Current Issue

Review
A review of methods for suppressing the influence of polarization characteristics in optical systems
LUO Jing, CHEN Xing-da, LV Ning-rui, TONG Ya-nan, LI Jing-yi, ZHANG Xiao-hui, DONG Ji-hong
2025, 18(5): 979-1015. doi: 10.37188/CO.2025-0066
Abstract:

The polarization characteristics of optical systems enable to change the polarization state of incident light, thereby affecting the imaging quality and detection accuracy, and other aspects. For optical instruments such as telescopes and lithography lenses, polarization characteristics are important factors that determine the performance of these systems. Therefore, suppressing the adverse effects of polarization characteristics in optical systems holds significant importance for achieving high-performance modern optical systems. This paper summarizes the current research status of methods for suppressing the impacts of polarization characteristics in optical systems,categorizing the existing approaches into three types: polarization calibration, polarization compensation, and low polarization optimization design. The fundamental principles of these three methods are introduced, and the classification and discussion of each method with practical application examples are provided. Finally, the paper analyzes the connections among the three types of methods and their synergistic applications, as well as discusses and provides prospects for the future development of methods to suppress the impacts of polarization characteristics in optical systems.

Original Article
Simultaneous measurement of radial angular displacement and longitudinal linear displacement with cascade metasurfaces
ZHANG Zhen-yu, ZHANG Wei, LIU Rui, ZHANG Jing-ying, LI Wen-hao
2025, 18(5): 1016-1026. doi: 10.37188/CO.2025-0033
Abstract:

To solve the problem of existing metasurface displacement measurement techniques unable to measure multiple physical quantities simultaneously, this paper proposes a metasurface cascade structure that can measure radial angular displacement and longitudinal linear displacement simultaneously. First, the working principle of displacement measurement is described according to the joint phase modulation of circular polarized light by a cascade metasurface. Secondly, the displacement information carried by the phase delay is analyzed using the Jones transport matrix, and the angular and linear displacements are mathematically characterized. Then, the design objective is used as a constraint to optimize unit structure parameters and create metasurface models. Finally, the finite-difference time-domain method is used to simulate the metasurface structures, validate the method's feasibility, and evaluate the device's measurement performance. The results show that the angular displacement sensitivity is 0.9716 with a theoretical resolution of 34.27 μrad, and the linear displacement sensitivity is 0.0041 with a theoretical resolution of 8.12 nm at the working wavelength of 633 nm. The measurement freedom of metasurface displacement measurement technology is improved by this method. It is hoped to be further expanded to six dimensions so that the measured target's entire attitude can be determined.

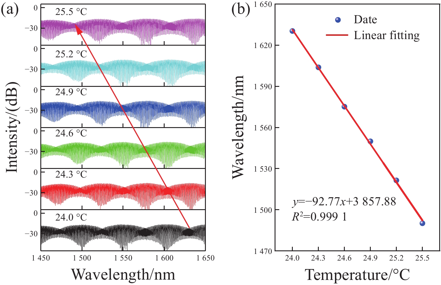
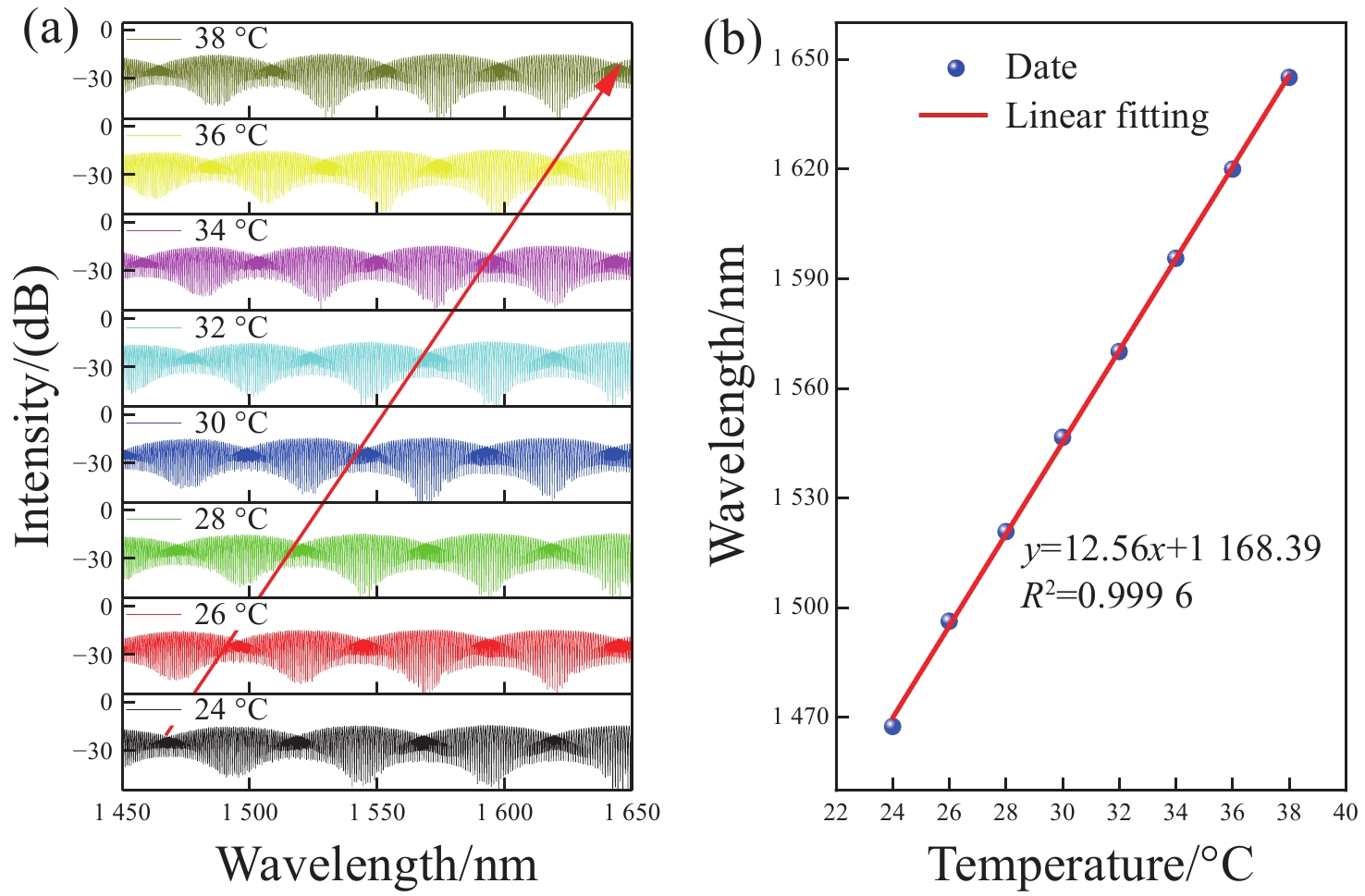
Sensitivity-enhanced fiber-optic temperature sensor using cascaded Lyot-Sagnac and Fabry-Pérot interferometers
ZHANG Guo-sheng, CHEN Yu-lei, CHAI Guo-qiang, HAN Jian-ning
2025, 18(5): 1027-1035. doi: 10.37188/CO.2025-0068
Abstract:

