Turn off MathJax
Article Contents
DONG Zhu-jun, ZHANG Ran-ran, ZHOU Yi-ping, ZENG Wen-bin, ZHAO Chong-xiao, HUANG Pan, GUO Jin, CHEN Fei, PAN Qi-kun. RF waveguide CO2 laser amplification technology[J]. Chinese Optics. doi: 10.37188/CO.2025-0113
Citation: DONG Zhu-jun, ZHANG Ran-ran, ZHOU Yi-ping, ZENG Wen-bin, ZHAO Chong-xiao, HUANG Pan, GUO Jin, CHEN Fei, PAN Qi-kun. RF waveguide CO2 laser amplification technology[J]. Chinese Optics. doi: 10.37188/CO.2025-0113

RF waveguide CO2 laser amplification technology

cstr: 32171.14.CO.2025-0113
Funds:  Supported by National Natural Science Foundation of China (No. 62405313, No. 62335016, No.12305222); The Strategic Priority Research Program of the Chinese Academy of Sciences (No. XDA 0380200); Youth Innovation Promotion Association, CAS (No. 2021216)
More Information
  • Corresponding author: zhouyiping2020@126.com
  • Received Date: 01 Sep 2025
  • Accepted Date: 14 Oct 2025
  • Available Online: 09 Feb 2026
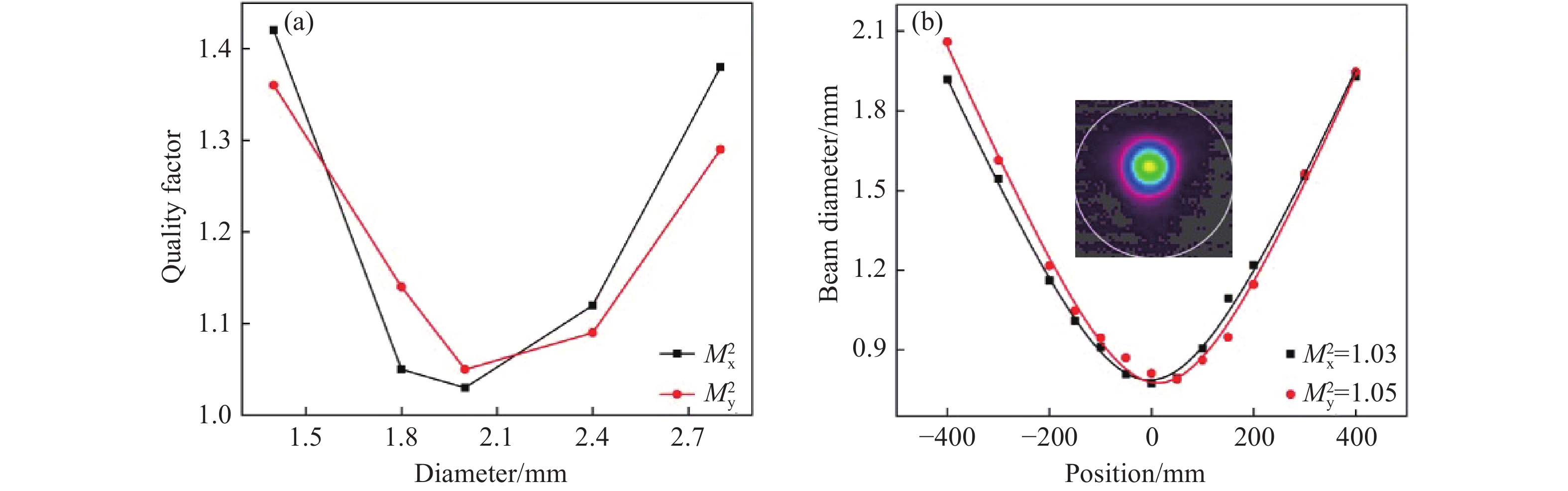
  • Toward the application demand for high-power, high-beam-quality CO2 seed lasers in extreme ultraviolet lithography light sources, the CO2 laser amplification technology were investigated based on a radio-frequency (RF) waveguide architecture. On one hand, The static insertion loss and output beam quality of the RF waveguide amplifier were measured as a function of incident beam parameters and the optimal mode-matching parameters were determined. On the other hand, a numerical model of the multi-stage RF waveguide amplification was developed and to evaluate the effects of the gas pressure and the discharge pumping power on the amplification factor. The technology of regulating with gain medium was implemented to optimize the amplification performance in the experiment. The experimental results indicate that the optimal mode-matching conditions were identified with a waveguide length of 2.5 m, yielding a transmission efficiency of 91.4%. The beam quality factors of the output beam in the horizontal and vertical directions were 1.03 and 1.05, respectively. An overall amplification factor of 68× was achieved in a dual-stage RF waveguide amplifier. The system delivered CO2 laser emission with a repetition rate of 50 kHz, a pulse duration of 20 ns, and an average output power of 17.1 W, satisfying the design criteria and demonstrating its suitability for high-power, high-beam-quality seed laser applications.

