amplitude sensitivity
    (RIU−1)
    Resolution
    (RIU)
    1.31 x-polarization 1600 −192.57 6.25×10−5
    y-polarization
    1.32 x-polarization 2400 −235.16 4.17×10−5
    y-polarization
    1.33 x-polarization 2400 −291.80 4.17×10−5
    y-polarization
    1.34 x-polarization 3200 −362.15 3.13×10−5
    y-polarization 3200 −150.50 3.13×10−5
    1.35 x-polarization 4000 −459.04 2.50×10−5
    y-polarization 4400 −240.16 2.27×10−5
    1.36 x-polarization 4800 −586.60 2.08×10−5
    y-polarization 5600 −380.72 1.79×10−5
    1.37 x-polarization 6400 −778.15 1.56×10−5
    y-polarization 8000 −622.04 1.25×10−5
    1.38 x-polarization 9200 1176.40 1.09×10−5
    y-polarization 12000 1202.94 8.33×10−6
    1.39 x-polarization 14800 1724.25 6.75×10−6
    y-polarization 28400 1298.93 3.52×10−6
    1.40 x-polarization
    y-polarization
    下载: 导出CSV

    Table  2.   Temperature sensing performance of single gold nanowire bias-core PCF-SPR sensors

    Temperature to
    be measured ( °C)
    Polarization
    type
    Wavelength sensitivity
    (nm/°C)
    Resolution
    (°C)
    25 x-polarization 5.6 1.79×10−2
    y-polarization 7.8 1.28×10−2
    30 x-polarization 5 2×10−2
    y-polarization 7 1.43×10−2
    35 x-polarization 5.4 1.85×10−2
    y-polarization 6 1.67×10−2
    40 x-polarization 3.6 2.78×10−2
    y-polarization 5.4 1.85×10−2
    45 x-polarization 3.8 2.63×10−2
    y-polarization 4.8 2.08×10−2
    50 x-polarization 3.6 2.78×10−2
    y-polarization 4.4 2.27×10−2
    55 x-polarization 3.2 3.13×10−2
    y-polarization 4 2.5×10−2
    60 x-polarization
    y-polarization
    下载: 导出CSV