To effectively enhance detection sensitivity and practicality, this paper proposes a fiber-optic temperature sensor based on a cascaded Lyot-Sagnac sensing structure sensitized by the Vernier effect and a Fabry-Pérot interferometer (FPI). The Lyot-Sagnac structure is fabricated by splicing polarization-maintaining fibers (PMFs) of different lengths with a 90° rotation, while the FPI is constructed using a hollow-core photonic crystal fiber (HCPCF) as the Fabry-Pérot cavity. The results of theoretical analysis demonstrates that the Lyot-Sagnac structure fabricated via the 90° rotated splicing method exhibits a well-defined output spectral envelope. When cascaded with an FPI, it can significantly improve temperature detection sensitivity through the Vernier effect. The experimental results show that the temperature sensitivity of the cascaded sensor is 12.56 nm/°C and 92.77 nm/°C when utilizing PMFs of different lengths in the Lyot-Sagnac sensor structure as the sensing regions. Compared to the standalone Lyot-Sagnac interferometeric structure, the sensitivity of the proposed sensor is improved by approximately 57 times. In addition, under the same measurement bandwidth, the measurement range of PMF1 mode is 9.3 times that of PMF2 mode. Therefore, compared to the traditional vernier-effect-based fiber-optic temperature sensors, the dual-response-mode temperature sensor proposed in this paper not only exhibits superior detection sensitivity, but also enables effective adaptation to application scenarios requiring different detection ranges and sensitivity levels using the same spectral detection equipment, providing a new idea for developing tunable-performance fiber-optic temperature sensors.

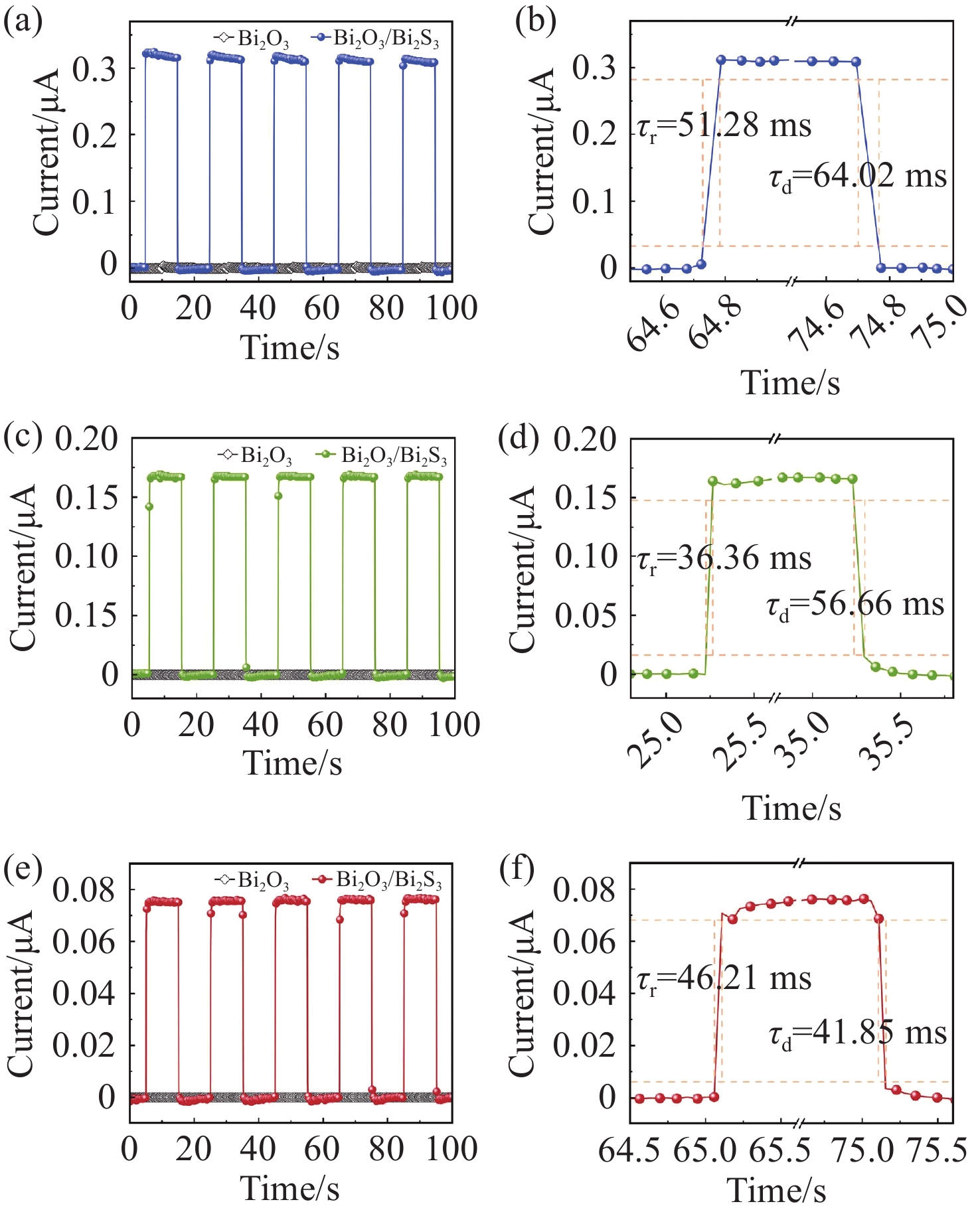
Bi2O3/Bi2S3 heterojunction composite preparation and photodetection performance
FANG Xiang-ming, ZHANG Rong-ke, SUN Yu, WU Wei-yu, ZHU Jian-hua, YOU Xiu-fen, GAO Shi-yong
2025, 18(5): 1036-1043. doi: 10.37188/CO.2024-0218
Abstract:

The Bi2O3/Bi2S3 heterojunction composite was prepared by thermal polymerization combined with room temperature solution method, and its micromorphology, crystal structure and elemental composition were characterized. The results demonstrate that the Bi2O3/Bi2S3 heterojunction composite exhibits a bulk morphology, accompanied by the presence of pores and a relatively rough surface. Based on the Bi2O3/Bi2S3 heterojunction composite, the photodetector was fabricated and its photodetection performance was measured under zero bias voltage. When exposed to ultraviolet (UV) light, the maximum photocurrent (0.32 μA) and response speed (65.65/80.56 ms) of the Bi2O3/Bi2S3 photodetector are significantly enhanced compared to those of the Bi2O3 photodetector. In addition, the device exhibits a wide photodetection band from the UV to the visible (Vis) spectrum, as well as fast and stable self-driven photodetection capability. This is mainly attributed the successful coupling of Bi2O3 and Bi2S3 with a narrow band gap, resulting in the formation of a heterojunction composite that exhibits a type II band structure. It is noteworthy that the photodetection performance of the device was measured by continuously alternating between blue light on and off for 100 times. This indicates that the Bi2O3/Bi2S3 photodetector exhibits excellent cycle stability.

Development of multi-channel negative filter film in bioluminescence system
QI Hao-di, FU Xiu-hua, PAN Yong-gang, SHI Peng, WANG Ben, LIN Zhao-wen, DONG Suo-tao, ZHAO Bao-liang, LI Shuang
2025, 18(5): 1044-1054. doi: 10.37188/CO.2024-0144
Abstract:

With the rapid development of bioluminescence technology, the demand for high-precision signal transmission has increased significantly. As the filter film is the core component of the system, the spectral characteristic of the filter film directly affects the accuracy of signal transmission. In this study, Nb2O5 and SiO2 were selected as high and low refractive index materials, respectively. A multi-channel negative filter was optimized using the Gaussian apodization function and Optilayer software. The filter film was deposited on a D263T substrate using an inductively coupled magnetron sputtering technique. The effect of thickness control errors on spectral shift and passband transmittance was addressed through inverse film sensitivity analysis. The effect of process parameters on film roughness was investigated, and it was found that adjusting the inductively coupled plasma (ICP) power could effectively improve film roughness. When the developed multi-channel negative filter was tested at a 45° angle of incidence, the reflectance half-bandwidths of the center wavelengths of 576 nm, 639 nm, and 690 nm were 5 nm, 6 nm and 7 nm, respectively, with an average reflectance of about 98%. The average transmittance in the transmission ranges of 545−562 nm, 597−624 nm, 655−675 nm, and 708−755 nm was 92%. The multi-channel negative filter successfully passed both the environmental resistance test and the spectral stability test, thus meeting the application requirements of the multi-channel negative filter in the bioluminescence system.

Design of flow-phase single-molecule immunoassay detection system
HU Peng-tao, GAO Ruo-qian, GE Ming-feng, DONG Wen-fei, LI Li, SU Xin-ran
2025, 18(5): 1055-1065. doi: 10.37188/CO.2025-0045
Abstract:

We develop a single-molecule immunoassay detection system for flow-phase samples to enable early diagnosis of tumor biomarkers. The system includes an optical fluorescence imaging platform and an image processing algorithm. First, we developed a flow-phase single-molecule immunoassay detection method suitable for real-time detection of low-concentration, high-throughput samples. Second, we designed a set of fluorescence imaging detection platform compatible with microfluidic chips. Through the rational configuration of optical filters and beam splitters, high-resolution fluorescence imaging was achieved by utilizing multi-module integration. Finally, based on the image detection and counting algorithm for out-of-focus particles, we optimized a feature-matching algorithm to effectively detect out-of-focus fluorescent particles. Experimental results demonstrate a detection limit of 0.001 pg/mL within a linear range of 0.001−1 pg/mL, with coefficient of variation below 10%. The system can process up to 10 samples per hour. These findings indicate that our system meets the requirements for stable, sensitive, and high-throughput single-molecule immunoassay detection, showing promising potential for early cancer screening.

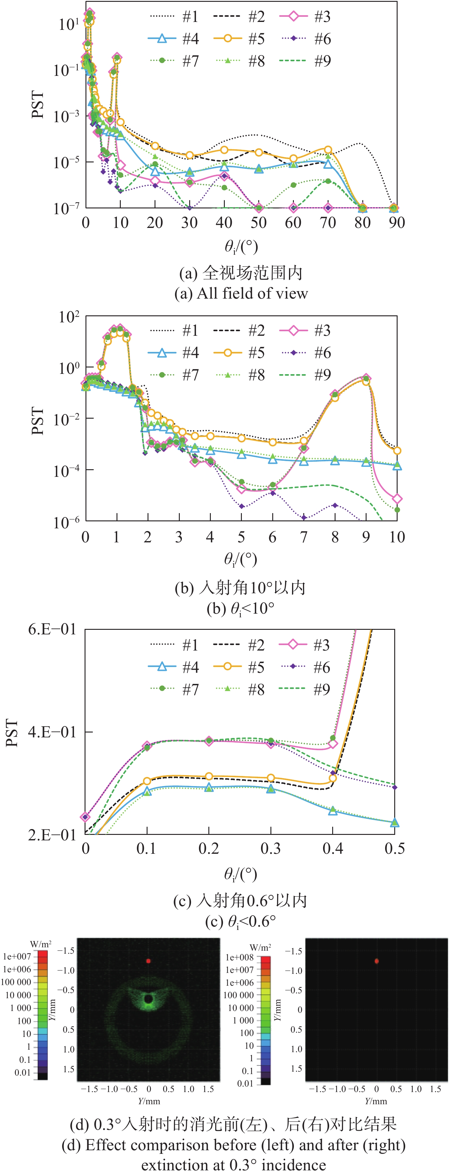
Analysis and suppression of stray light in Doppler asymmetric spatial heterodyne interferometer for spaceborne wind field detection at 557.7 nm band
LIU Zi-wei, JIANG Lun, HE Xin-tong, WANG Ruo-qing
2025, 18(5): 1066-1075. doi: 10.37188/CO.2025-0060
Abstract:

The impact of atmospheric background radiation on imaging quality in wind field detection by the Doppler Asymmetric Spatial Heterodyne (DASH) interferometers is investigated, and a stray light suppression structure is designed. Utilizing orbital parameters and observation geometry, the influence of atmospheric background radiation on the signal-to-noise ratio (SNR) at varying altitudes is analyzed. Subsequently, a baffle is designed by considering system parameters and SNR variation patterns, with its suppression efficacy evaluated via point source transmittance (PST). The results demonstrate that atmospheric background radiation intensifies with decreasing altitude, leading to progressive SNR degradation. PST curves indicate that in-field PST is stable and unaffected by the baffle, preserving target light detection capability. Out-of-field PST decreases with increasing off-axis angle, dropping below 10−8 near the critical stray light suppression angle of 1.07°. The proposed suppression design fulfills system requirements for atmospheric background radiation mitigation.

High-precision registration methods for GM-APD LiDAR point clouds in dynamic scanning scenarios
ZHONG Guo-shun, LIU Qiu-zuo, LI Meng, PENG Tao, SUN Jian-feng, LIU Jian-wei
2025, 18(5): 1076-1085. doi: 10.37188/CO.2025-0073
Abstract:

Aiming at the issues of low overlapping rates of adjacent-frame point clouds and the tendency to forcibly register non-matching point pairs in Geiger-mode avalanche photodiode (GM-APD) LiDAR when used in dynamic scanning conditions, an enhanced iterative closest point (ICP) algorithm is proposed based on a bidirectional matching scheme and multi-resolution neighborhood expansion to improve registration accuracy and robustness. First, a K-D tree-based bidirectional search identifies overlapping regions between consecutive frames, enabling accurate initial alignment. Then, a high-resolution neighborhood expansion approach, weighted by local curvature similarity, is applied to refine the transformation matrix and suppress mismatched correspondences. Finally, a cascaded compensation mechanism ensures global consistency across frames. Experiment results demonstrate that our method achieves average distance errors of 0.21 m (2 km scene) and 0.10 m (400 m scene), effectively improving registration precision in dynamic scenarios and offering valuable support for 3D reconstruction.

Error correction of complex texture objects based on bidirectional fringe projection point cloud matching
ZHANG Zheng-qi, CHEN Yu-chong, DA Fei-peng, GAI Shao-yan
2025, 18(5): 1086-1096. doi: 10.37188/CO.2025-0040
Abstract:

In structured light 3D measurement systems, defocusing of the camera is inevitable. Because of camera defocus, the object’s complex surface texture introduces substantial phase errors, degrading measurement accuracy. To address this issue, this paper analyzes and formulates an error model for phase distortions arising from complex textures, and elucidates the relationship between the phase error and the direction of texture edge. Thus, a correction method for complex texture errors based on bidirectional fringe projection point cloud fitting is proposed. Theoretically, the bidirectional phase information obtained by projecting horizontal and vertical fringe patterns should yield perfect consistent point clouds. Thus, the method corrects the phase by minimizing the Euclidean distance between the corresponding points in the horizontal and vertical point clouds, ultimately obtaining the corrected point cloud. To remove global shifts from calibration parameter errors, a pre-correction process is applied through point cloud matching. In comparative experiments, our method achieves up to 33.6% reduction in the mean absolute error (MAE) and 39.1% reduction in the root mean square error (RMSE) versus conventional approaches. These results demonstrate its superior accuracy for reconstructing objects with complex texture.

Single-frame color stripe contour technique based on fast iterative filtering
WEI Peng-fei, DU Hu-bing, ZHU Qian, LIU Chang, LI Yan-jie
2025, 18(5): 1097-1110. doi: 10.37188/CO.2024-0213
Abstract:

In order to achieve real-time 3D measurement of dynamic objects and to overcome the measurement accuracy limitations caused by spectral aliasing of different carrier frequencies in traditional Fourier demodulation methods, as well as the color coupling problem in color composite stripe projection techniques, this paper proposes a three-frequency color stripe projection profilometry method based on fast iterative filtering. The method first captures a color image using a CCD camera, where the red, green, and blue channels carry gray stripe images with different carrier frequencies. Background interference is then reduced by component subtraction, followed by carrier frequency separation and color decoupling using fast iterative filtering. Subsequently, the Fourier transform is applied to the carrier-frequency stripe images in the red, green, and blue channels and the wrapped phase information is extracted. To achieve accurate phase unwrapping, a spatial domain unwrapping algorithm is employed. The low-frequency phase is first unwrapped, followed by the middle and high-frequency phases, which are unwrapped sequentially to complete the entire phase unwrapping process. The simulation and experimental results demonstrate that the proposed method exhibits a phase unwrapping accuracy that is 7 times higher than that of traditional Fourier methods. In comparison with other single-frame demodulation methods, the proposed method demonstrates superior accuracy and robust noise resistance, thus providing an effective technical solution for high-precision, dynamic real-time 3D measurement.