     

  • loading
  • [1]
    YANG Y X, LIU K X, GAO Y H, et al. Advancements and challenges in inverse lithography technology: a review of artificial intelligence-based approaches[J]. Light: Science & Applications, 2025, 14(1): 250.
    [2]
    王佶, 赵昆. 高重复频率极紫外光源的产生和光谱技术研究进展[J]. 中国激光, 2024, 51(7): 0701002. doi: 10.3788/CJL231498

    WANG J, ZHAO K. Research progress in generation and spectral technology of high-repetition-rate extreme-ultraviolet-light sources[J]. Chinese Journal of Lasers, 2024, 51(7): 0701002. (in Chinese). doi: 10.3788/CJL231498
    [3]
    付轹文, 林楠. 面向极紫外光刻光源液滴锡靶的光学测量与检测进展[J]. 激光与光电子学进展, 2025, 62(13): 1300006. doi: 10.3788/LOP242388

    FU L W, LIN N. Progress in optical measurement and detection of tin droplets for extreme ultraviolet lithography light sources[J]. Laser & Optoelectronics Progress, 2025, 62(13): 1300006. (in Chinese). doi: 10.3788/LOP242388
    [4]
    SHEN W H, LU Q P, SONG Y, et al. Study on tin contamination deposition mechanism on collector mirror surfaces in LPP-EUV light sources based on hydrodynamics and particle simulation theory[J]. Vacuum, 2025, 233: 114024. doi: 10.1016/j.vacuum.2025.114024
    [5]
    游聪, 黄维, 林高洁, 等. 基于遗传算法的快轴流CO2激光放大器的参数优化[J]. 中国激光, 2024, 51(7): 0701016. doi: 10.3788/CJL231509

    YOU C, HUANG W, LIN G J, et al. Optimization of fast axial flow CO2 laser amplifier parameters based on genetic algorithm[J]. Chinese Journal of Lasers, 2024, 51(7): 0701016. (in Chinese). doi: 10.3788/CJL231509
    [6]
    黄盼, 赵崇霄, 董祝君, 等. 射频轴快流CO2激光器动态L型阻抗匹配网络设计[J]. 中国光学(中英文), 2025, 18(5): 1155-1163. doi: 10.37188/CO.2024-0096

    HUANG P, ZHAO CH X, DONG ZH J, et al. Design of dynamic L-type impedance matching network in RF excited fast axial flow CO2 lasers[J]. Chinese Optics, 2025, 18(5): 1155-1163. (in Chinese). doi: 10.37188/CO.2024-0096
    [7]
    RAZEGHI M, BAI Y B, WANG F H. High-power, high-wall-plug-efficiency quantum cascade lasers with high-brightness in continuous wave operation at 3-300μm[J]. Light: Science & Applications, 2025, 14(1): 252.
    [8]
    ZHANG R R, GAO Y, PAN Q K, et al. Experimental study on optical isolation characteristics of SF6 for a high-repetition-rate nanosecond CO2 laser[J]. Applied Optics, 2025, 64(8): 1949-1955. doi: 10.1364/AO.544457
    [9]
    杜彤耀. 高损伤阈值空间光调制器关键技术及应用研究[D]. 合肥: 中国科学技术大学, 2023: 38-62.

