当期目录
超构表面透镜存在离轴像差和材料色散,在成像探测领域无法同时兼顾视场和工作带宽。本文基于单片超构表面构建可见光大视场消色差超透镜。采用二次型相位实现大视场探测,进一步通过粒子群算法(particle swarm optimization, PSO)优化超构表面单元结构传输相位,实现连续波段色散调控,在满足大视场的前提下拓展了工作带宽。对于数值孔径为0.351的单片超构表面透镜,在0.55 μm~0.65 μm波段内实现了±20°视场角的消色差光场聚焦。在工作波段和视场范围内焦距纵向误差≤3.2 μm(~0.08
为了模拟真实工作场景下激光对可见光成像系统的损伤效应,将由滤光片和背照式CMOS探测器共同构成的探测器组件作为靶材,探讨了532 nm和
本文针对里德堡微波测量领域对
激光吸收光谱技术因具有高灵敏度、快速响应和实时在线检测等优势,在大气环境监测、工业生产、医疗诊断等领域得到广泛应用。谱线混叠干扰是激光吸收光谱技术面临的主要问题之一,针对该问题,本文提出了一种基于腔衰荡光谱(CRDS)的多谱线光谱分析方法,搭建了基于自主设计笼式结构的Fabry-Pérot腔的腔衰荡光谱(CRDS)气体检测系统,并选取乙炔(C2H2)在
为深入研究在几何相位原理下的超构表面成像功能,本文利用超透镜的几何相位成像原理推导出任意曲线的成像公式,并利用标量衍射理论验证其可行性与正确性,同时将此理论应用于入射光偏振状态的检测中。结果表明,基于几何相位原理的超构表面相位调控能实现任意曲线的成像以及对入射光偏振状态检测的功能,这对于全息成像、光通信、量子科学等领域的研究都有一定的启发意义。
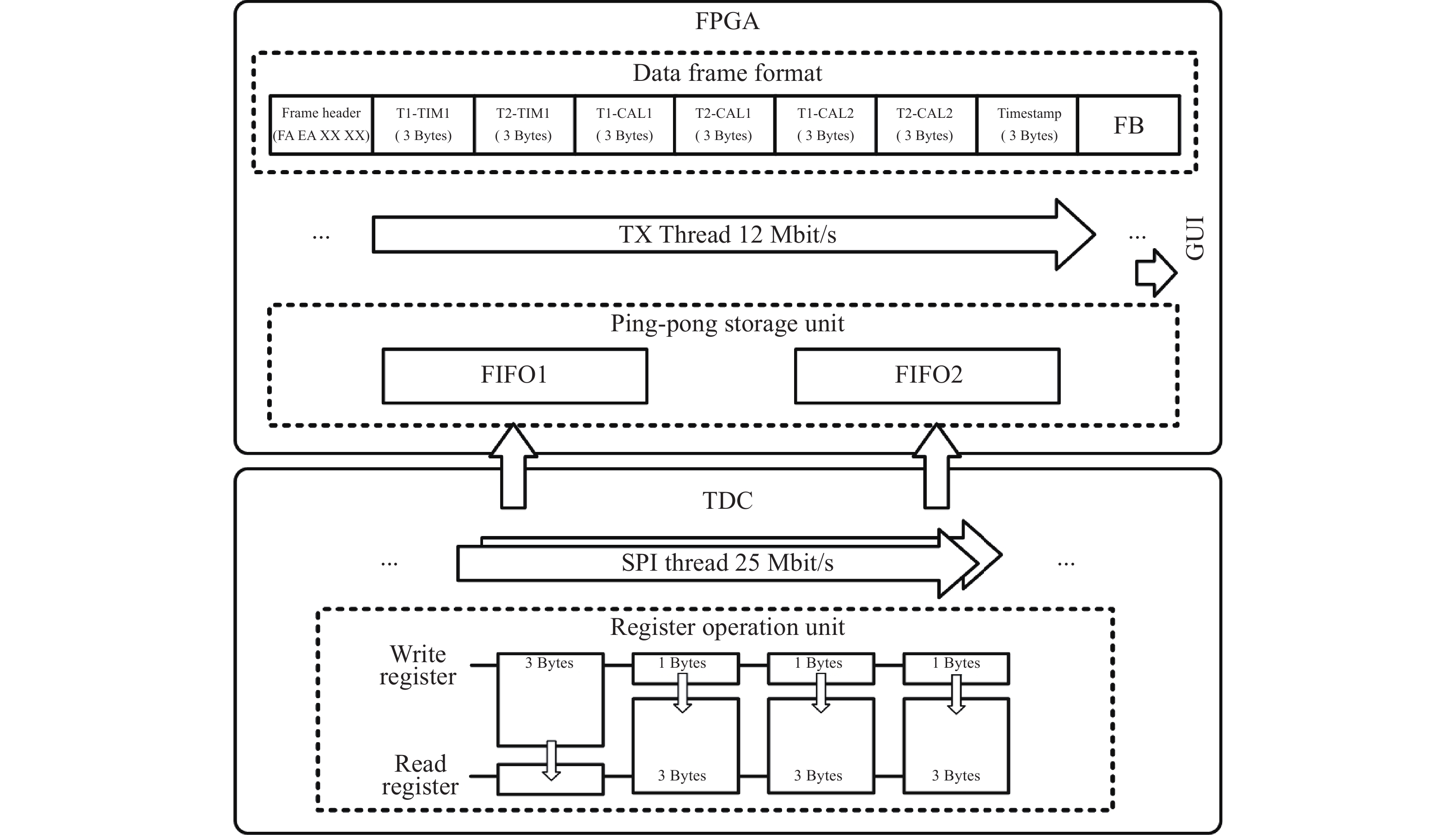
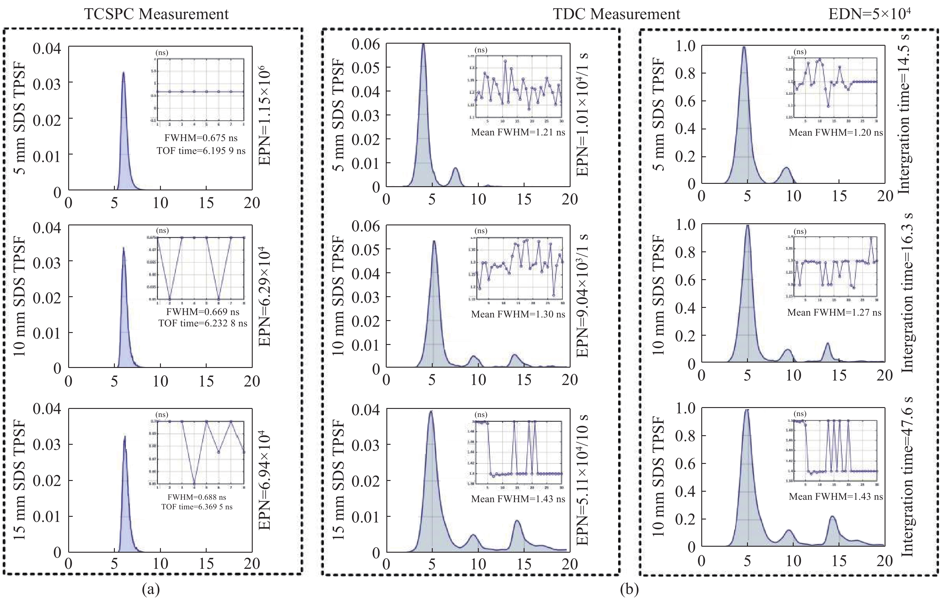