    Table  3.   Comparison of sensing performance of different PCF-SPR sensors

    Sensor structure Temperature ( °C) RI (RIU) ST (nm/°C) Sλ (nm/RIU) Year Ref.
    Dual symmetrical eccentric-core 1.13~1.35 17500 2020 [27]
    PCF 1.13~1.45 40000 2023 [28]
    PCF 1.34-1.39 51200 2024 [29]
    ARF 20-30 10.8 2024 [30]
    PCF 0-100 1.410~1.435 6.6 29800 2025 [31]
    PCF 25-60 1.31~1.40 7.8 28400 2025 This work
    下载: 导出CSV
  • [1] ABDELMALEK F. Study of the optical properties of corroded gold-aluminum films using surface plasmon resonances[J]. Thin Solid Films, 2001, 389(1-2): 296-300. doi: 10.1016/S0040-6090(01)00886-0
    [2] BARNES W L, DEREUX A, EBBESEN T W. Surface plasmon subwavelength optics[J]. Nature, 2003, 424(6950): 824-830. doi: 10.1038/nature01937
    [3] YAN H D, LIU B, FAN G H, et al. Tailoring the surface plasmon resonance energy of Au nanowire arrays by defect management and thermal treatment[J]. Physica E: Low-dimensional Systems and Nanostructures, 2020, 121: 114092. doi: 10.1016/j.physe.2020.114092
    [4] KELLY K L, CORONADO E, ZHAO L L, et al. The optical properties of metal nanoparticles: the influence of size, shape, and dielectric environment[J]. The Journal of Physical Chemistry B, 2003, 107(3): 668-677. doi: 10.1021/jp026731y
    [5] XIA Y, YANG P, SUN Y, et al. One-dimensional nanostructures: synthesis, characterization, and applications[J]. Advanced Materials, 2003, 15(5): 353-389. doi: 10.1002/adma.200390087
    [6] MIN R, LIU ZH Y, PEREIRA L, et al. Optical fiber sensing for marine environment and marine structural health monitoring: a review[J]. Optics & Laser Technology, 2021, 140: 107082.
    [7] LEAL-JUNIOR A G, THEODOSIOU A, MIN R, et al. Quasi-distributed torque and displacement sensing on a series elastic actuator's spring using FBG arrays inscribed in CYTOP fibers[J]. IEEE Sensors Journal, 2019, 19(11): 4054-4061. doi: 10.1109/JSEN.2019.2898722
    [8] LIU Q M, DONG J, LIU J Y, et al. Germanium doped D-shaped PCF-SPR methane high sensitivity sensor[J]. Physica Scripta, 2024, 99(11): 115512. doi: 10.1088/1402-4896/ad7fa0
    [9] LUAN N N, WANG R, LV W H, et al. Surface plasmon resonance sensor based on D-shaped microstructured optical fiber with hollow core[J]. Optics Express, 2015, 23(7): 8576-8582. doi: 10.1364/OE.23.008576
    [10] SARDAR R, FAISAL M. Dual-core dual-polished PCF-SPR sensor for cancer cell detection[J]. IEEE Sensors Journal, 2024, 24(7): 9843-9854. doi: 10.1109/JSEN.2024.3358173
    [11] HASSANI A, SKOROBOGATIY M. Design of the microstructured optical fiber-based surface plasmon resonance sensors with enhanced microfluidics[J]. Optics Express, 2006, 14(24): 11616-11621. doi: 10.1364/OE.14.011616
    [12] RIFAT A A, MAHDIRAJI G A, CHOW D M, et al. Photonic crystal fiber-based surface Plasmon resonance sensor with selective analyte channels and graphene-silver deposited core[J]. Sensors, 2015, 15(5): 11499-11510. doi: 10.3390/s150511499
    [13] LIU CH, WANG F M, LV J W, et al. A highly temperature-sensitive photonic crystal fiber based on surface Plasmon resonance[J]. Optics Communications, 2016, 359: 378-382. doi: 10.1016/j.optcom.2015.09.108
    [14] RIFAT A A, AHMED R, YETISEN A K, et al. Photonic crystal fiber based plasmonic sensors[J]. Sensors and Actuators B: Chemical, 2017, 243: 311-325. doi: 10.1016/j.snb.2016.11.113
    [15] LIU CH, SU W Q, WANG F M, et al. Birefringent PCF-based SPR sensor for a broad range of low refractive index detection[J]. IEEE Photonics Technology Letters, 2018, 30(16): 1471-1474. doi: 10.1109/LPT.2018.2856859
    [16] LI H P, RUAN J, LI X, et al. High-sensitivity temperature sensor based on photonic crystal fiber filled with ethanol and toluene[J]. ECS Journal of Solid State Science and Technology, 2023, 12(12): 127007. doi: 10.1149/2162-8777/ad1208
    [17] BING P B, HUANG SH CH, SUI J L, et al. Analysis and improvement of a dual-core photonic crystal fiber sensor[J]. Sensors, 2018, 18(7): 2051. doi: 10.3390/s18072051
    [18] FALAH A A S, WONG W R, MAHDIRAJI G A, et al. Single-mode D-shaped photonic crystal fiber surface plasmon resonance sensor with open microchannel[J]. Optical Fiber Technology, 2022, 74: 103105. doi: 10.1016/j.yofte.2022.103105
    [19] DU ZH H, LIU H L. Mid-infrared refractive index photonic crystal fiber sensor based on surface plasmon resonance for ultra-high sensitivity[J]. Laser Physics, 2023, 33(1): 016201. doi: 10.1088/1555-6611/aca4ca
    [20] LIU Q M, HOU SH L, LEI J L. Design and analysis of D-shaped surface Plasmon resonance fiber biosensor for liquid analytes[J]. Acta Photonica Sinica, 2022, 51(9): 0906007. doi: 10.3788/gzxb20225109.0906007
    [21] ZHOU CH. Theoretical analysis of double-microfluidic-channels photonic crystal fiber sensor based on silver nanowires[J]. Optics Communications, 2013, 288: 42-46. doi: 10.1016/j.optcom.2012.09.060