Monocular camera-based relative position and orientation estimation system for space targets
ZHI Shuai, DING Guo-peng, HAN Shi-hao, ZHANG Yong-he, ZHU Zhen-cai
2025, 18(5): 1111-1123. doi: 10.37188/CO.2025-0057
Abstract:

To enhance the stability and accuracy of estimation systems for ultra-close high-precision docking of spacecrafts, this article proposes a system for high-precision estimation of relative position and orientation between two satellites. Through vision cameras on the chaser satellite and co-designed LED targets on the target satellite, precise relative pose measurement is achieved within 0.4−50 meters. To ensure clear imaging within the effective range, both far-field and near-field LED targets were designed. A multi-scale centroid extraction algorithm was proposed based on target characteristics, while slope consistency constraints and spacing ratio screening were employed to guarantee target feature acquisition under complex illumination conditions. Pose estimation utilizes target geometric constraints as initial values, employing iterative nonlinear optimization to refine results and effectively reduce measurement errors. Test results demonstrate progressively improving measurement accuracy from far to near distances. At 0.4 meters, position estimation achieves sub-millimeter precision while orientation estimation maintains sub-degree accuracy, meeting ultra-close-range docking requirements. This solution provides high-precision, high-stability technical support for relative position and orientation estimation between on-orbit space targets, demonstrating significant engineering application value.

On-chip training and its noise immunity for hybrid optical-electronic optical convolutional neural networks
SHAO Xiao-feng, SU Jing-yi, WANG Jin
2025, 18(5): 1124-1131. doi: 10.37188/CO.2025-0016
Abstract:

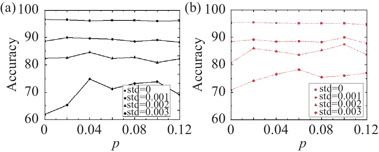
The hybrid optical-electronic optical convolutional neural network (OCNN) combines the parallel linear computation capabilities of photonic devices with the nonlinear processing advantages of electronic components, demonstrating significant potential in classification tasks. However, the fabrication inaccuracies of photonic devices and the circuit noise in FPGA-based backpropagation notably degrade the network performance. In this work, the hybrid optical-electronic OCNN is constructed, where the linear computations are performed by optical computing layers based on Mach-Zehnder interferometers (MZIs), while the pooling operations and the training process are implemented on the FPGA. This study focuses on the feasibility of on-chip training on FPGA, analyzing the impact of noise on training performance and proposing the network optimization strategies to enhance the noise immunity of OCNN. Specifically, the noise immunity is improved by adjusting the pooling method and pooling size, and the Dropout regularization is introduced after the pooling layer to further enhance the model's recognition accuracy. Experimental results indicate that the proposed on-chip training scheme effectively mitigates errors caused by the fabrication inaccuracy in the photonic devices. However, the circuit noise remains the primary factor limiting the OCNN performance. Notably, under the high circuit noise conditions, e.g. when the standard deviation of MZI phase error caused by circuit noise reaches 0.003, the combination of maximum pooling and Dropout regularization significantly improves the recognition accuracy of OCNN, which achieves a maximum of 78%. This research provides valuable insights for implementing on-chip training in OCNNs and explores new approaches for deploying hybrid optical-electronic architectures in high-noise environments.

High-speed measurement of Mueller matrix based on overdriving technique
GONG Zhong-xuan, LI Zi-fan, GONG Jun-hao, HAN Qi-rui, YU Bi-jun, MAO Hong-min, FAN Li-na, LU Huan-jun, CAO Zhao-liang
2025, 18(5): 1132-1142. doi: 10.37188/CO.2025-0055
Abstract:

This paper proposes a high-speed measurement method of Mueller matrix based on an overdriving technique exerted on a liquid crystal variable retarder. First, a liquid crystal-based simulation model of the Mueller matrix measurement system is established, which helps to confirm the feasibility of the system. Next, an overdriving scheme for the liquid crystal variable retarder is introduced to shorten the polarization-state switching time. Finally, the Mueller matrices of air, a polarizer, and a quarter-wave plate are measured experimentally. The results show that the generation frequency of six polarization states increases from 71 Hz to 417 Hz, and the measurement frequency of Mueller matrix increases from 10 Hz to 60 Hz, representing approximately a sixfold improvement. Furthermore, the mean squared error (MSE) of the measurements is below 0.0004. The extinction ratio exceeds 750:1, and the ellipsometric error is below 1.06%. These results demonstrate that the overdriving method enables high-speed Mueller matrix measurements, thereby facilitating applications in real-time inspection fields such as dynamic polarization analysis, online quality inspection of optical components, and biomedical imaging.

Scattering model for micro-defects on cavity mirrors in cavity ring-down spectroscopy instruments
REN Yi-jie, ZHANG Zheng-tao
2025, 18(5): 1143-1154. doi: 10.37188/CO.2024-0094
Abstract:

Microdefects in cavity mirrors utilized in cavity ring-down spectroscopy (CRDS) instruments adversely affect measurement accuracy. Aiming at this problem, this paper establishes a scattering model for micro-defect on cavity mirrors based on the Bobbert and Vlieger Bidirectional Reflectance Distribution Function (BRDF) theory to analyze the characteristics of scattered light of microdefects under varying wavelengths, incident angles, defect sizes, defect types, defect densities, and substrate coatings. Studying on the cavity mirror microdefect scattering model shows that defects in the micrometer to submicron range (100 μm to 0.1 μm) affect the ring-down absorption accuracy. For the detection of micro-defects at this scale, analytical models for both cavity mirror micro-defect scattering and micro-defect dark-field detection is established. Establishing and analyzing the scattering light model for micro-defects in CRDS (Cavity Ring-Down Spectroscopy) cavity mirrors is critical to realizing the high-precision detection of microdefects on CRDS mirror and recovering CRDS measurement accuracy.