时域扩散光学成像(time domain diffuse optical imaging, TD-DOI)作为一种先进的组织光学成像技术,通过时间相关单光子计数(time-correlated single photon counting, TCSPC)系统可实现生物组织吸收系数与散射系数的定量重建,从而精确评估组织氧代谢、血流灌注等关键生理参数。然而,受限于TCSPC系统固有的硬件复杂性、高成本特性,目前难以实现临床场景下在体多通道动态监测的规模化应用。本文发展了一种双通道差分混合触发参考信号策略,通过结合差分时间数字转换(time-to-digital converter, TDC)器件和光子计数技术,构建稳定可靠的时间扩展曲线(time point spread function, TPSF)测量体系,实现了激光同步信号与出射光子信号时间延迟的亚纳秒级精确标定。实验验证数据显示,所发展系统时间分辨率为55 ps,在2.3×104 光子/s计数率下,TPSF波动系数可稳定控制在1.35%以内(积分时间1 s)。针对组织仿体的光学参数反演测试表明,组织光学参数反演精度方面,吸收系数与约化散射系数的平均反演误差分别在5.39%和4.34%以内。该技术方案显著提升了TD-DOI多通道并行检测可行性,特别适用于脑皮层血氧饱和度动态监测等生物医学场景,为开发新一代穿戴式光学脑功能成像设备奠定了技术基础。
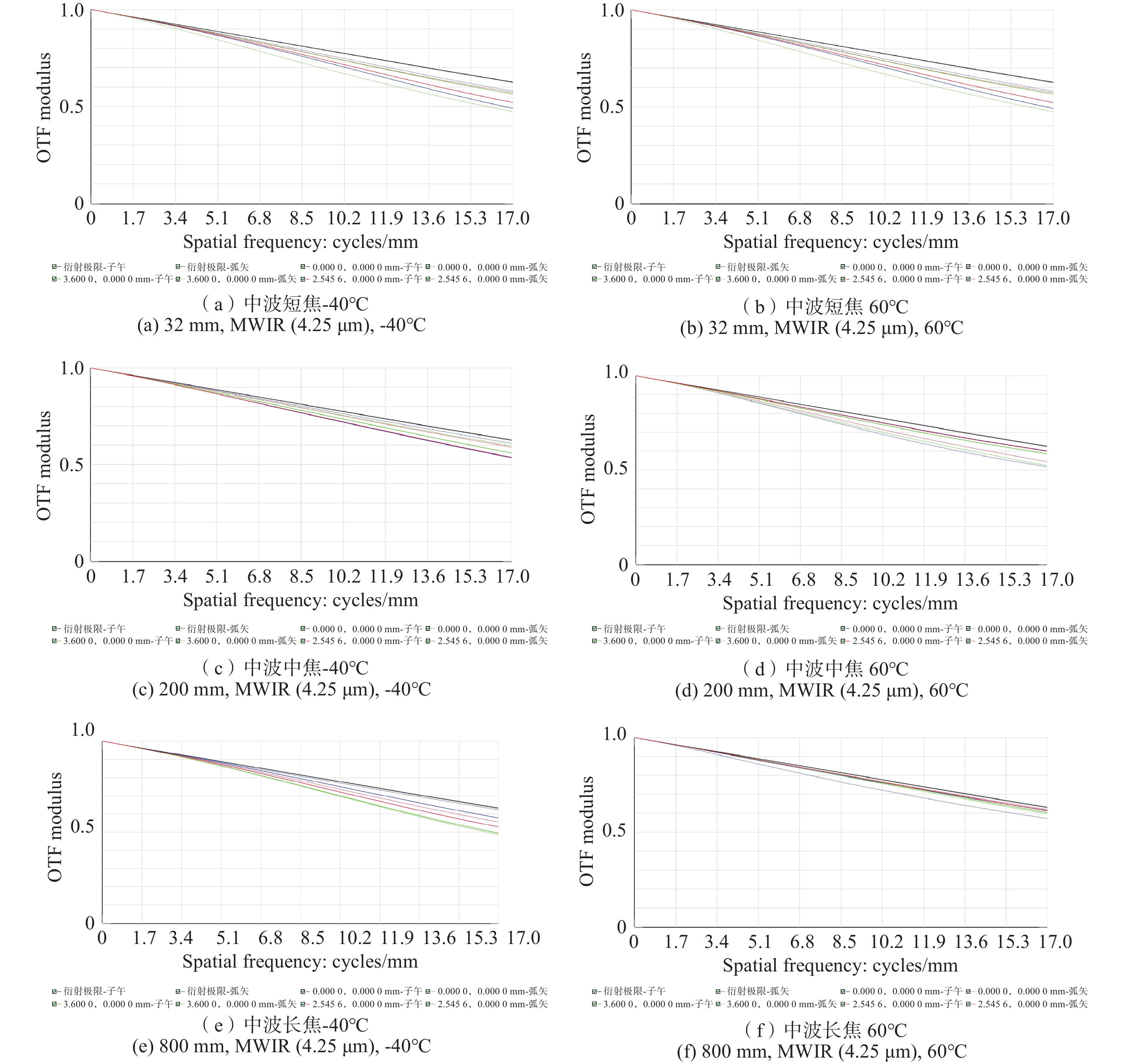
随着中长红外高光谱成像技术的突破性进展,军用高光谱成像系统凭借其独特的特征识别能力和隐蔽侦察优势,在现代战场态势感知领域展现出了显著的战略价值。本研究面向航空探测应用需求,基于320×240像素双色制冷型红外探测器,设计了一种工作于中波红外(3.7~4.8 μm)和长波红外(7.7~9.5 μm)的双波段Offner型光谱成像系统。该系统采用折射与折反射混合光学结构,实现了32 mm、200 mm、800 mm三视场切换式变焦功能。光学系统采用Offner分光结构,有效抑制了系统初级像差;其次,通过引入二次成像中继系统,实现了100%冷光阑匹配,有效降低了冷反射效应。