    [22] QIN J Y, MENG ZH Y, GAO J L, et al. Surface plasmon enhanced polarization filter of high birefringence photonic crystal fiber with a partial core based on filled silver nanowire[J]. Optical Fiber Technology, 2020, 60: 102342. doi: 10.1016/j.yofte.2020.102342
    [23] MESHGINQALAM B, BARVESTANI J. Highly sensitive photonic crystal fiber-based plasmonic biosensor with improved malaria detection application[J]. The European Physical Journal Plus, 2022, 137(5): 581. doi: 10.1140/epjp/s13360-022-02801-9
    [24] LIU Q M, DONG J, HOU SH L, et al. Multi-parameter gold-film embedded PCF sensors based on surface plasmon resonance[J]. Plasmonics, 2024, 20(1): 93-103. doi: 10.1007/s11468-024-02263-y
    [25] SELVENDRAN S, RAJA A S, YOGALAKSHMI S. A highly sensitive surface Plasmon resonance biosensor using photonic crystal fiber filled with gold nanowire encircled by silicon lining[J]. Optik, 2018, 156: 112-120. doi: 10.1016/j.ijleo.2017.10.157
    [26] LIU CH, YANG L, LIU Q, et al. Analysis of a surface Plasmon resonance probe based on photonic crystal fibers for low refractive index detection[J]. Plasmonics, 2018, 13(3): 779-784. doi: 10.1007/s11468-017-0572-7
    [27] WANG J W, LIU CH, WANG F M, et al. Surface plasmon resonance sensor based on coupling effects of dual photonic crystal fibers for low refractive indexes detection[J]. Results in Physics, 2020, 18: 103240. doi: 10.1016/j.rinp.2020.103240
    [28] HE J, WANG J X, YANG L, et al. Ring-core photonic crystal fiber sensor based on SPR for extra-wide refractive index detection[J]. Coatings, 2023, 13(7): 1207. doi: 10.3390/coatings13071207
    [29] LIU J Y, DONG J, LIU Q M, et al. High-performance gold-nanowires-coated PCF-SPR sensor for refractive index detection[J]. Plasmonics, 2024, 20(6): 3753-3762. doi: 10.1007/s11468-024-02582-0
    [30] LIU M Q, LI X L, LIU W, et al. ARF dual-channel magnetic field and temperature sensor based on the SPR effect[J]. Plasmonics, 2024, 19(5): 2729-2742. doi: 10.1007/s11468-024-02194-8
    [31] XU T F, PU SH L, HUANG S Y, et al. Three-channel photonic crystal fiber sensor for simultaneous measurement of magnetic field, temperature, and refractive index[J]. IEEE Sensors Journal, 2025, 25(6): 9593-9599. doi: 10.1109/JSEN.2025.3537606
    [32] LIU J Y, DONG J, HOU SH L, et al. Design of a gold-nanowires embedded PCF for magnetic field and temperature sensing[J]. Plasmonics, 2025, 20(5): 2457-2466.
    [33] MUMTAZ F, ZHANG B H, ROMAN M, et al. Computational study: windmill-shaped multi-channel SPR sensor for simultaneous detection of multi-analyte[J]. Measurement, 2023, 207: 112386. doi: 10.1016/j.measurement.2022.112386
    [34] LYU T T, ARCHAMBAULT C M, HATHAWAY E, et al. Self-limiting sub-5 nm nanodiamonds by geochemistry-inspired synthesis[J]. Small, 2023, 19(33): 2300659. doi: 10.1002/smll.202300659
    [35] IBRAHIMI K M, KUMAR R, PAKHIRA W. C-grooved dual-core PCF SPR biosensor with graphene/au coating for enhanced early cancer cell detection[J]. Applied Physics A, 2024, 130(6): 439. doi: 10.1007/s00339-024-07593-6
    [36] AN G W, HAO X P, LI SH G, et al. D-shaped photonic crystal fiber refractive index sensor based on surface plasmon resonance[J]. Applied Optics, 2017, 56(24): 6988-6992. doi: 10.1364/AO.56.006988
    [37] LIU Y CH, LI SH G, CHEN H L, et al. Surface plasmon resonance induced high sensitivity temperature and refractive index sensor based on evanescent field enhanced photonic crystal fiber[J]. Journal of Lightwave Technology, 2020, 38(4): 919-928. doi: 10.1109/JLT.2019.2949067
    [38] GUO Y, LI J SH, LI SH G, et al. Dual-polarized optical sensing of microstructure fiber with pentagonal-lattice based on surface plasmon resonance in the near-IR spectrum[J]. Optik, 2020, 202: 163671. doi: 10.1016/j.ijleo.2019.163671
    [39] CHU S D, NAKKEERAN K, ABOBAKER A M, et al. Design and analysis of surface-plasmon-resonance-based photonic quasi-crystal fiber biosensor for high-refractive-index liquid analytes[J]. IEEE Journal of Selected Topics in Quantum Electronics, 2019, 25(2): 6900309.
    [40] MELWIN G, SENTHILNATHAN K. High sensitive D-shaped photonic crystal fiber sensor with V-groove analyte channel[J]. Optik, 2020, 213: 164779. doi: 10.1016/j.ijleo.2020.164779
    [41] LI T SH, ZHU L Q, YANG X CH, et al. A refractive index sensor based on H-shaped photonic crystal fibers coated with ag-graphene layers[J]. Sensors, 2020, 20(3): 741. doi: 10.3390/s20030741
    [42] BARNES N P, PILTCH M S. Temperature-dependent Sellmeier coefficients and coherence length for cadmium telluride[J]. Journal of the Optical Society of America, 1977, 67(5): 628-629. doi: 10.1364/JOSA.67.000628
  • 加载中
图(9) / 表(3)
计量
  • 文章访问数:  392
  • HTML全文浏览量:  249
  • PDF下载量:  18
  • 被引次数: 0
出版历程
  • 收稿日期:  2025-07-04
  • 修回日期:  2025-07-21
  • 录用日期:  2025-08-25
  • 网络出版日期:  2025-09-20

目录

    /

    返回文章
    返回