Design of dynamic L-type impedance matching network in RF excited fast axial flow CO2 lasers
HUANG Pan, ZHAO Chong-xiao, DONG Zhu-jun, ZHAO Zhen, PAN Qi-kun, FENG Yu-ze, ZHANG Lai-ming, GUO Jin
2025, 18(5): 1155-1163. doi: 10.37188/CO.2024-0096
Abstract:

In order to solve the problem of RF discharge impedance matching of high-power fast axial flow CO2 lasers, an impedance matching network with low reflectivity and high dynamic matching range was designed to realize the efficient utilization of RF excited fast axial flow CO2 lasers under different discharge structures. Based on the impedance matching theory of RF circuits, a multi-electrode equivalent circuit model was constructed, a method of introducing tunable high-voltage ceramic capacitors into the matching network was proposed, and a dynamic L-type matching network suitable for high-power RF excited fast axial flow CO2 lasers was designed. The simulated dynamic L-type matching network can inject 60 kW RF power into 16 discharge tubes and achieve a reflectivity of less than 1% in the range of total load impedance of 12.81 Ω~49.94 Ω. A single-tube RF discharge experimental device was built, and the reflectivity of the dynamic L-type matching network was measured as less than 1% at 4 kW injection power, which was consistent with the simulation results. It is proved that the dynamic L-type matching network with adjustable high-voltage ceramic capacitors can achieve impedance matching in the high dynamic range, which meets the design requirements of high-power RF excited fast axial flow CO2 laser matching circuits.

Data processing method for Ritchey-Common test for large-aperture mirrors
ZHANG Bo-bo, E Ke-wei, LI Shi-jie, LI Jing, LIU Huan-yu, GUO Yong-kang, ZHANG Dong-xu, XUE Xun, ZHAO Jian-ke
2025, 18(5): 1164-1173. doi: 10.37188/CO.2025-0017
Abstract:

Addressing limitations in existing data processing methods for large-aperture flat mirror figure measurement, specifically low generality and susceptibility to environmental instabilities, this paper proposes a novel data processing approach, which integrates ray tracing to generate a sensitivity matrix and applies it to process and analyze data obtained via the Ritchey-Common test. Consequently, high-precision figure detection of large-aperture flat mirrors is achieved. The investigation commences with the development of a Zemax-based Ritchey-Common optical model, from which a sensitivity matrix is rigorously derived through advanced ray tracing algorithms. This matrix enables precise separation of systematic errors inherent in the measurement process, demonstrating superior accuracy compared to conventional Zernike polynomial aberration correction methods while eliminating approximation-induced artifacts in data interpretation. Subsequent numerical verification of the sensitivity matrix algorithm confirms its theoretical validity and computational robustness. Experimental validation encompasses dual-scale implementation: primary verification employs a 200-mm aperture test mirror, where cross-comparative analysis with direct interferometric measurements achieves sub-wavelength consistency (RMS<λ/40). Full-scale application in the manufacturing process of a 2.2-meter class planar mirror demonstrates exceptional surface figure control, attaining final surface accuracy better than λ/50 RMS. The methodology exhibits significant improvements in measurement repeatability and environmental stability. This research establishes a generalized computational framework that effectively addresses the scalability challenges in ultra-precision optical testing, providing both theoretical advancement and practical engineering solutions for next-generation large-aperture optical systems fabrication.

Design of optical system with wide field of view, broad spectral range for space target detection
MU Shuai-wei, WU Hong-bo, ZHANG Xin, MA Lin, YAN Lei, TAN Shuang-long
2025, 18(5): 1174-1184. doi: 10.37188/CO.2024-0198
Abstract:

To achieve wide-area detection of space targets, we design an optical system with a broad spectrum range (400~1000 nm), a large field of view (61°), a small F-number (1.38), and low distortion. This optical system is capable of detecting space targets with a magnitude of 6, enabling wide-area detection for space targets. Initially, a mapping between the radiation model of space target detection and the optical system parameters is established. The optical design is then theoretically analyzed using a reverse telephoto layout as the initial design configuration. The design is optimized to balance and correct the severe chromatic aberration resulting from the large field of view and wide spectral range, while improving enclosed energy and considering the roundness of scattered spots. Finally, The detection capability is verified through space optical simulation experiment and physical experiment. The results show that the optical system meets the wide-area detection requirements for space targets with a magnitude of 6. The overall design of the optical system is reasonable and compact, meeting the requirements of wide-area detection of space targets.

Multi-objective parameter optimization of abrasive water jet polishing for fused silica
LI Qian, YAO Peng, DENG Hong-xing, FENG Chen-yu, XU Chong-hai, QU Shuo-shuo, YANG Yu-ying, ZHU Hong-tao, HUANG Chuan-zhen
2025, 18(5): 1185-1199. doi: 10.37188/CO.EN-2025-0006
Abstract:

As a non-contact ultra-precision machining method, abrasive water jet polishing (AWJP) has significant application in optical elements processing due to its stable tool influence function (TIF), no subsurface damage and strong adaptability to workpiece shapes. In this study, the effects of jet pressure, nozzle diameter and impinging angle on the distribution of pressure, velocity and wall shear stress in the polishing flow field were systematically analyzed by computational fluid dynamics (CFD) simulation. Based on the Box-Behnken experimental design, a response surface regression model was constructed to investigate the influence mechanism of process parameters on material removal rate (MRR) and surface roughness (Ra) of fused silica. And experimental results showed that increasing jet pressure and nozzle diameter significantly improved MRR, consistent with shear stress distribution revealed by CFD simulations. However, increasing jet pressure and impinging angle caused higher Ra values, which was unfavorable for surface quality improvement. Genetic algorithm (GA) was used for multi-objective optimization to establish Pareto solutions, achieving concurrent optimization of polishing efficiency and surface quality. A parameter combination of 2 MPa jet pressure, 0.3 mm nozzle diameter, and 30° impinging angle achieved MRR of 169.05 μm³/s and Ra of 0.50 nm. Experimental verification showed prediction errors of 4.4% (MRR) and 3.8% (Ra), confirming the model’s reliability. This parameter optimization system provides theoretical basis and technical support for ultra-precision polishing of complex curved optical components.

Vibration sensor based on stretchable optical fiber and interferometric measurement
WU Jia-jun, XIE Kang, CAO Lei, CAO Xuan, LI Zhen-jia, ZHAO Guo-shuai, HE Jia-cheng, TU Guo-jie
2025, 18(5): 1200-1208. doi: 10.37188/CO.EN-2025-0010
Abstract:

Soft polymer optical fiber (SPOF) has shown great potential in optical-based wearable and implantable biosensors due to its excellent mechanical properties and optical guiding characteristics. However, the multimodality characteristics of SPOF limit their integration with traditional fiber optic sensors. This article introduces for the first time a flexible fiber optic vibration sensor based on laser interference technology, which can be applied to vibration measurement under high stretch conditions. This sensor utilizes elastic optical fibers made of polydimethylsiloxane (PDMS) as sensing elements, combined with phase generating carrier technology, to achieve vibration measurement at 50−260 Hz within the stretch range of 0−42%.