实验测试结果表明,该系统在各波段及不同焦距状态下均表现出优异的成像性能,在特征频率17 lp/mm处,调制传递函数接近衍射极限,且温度变化对成像质量变化影响不大,光学像质满足指标设计。该光学系统兼具宽光谱响应、大变倍比(25×)和快速视场切换等特点。光谱分辨率达到25 nm,其成像质量与光谱分辨能力满足航空光电侦察的技术需求,在军事侦察、安防监控及环境监测等领域具有重要的应用价值。
在科研项目研发过程中发现经典光学文献中的洛匈棱镜(Rochon prism)的分束角公式(针对负晶体)是错误的,为此推导了准确的洛匈棱镜分束角表达式(分别针对负晶体、正晶体),并解决了科研项目中包含洛匈棱镜的光学系统设计错误问题。针对一般洛匈棱镜产品输出的2束光的夹角较小的问题,推导了分别由负晶体、正晶体构成的洛匈棱镜的分束角表达式。另外,对由异种晶体材料构成的洛匈棱镜的分束角进行了分析并推导出表达式。通过实际数据计算和比较可知,由异种晶体材料构成洛匈棱镜的分束角比由同种晶体材料构成洛匈棱镜的分束角有很大的提高。对于在紫外波段的应用,具体给出一种由异种晶体材料构成洛匈棱镜的较大分束角的设计实例。这种由异种晶体材料构成洛匈棱镜,按照合适的晶体排列顺序,可以在合理的晶体厚度的限制下获得相对较大的分束角度,这显然是有利于偏振仪器设备的结构设计。
本文提出采用多个加工单元分别同时负载单个工具共同执行加工任务,以降低加工单元执行时间,从而大幅提升大口径光学元件的加工效率。首先,根据光学元件提出一种多机器人协同加工布局,接着,针对3种潜在的可行轨迹进行模拟加工。然后,在离散仿真的基础上,得出了轨迹参数的选取原则,针对离散仿真无法体现轨迹连续性对面形影响这一局限提出并建立了运动模式适配的积分去除函数模型。该模型将轨迹连续性的影响引入模拟加工中,据此提出一种协同加工避障策略,并采用最优轨迹进行了协同加工的效率提升验证实验。实验结果表明:初始面形PV=18.310