    DU T Y. Research on key technology and application of high laser damage threshold spatial light modulator[D]. Hefei: University of Science and Technology of China, 2023: 38-62. (in Chinese).
    [10]
    HUMMLER K, ZHU Q SH, BEHM K, et al. High-power EUV light sources (>500W) for high throughput in next-generation EUV lithography tools[J]. Proceedings of SPIE, 2024, 12953: 129530V.
    [11]
    IWAMOTO F, UENO Y, NAGAI S, et al. Development progress of Gigaphoton’s LPP EUV light source for inspection systems[J]. Proceedings of SPIE, 2024, 12953: 1295313. doi: 10.1117/12.3010135
    [12]
    NOWAK K M, SUGANUMA T, ENDO A, et al. Efficient and compact short pulse MOPA system for laser-produced-plasma extreme-UV sources employing RF-discharge slab-waveguide CO2 amplifiers[J]. Proceedings of SPIE, 2008, 7005: 70051Q. doi: 10.1117/12.782606
    [13]
    SCHAFGANS A A, BROWN D J, FOMENKOV I V, et al. Performance optimization of MOPA pre-pulse LPP light source[J]. Proceedings of SPIE, 2015, 9422: 94220B. doi: 10.1117/12.2087421
    [14]
    NOWAK K M, OHTA T, SUGANUMA T, et al. Multiline short-pulse solid-state seeded carbon dioxide laser for extreme ultraviolet employing multipass radio frequency excited slab amplifier[J]. Optics Letters, 2013, 38(6): 881-883. doi: 10.1364/OL.38.000881
    [15]
    BRANDT D C, FOMENKOV I V, FARRAR N R, et al. CO2/Sn LPP EUV sources for device development and HVM[J]. Proceedings of SPIE, 2013, 8679: 86791G.
    [16]
    叶静涵, 朱子任, 白进周, 等. 高气压同位素CO2皮秒激光脉冲放大输出特性理论研究[J]. 中国激光, 2023, 50(11): 1101017. doi: 10.3788/CJL221558

    YE J H, ZHU Z R, BAI J ZH, et al. Theoretical research on output characteristics of high-pressure isotope CO2 picosecond pulse laser amplification[J]. Chinese Journal of Lasers, 2023, 50(11): 1101017. (in Chinese). doi: 10.3788/CJL221558
    [17]
    肖龙胜, 唐霞辉, 秦应雄, 等. 2 kW射频板条CO2激光器输出光束整形特性研究[J]. 中国激光, 2014, 41(4): 0402008. doi: 10.3788/CJL201441.0402008

    XIAO L SH, TANG X H, QIN Y X, et al. Shaping characteristics of output beam of 2 kW radio frequency slab CO2 laser[J]. Chinese Journal of Lasers, 2014, 41(4): 0402008. (in Chinese). doi: 10.3788/CJL201441.0402008
    [18]
    张冉冉. 短脉冲CO2激光放大与噪声光隔离技术研究[D]. 长春: 中国科学院大学(中国科学院长春光学精密机械与物理研究所), 2021: 20-28.

    ZHANG R R. Study on technology of short pulse CO2 laser amplification and noise isolation[D]. Changchun: University of Chinese Academy of Sciences (Changchun Institute of Optics, Fine Mechanics and Physics, Chinese Academy of Sciences), 2021: 20-28. (in Chinese).
    [19]
    GORDON I E, ROTHMAN L S, HARGREAVES R J, et al. The HITRAN2020 molecular spectroscopic database[J]. Journal of Quantitative Spectroscopy and Radiative Transfer, 2022, 277: 107949. doi: 10.1016/j.jqsrt.2021.107949
    [20]
    ILUKHIN B I, UDALOV Y B, KOCHETOV I V, et al. Theoretical and experimental investigation of a waveguide CO2 laser with radio-frequency excitation[J]. Applied Physics B, 1996, 62(2): 113-127. doi: 10.1007/BF01081112
  • 加载中

Catalog

    通讯作者: 陈斌, bchen63@163.com
    • 1. 

      沈阳化工大学材料科学与工程学院 沈阳 110142

    1. 本站搜索
    2. 百度学术搜索
    3. 万方数据库搜索
    4. CNKI搜索

    Figures(6)

    Article views(154) PDF downloads(6) Cited by()
    Proportional views
    Related

    /

    DownLoad:  Full-Size Img  PowerPoint
    Return
    Return