DnCNN-RM: an adaptive SAR image denoising algorithm based on residual networks
OU Hai-ning, LI Chang-di, ZENG Rui-bin, WU Yan-feng, LIU Jia-ning, CHENG Peng
2025, 18(5): 1209-1218. doi: 10.37188/CO.EN-2024-0028
Abstract:

In the field of image processing, the analysis of Synthetic Aperture Radar (SAR) images is crucial due to its broad range of applications. However, SAR images are often affected by coherent speckle noise, which significantly degrades image quality. Traditional denoising methods, typically based on filter techniques, often face challenges related to inefficiency and limited adaptability. To address these limitations, this study proposes a novel SAR image denoising algorithm based on an enhanced residual network architecture, with the objective of enhancing the utility of SAR imagery in complex electromagnetic environments. The proposed algorithm integrates residual network modules, which directly process the noisy input images to generate denoised outputs. This approach not only reduces computational complexity but also mitigates the difficulties associated with model training. By combining the Transformer module with the residual block, the algorithm enhances the network's ability to extract global features, offering superior feature extraction capabilities compared to CNN-based residual modules. Additionally, the algorithm employs the adaptive activation function Meta-ACON, which dynamically adjusts the activation patterns of neurons, thereby improving the network's feature extraction efficiency. The effectiveness of the proposed denoising method is empirically validated using real SAR images from the RSOD dataset. The proposed algorithm exhibits remarkable performance in terms of EPI, SSIM, and ENL, while achieving a substantial enhancement in PSNR when compared to traditional and deep learning-based algorithms. The PSNR performance is enhanced by over twofold. Moreover, the evaluation of the MSTAR SAR dataset substantiates the algorithm's robustness and applicability in SAR denoising tasks, with a PSNR of 25.2021 being attained. These findings underscore the efficacy of the proposed algorithm in mitigating speckle noise while preserving critical features in SAR imagery, thereby enhancing its quality and usability in practical scenarios.

Color projector light intensity adaptive high dynamic range 3D measurement method
HUANG Hao-zhen, NIU Bin, CHENG Shen, QU Xing-hua, ZHANG Fu-min
2025, 18(5): 1219-1229. doi: 10.37188/CO.EN-2024-0038
Abstract:

The Fringe Projection Profilometry (FPP) system with a single exposure time or a single projection intensity is limited by the dynamic range of the camera, which can lead to overexposure and underexposure of the image, resulting in point cloud loss or reduced accuracy. To address this issue, unlike the pixel modulation method of projectors, we utilize the characteristics of color projectors where the intensity of the three-channel LED can be controlled independently. We propose a method for separating the projector's three-channel light intensity, combined with a color camera, to achieve single exposure and multi-intensity image acquisition. Further, the crosstalk coefficient is applied to predict the three-channel reflectance of the measured object. By integrating clustering and channel mapping, we establish a pixel-level mapping model between the projector's three-channel current and the camera's three-channel image intensity, which realizes the optimal projection current prediction and the high dynamic range (HDR) image acquisition. The proposed method allows for high-precision three-dimensional (3D) data acquisition of HDR scenes with a single exposure. The effectiveness of this method has been validated through experiments with standard planes and standard steps, showing a significant reduction in mean absolute error (44.6%) compared to existing single-exposure HDR methods. Additionally, the number of images required for acquisition is significantly reduced (by 70.8%) compared to multi-exposure fusion methods. This proposed method has great potential in various FPP-related fields.

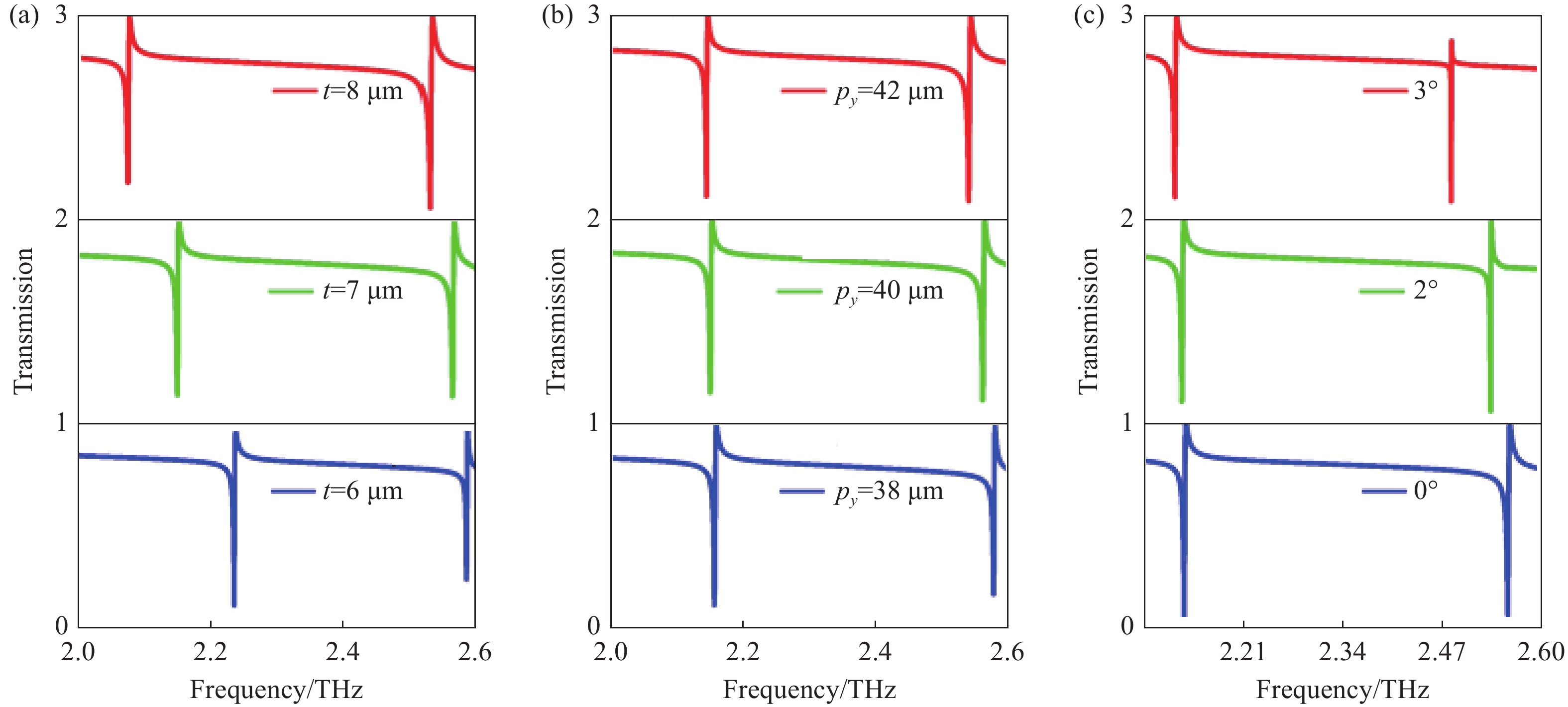
Independent dual-band bound states in the continuum based on terahertz all-dielectric metasurfaces
WANG Yu, LIU Yang, HAO Xiao-yu, ZHENG Si-yu, LIU Meng, ZHANG Yu-ping, ZHAN Yi, ZHANG Hui-yun
2025, 18(5): 1230-1242. doi: 10.37188/CO.EN-2025-0004
Abstract:

Compared to traditional single-frequency bound states in the continuum (BIC), dual-band BIC offers higher degrees of freedom and functionality. Moveover, implementing independent control of dual-band BICs can further enhance their advantages and maximize their performance. This study presents a design for a dielectric metasurface that achieves dual-band BICs in the terahertz (THz) range. By adjusting two asymmetry parameters of the structure, independent control of the two symmetry-protected BICs is achieved. Furthermore, by varying the shape of the silicon holes, the design's robustness to geometric variations is demonstrated. Finally, the test results show that the figures of merit (FOMs) for both BICs reach 109. This work provides a new approach for realizing and tuning dual-frequency BICs, offering expanded possibilities for applications in multimode lasers, nonlinear optics, multi-channel filtering, and optical sensing.

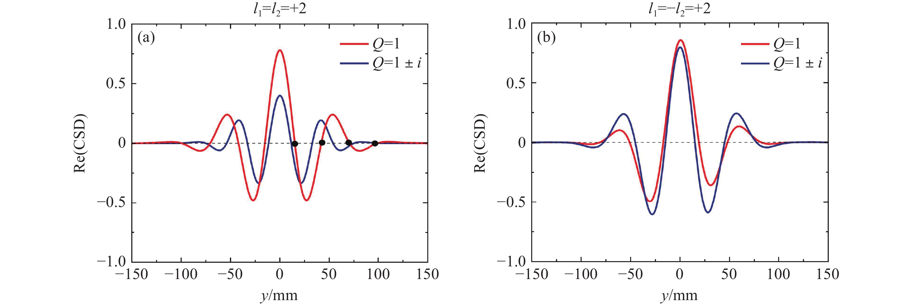
Spatial correlation singularities and orbital angular momentum spectra of partially coherent beams with noncanonical vortex pairs
MEI Chao, CHENG Ke, YI Xiao-wen, FU Cai-ying, ZENG Ti-xian
2025, 18(5): 1243-1254. doi: 10.37188/CO.EN-2025-0001
Abstract:

By introducing noncanonical vortex pairs to partially coherent beams, spatial correlation singularity (SCS) and orbital angular momenta (OAM) of the resulting beams are studied using the Fraunhofer diffraction integral. The effect of noncanonical strength, off-axis distance and vortex sign on spatial correlation singularities in far field is stressed. Furthermore, far-field OAM spectra and densities are also investigated, and the OAM detection and crosstalk probabilities are discussed. The results show that the number of dislocations of SCS always equals the sum of absolute values of topological charges for canonical or noncanonical vortex pairs. Although the sum of the product of each OAM mode and its power weight equals the algebraic sum of topological charges for canonical vortex pairs, the relationship no longer holds in the noncanonical case except for opposite-charge vortex pairs. The changes of off-axis distance, noncanonical strength or coherence length can lead to a more dominant power in adjacent mode than that in center detection mode, which also indicates that crosstalk probabilities of adjacent modes exceed the center detection probability. This work may provide potential applications in OAM-based optical communication, imaging, sensing and computing.

Metal-sensitive diaphragm fiber optic Fabry-Perot pressure sensor with temperature compensation
WANG Hao-xing, LIU Jia, WANG Hai-yang, WANG Jun, LI Yuan-hao, YIN Jian-xiong, WAN Shun, DAI Yun-teng, JIA Ping-gang
2025, 18(5): 1255-1265. doi: 10.37188/CO.EN-2025-0021
Abstract:

A metal-sensitive diaphragm fiber optic pressure sensor with temperature compensation is developed for pressure monitoring in high-temperature environments, such as engine fuel systems, oil and gas wells, and aviation hydraulic systems. The sensor combines a metal-sensitive diaphragm and a sapphire wafer to form a temperature-pressure dual Fabry-Perot (FP) interference cavity. A cross-correlation signal demodulation algorithm and a temperature decoupling method are utilized to reduce the influence of temperature crosstalk on pressure measurement. Experimental results show that the maximum nonlinear error of the sensor pressure measurement is 0.75% full scale (FS) and 0.99% FS at room temperature and 300 °C, respectively, in a pressure range of 0−10 MPa and 0−1.5 MPa. The sensor’s pressure measurement accuracy is 1.7% FS when using the temperature decoupling method. The sensor exhibits good static pressure characteristics, stability, and reliability, providing an effective solution for high-temperature pressure monitoring applications.