条纹投影技术在三维测量和表面形貌重建中得到广泛应用,其相位质量是决定测量精度的关键因素,而输入光强和输出光强之间的非线性效应是导致相位误差的主要来源之一。为了解决这一问题,本文提出了一种新的系统非线性主动校正方法。该方法首先通过对标准平面投影少量的均匀灰度图像,获取输入光强与输出光强的变化规律。然后,将这一规律与系统非线性主动校正相结合,建立了基于输入输出光强变化的系统非线性模型。接着,利用遗传算法求解最优编码值,从而通过条纹编码主动校正了投影条纹。经过校正后的条纹有效减少了非线性效应带来的影响,大幅提升了相位获取的质量。为了验证所提方法的有效性,以三步相移为例进行了计算机仿真。结果表明,标准误差降低了88%,最大误差减少了85.5%。在实际标准平面实验中,校正后标准相位误差由
在空间态势感知任务中,为了实现复杂低纹理环境下空间目标部组件的识别和三维重建,本文提出了一种基于深度学习的端到端空间目标智能感知框架,实现空间目标关键部件的智能识别和高精度三维重建。本文首先基于YOLOv11s轻量化网络,引入注意力机制聚焦特征,在保证实时性前提下实现空间目标及其关键部件的精确定位与识别,有助于提取目标区域从而进行精准三维重建。然后,提出了一种适用于空间低纹理目标的三维重建算法Sat-TransMVSNet,该算法采用多尺度特征增强网络提取特征,采用全新的代价体正则化方法强化空间目标边缘几何约束,提出背景抑制-前景增强模块并结合动态深度采样策略精确重建空间目标。最后,通过自建不同类型的多角度空间目标数据集对整体框架进行测试。实验结果表明:卫星部组件识别算法mAP50为0.95,三维重建综合误差为
折反式空间相机广泛应用于空间探测领域,温度变化将会导致其成像质量下降。针对该问题,本文对折反式空间相机进行了宽温度范围的无热化设计。首先,对相关的光学元件、机械结构等部件进行了温度影响分析,并总结消热差的便捷方法。接着,以工作在400 nm~
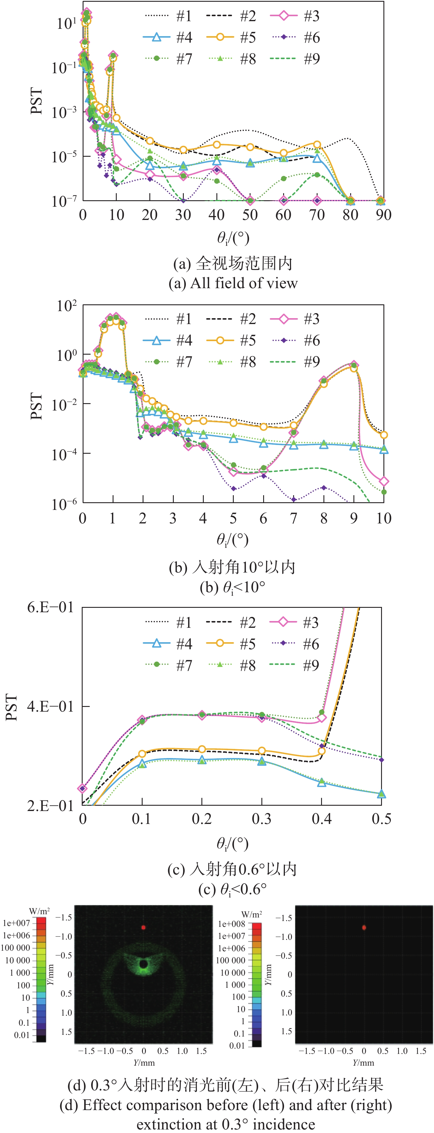
杂散光干扰会导致车载激光雷达的信噪比降低、探测效率下降,对此本文提出一种基于光谱功率密度函数和总积分散射的表面散射建模方法,拟合了不同材料表面的双向反射分布函数(BRDF)。模型计算结果与实测BRDF数据高度吻合,验证了该方法的有效性。基于此模型,本文系统分析了车载激光雷达长焦接收镜头的杂散光来源及传播路径,尤其关注机盒内壁、镜片边缘、隔圈表面散射等。根据仿真结果,提出了多项杂光抑制措施,如采用低散射材料结构件、镜片表面镀增透膜、透镜非工作区涂覆消光油墨等,并且从光学设计、信号处理及工程优化等多维度评估了该激光雷达接收光学系统的杂光抑制水平。实验结果显示优化后系统杂散辐射水平显著降低,成像视场外的点源透过率(PST)从1×100降至1×10−5,视场内PST从1×102降至1×10−1,杂散光与目标信号对比度控制在1×10−4以下。此外,探测回波信号强度提升显著,有效提高了激光雷达的探测性能。本研究为车载激光雷达的杂散光抑制提供了理论模型和实用解决方案,对高灵敏度光学系统的设计与优化具有一定的参考价值。
为应对强激光对光电探测器成像的干扰与致眩威胁,本文提出了一种基于数字微镜器件(DMD)区域翻转的动态激光干扰抑制方法。该方法通过一个二次成像光路,将DMD置于一次像面,通过实时识别并翻转对应于激光干扰区域的微镜,将高功率干扰能量偏转出主光路,从而在保护探测器的同时保留大部分视场的有效图像信息。首先,通过光学仿真验证了该方案的可行性,随后搭建实验平台进行了系统性测试。此外,本研究还量化控制DMD翻转的掩模半径对抑制效果的影响,证实了当翻转区域大于干扰光斑时能达到最优抑制效果。实验结果表明,DMD区域翻转对不同功率和不同入射角的激光干扰均能实现有效抑制。与无抑制时相比,探测器接收的干扰功率显著降低:在激光离轴入射时可实现超过28.5 dB的抗激光干扰阈值提升,当激光干扰平行于光轴入射时可实现超过30 dB的抗激光干扰阈值提升。与传统图像处理方法相比,该方法在强光干扰场景下能尽可能保留图像信息量。该技术为光电系统在强光干扰环境下保持稳定成像提供了高效、简洁的解决方案。
针对轻量化AR眼镜对搭载摄像头的大视场与高紧凑性的需求,本文提出了结合弯曲像面的设计方法。首先,由高斯光学理论对弯曲像面成像系统进行理论分析,推导各光学系统Petzval像面曲率特性,并通过双系统仿真对比,重点分析弯曲像面的性能优势。然后,采用分段多目标优化策略,设计了一款大视场紧凑性的光学系统。最后,对光学系统进行像质评价和公差分析。该光学系统由5片非球面塑料透镜和一片后置滤光片组成,系统焦距为3.1 mm,视场角可达80°,系统总长仅4.07 mm。设计结果表明:在223 lp/mm处,各视场的调制传递函数均优于0.32,全视场最大RMS光斑半径为2.41 μm,最大畸变为2.5%,相对照度均优于45%。研究成果可为曲面传感器的应用奠定基础,并为大视场紧凑型镜头的设计提供技术参考。
为降低激光制导导引头的失调角误差,需要在光学设计方面优化能量信号质量。本文基于像差理论结合光学设计软件的计算功能获得设计起点,分别从光学结构形式和像差平衡优化角度入手对光学系统进行逐步迭代设计。通过控制像方远心,增强光斑的对称性以提高测角精度;通过对光学塑料材料的性能分析,论证了采用光学塑料制造导引头光学结构的可行性。最终完成焦距为71.6 mm,F/#为1的光学系统设计,边缘视场主光线远心度小于6 mrad。在工作温度范围内,光斑尺寸的稳定性优于0.4%;全视场最大畸变小于0.5%,在±2°视场范围内的光斑线性度与能量响应一致性均能满足精确制导要求。基于最小初阶像差的结构设计思路可以用于折反系统的优化,该方法可为同类导引头光学结构设计提供借鉴。
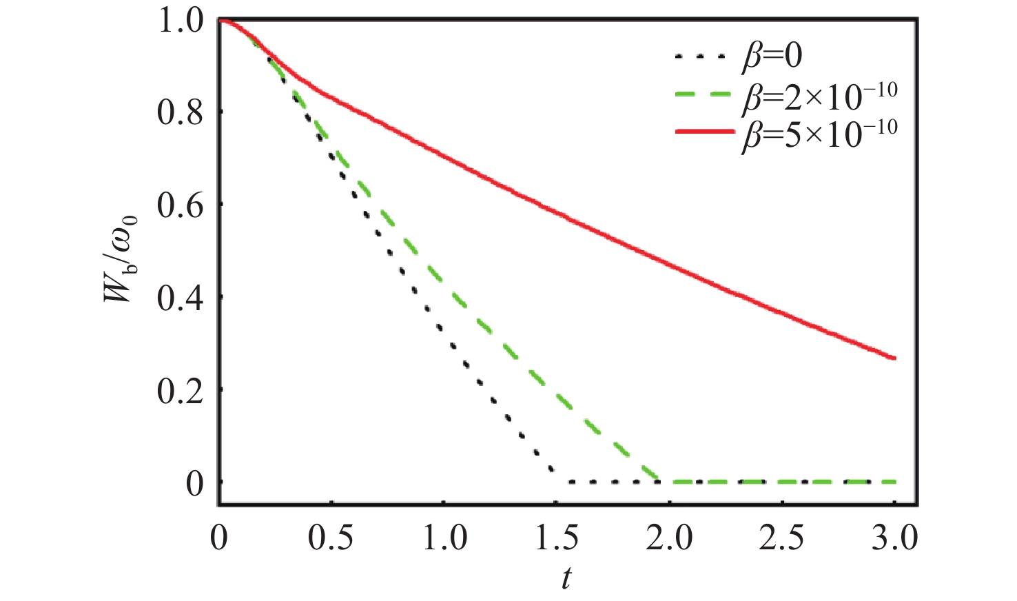
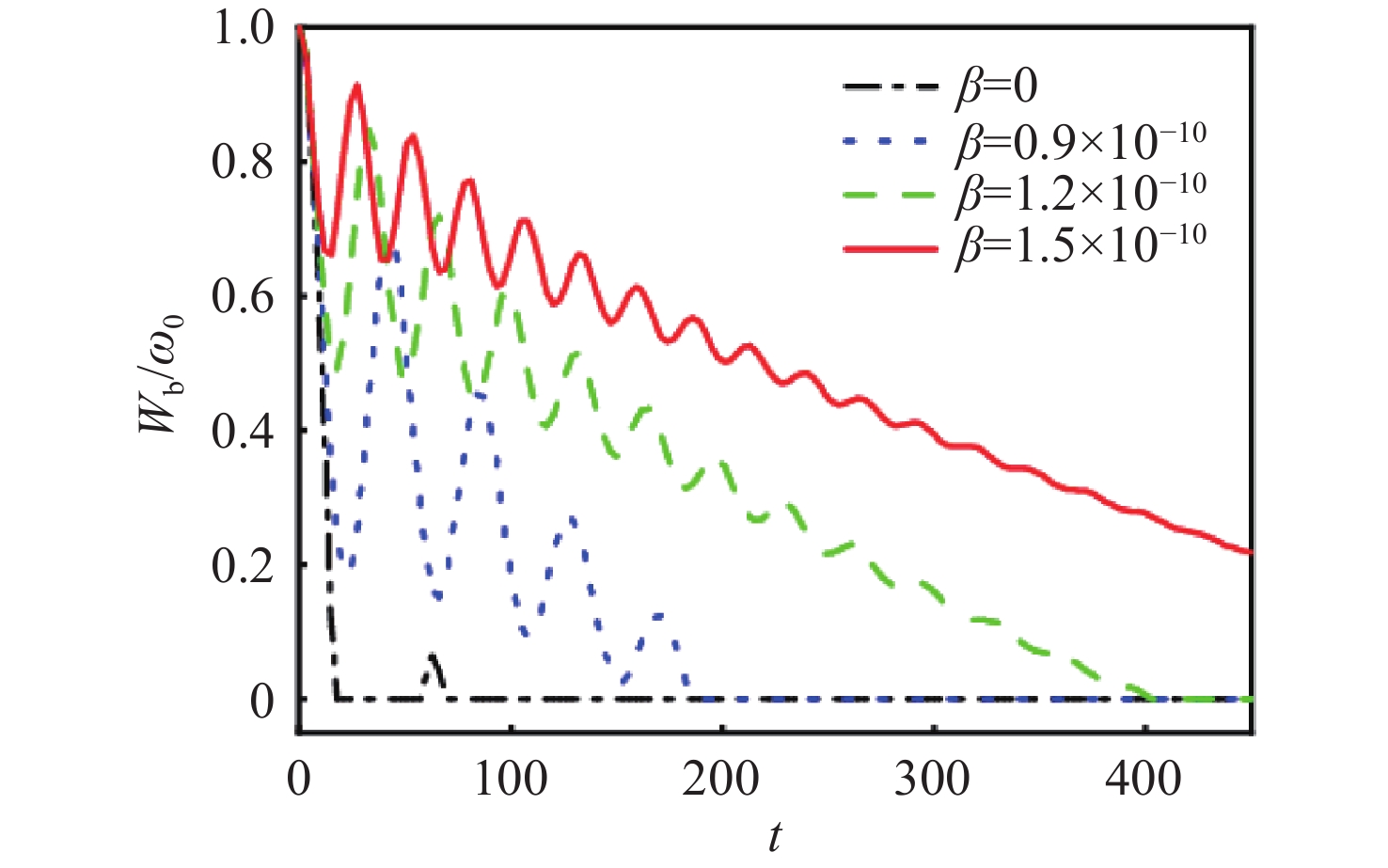
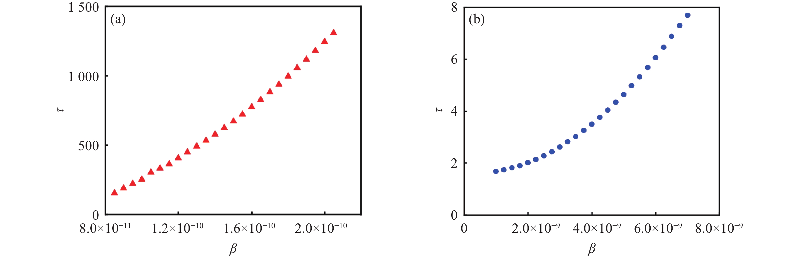
作为量子领域的潜在能源供给系统,量子电池不可避免地经历由环境退相干诱导的提取功衰变过程。为了抑制能量耗散,本文提出了一种运动原子电池方案,其中原子所在的耗散腔与结构化环境发生耦合作用。本文通过开放量子系统方法,研究了量子电池最大提取功的动力学特性。发现在非马尔可夫环境中,量子电池提取功的衰减显著减缓。相比于静止状态,当量子电池处于运动状态时,量子电池的存储性能得到了提升。这种能量保存效应在较高运动速度下更加显著。当环境记忆效应与运动控制同时作用时,有助于延长量子电池的放电寿命。此外,还研究了环境温度、随机噪声以及量子纠缠的影响。这些结论为开放量子电池提供了一种可行方案。
滑油中的磨粒形貌信息对航空发动机的磨损状态检测和故障诊断至关重要,如何准确地获取滑油磨粒完整的三维形貌信息已经成为滑油磨粒分析的重点。基于以上背景,本文提出了一种基于多角度偏振敏感光学相干层析成像技术的航空发动机滑油磨粒三维形貌检测和重建方法。通过多角度成像采集磨粒的三维形貌信息,运用滤波、锐化、轮廓识别得到点云数据,随后结合多种配准算法和泊松重建方法,生成高精度滑油磨粒三维模型。在实现滑油磨粒三维形貌信息准确重建的同时解决了磨粒遮挡造成的信息丢失问题,保证了重建模型的完整性。此外,通过采集航空发动机滑油中的典型金属及其氧化物的偏振信息,结合斯托克斯矢量、偏振均匀度、累计相位延迟分析对磨粒的偏振特性进行了全面表征和对比分析,实现了对滑油磨粒的多维度信息获取,为磨粒种类识别提供了有效的方法。
为了解决基于光学游标效应的光纤应变传感器中传统光谱跟踪解调方式测量精度不足、测量范围小的问题,本文提出了一种改进型互相关算法并将其应用于游标型光纤应变传感器信号解调。该算法通过互相关操作从采集的光谱数据中识别出与待测光谱最为相似的光谱,然后通过加权计算得到预测应变值。由于该算法使用了被测量光谱中包含的全部信息,因此可以得到更准确的结果和更大的测量范围。经过实验验证,获得了
超透镜技术在小型化、集成化红外成像系统中有着广泛的应用。然而,由于单元结构的色散较高,导致超透镜经常出现色差,使得宽带消色差红外成像难以实现。该文章构建了基于硫系玻璃的6种不同单元结构,并对其相位色散参数进行分析,建立数据库。在此基础上,采用色差补偿和参数化伴随拓扑优化的方法,在远红外波段将这6种单元结构排列组合,设计出数值孔径为0.5的宽带消色差超透镜。仿真结果表明,该超透镜在9~11µm的工作波长范围内实现了近衍射极限聚焦,具有良好的消色差性能,全波长具有为54%~58%的平坦的聚焦效率。
本文设计了一种由两个一端封堵的金属-绝缘体-金属(MIM)波导与一个D形腔耦合组成的表面等离激元波导结构。使用有限元方法(FEM)模拟了该结构的传输特性、磁场分布以及折射率传感特性。在透射光谱中可以明显观察到多Fano共振现象。这些Fano共振源于D形谐振腔产生的共振离散态与一端封堵的MIM波导产生的连续态之间的相互耦合。通过系统地调整结构参数,研究了其对Fano共振调制的影响。此外,通过改变MIM波导中绝缘层的折射率,研究了基于Fano共振折射率传感特性。结果表明,该结构实现的最大折射率灵敏度和品质因子(FOM)分别为
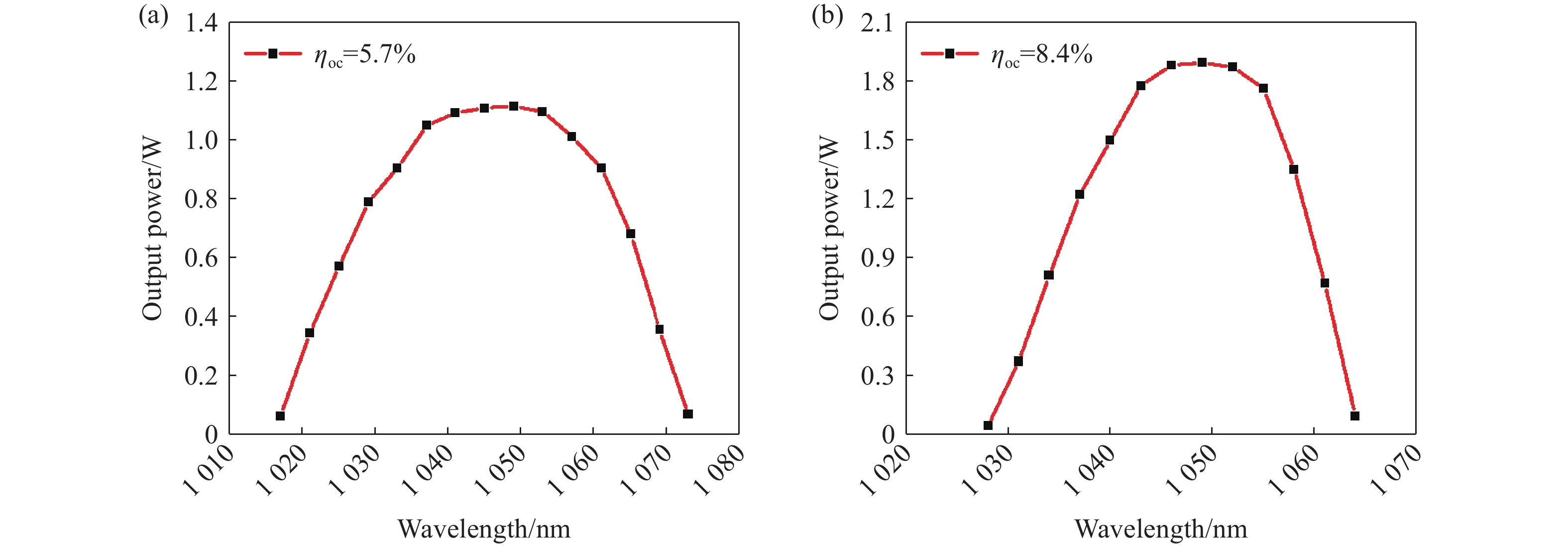
利用直拉法成功合成了具有高光学质量的Yb:CaGd0.33Y0.625AlO4 (Yb:CGYA) 激光晶体。引入Gd3+离子有助于保持原始结构,并有效诱导Yb3+离子发射光谱的非均匀展宽。Yb:CGYA 晶体的荧光发射峰波长为
超疏水表面作为一种有效的被动防冰方法,可以减少低温环境下金属表面的结冰。然而,由于其通常采用的有机物修饰在恶劣环境下易老化,从而导致防冰性能下降或完全失效。本文采用飞秒激光掺杂制备微结构方法同时改变铝合金表面微观形貌和化学成分,实现材料表面无机超疏水防冰效果。与未加工铝合金和传统氟硅烷改性的铝合金表面相比较,激光掺杂加工后的铝合金表面具有较低的热导率和仿生蚁丘群结构,使得其具有良好的延迟结冰时间(803.3 s)和较低的冰附着力(16 μN)。此外,这种本征超疏水金属表面在防冰方面也表现出优异的环境耐久性。上述研究结果证实本文获得的无机超疏水样品在防结冰方面的有效性。
摘要
HTML全文
PDF 3271KB
